Earth Science Frontiers ›› 2022, Vol. 29 ›› Issue (6): 239-251.DOI: 10.13745/j.esf.sf.2022.8.17
Previous Articles Next Articles
WANG Qinghua1(), YANG Haijun1, LI Yong1, LÜ Xiuxiang2,3, ZHANG Yintao1, ZHANG Yanqiu1, SUN Chong1, OUYANG Siqi2,3
Received:
2022-07-07
Revised:
2022-07-27
Online:
2022-11-25
Published:
2022-10-20
CLC Number:
WANG Qinghua, YANG Haijun, LI Yong, LÜ Xiuxiang, ZHANG Yintao, ZHANG Yanqiu, SUN Chong, OUYANG Siqi. Control of strike-slip fault on the large carbonate reservoir in Fuman, Tarim Basin—a reservoir model[J]. Earth Science Frontiers, 2022, 29(6): 239-251.
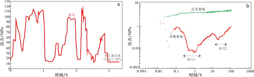
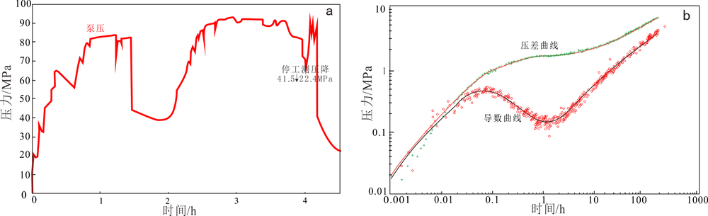
Fig.11 Micro geomorphic amplitude curve of the FⅠ17 fault zone from south to north (a) and plots of fault distance (absolute value) and fault zone width in the Yijianfang Formation of the FⅠ17 fault zone from south to north (b)
[1] | 康玉柱. 中国古生代海相油气田发现的回顾与启示[J]. 石油与天然气地质, 2007, 28(5): 570-575. |
[2] | 吕修祥, 杨海军, 杨宁, 等. 立足碳酸盐岩看塔里木盆地阿一满过渡带油气勘探前景[C]// 第四届油气成藏机理与资源评价国际学术研讨会论文集. 2006: 242-246. |
[3] |
何登发, 李德生, 童晓光. 中国多旋回叠合盆地立体勘探论[J]. 石油学报, 2010, 31(5): 695-709.
DOI |
[4] | 韩剑发, 张海祖, 于红枫, 等. 塔中隆起海相碳酸盐岩大型凝析气田成藏特征与勘探[J]. 岩石学报, 2012, 28(3): 769-782. |
[5] | 田军, 王清华, 杨海军, 等. 塔里木盆地油气勘探历程与启示[J]. 新疆石油地质, 2021, 42(3): 272-282. |
[6] | 王清华, 杨海军, 汪如军, 等. 塔里木盆地超深层走滑断裂断控大油气田的勘探发现与技术创新[J]. 中国石油勘探, 2021, 26(4): 58-71. |
[7] |
田军, 杨海军, 朱永峰, 等. 塔里木盆地富满地区成藏地质条件及勘探开发关键技术[J]. 石油学报, 2021, 42(8): 971-985.
DOI |
[8] | 焦方正. 塔里木盆地顺托果勒地区北东向走滑断裂带的油气勘探意义[J]. 石油与天然气地质, 2017, 38(5): 831-839. |
[9] | 邓尚, 李慧莉, 张仲培, 等. 塔里木盆地顺北及邻区主干走滑断裂带差异活动特征及其与油气富集的关系[J]. 石油与天然气地质, 2018, 39(5): 878-888. |
[10] | 邓尚, 李慧莉, 韩俊, 等. 塔里木盆地顺北5号走滑断裂中段活动特征及其地质意义[J]. 石油与天然气地质, 2019, 40(5): 990-998, 1073. |
[11] | 黄少英, 张玮, 罗彩明, 等. 塔里木盆地中部满深1断裂带的多期断裂活动[J]. 地质科学, 2021, 56(4): 1015-1033. |
[12] |
杨海军, 邓兴梁, 张银涛, 等. 塔里木盆地满深1井奥陶系超深断控碳酸盐岩油气藏勘探重大发现及意义[J]. 中国石油勘探, 2020, 25(3): 13-23.
DOI |
[13] |
GRAHAM B, ANTONELLINI M, AYDIN A. Formation and growth of normal faults in carbonates within a compressive environment[J]. Geology, 2003, 31(1): 11-14.
DOI URL |
[14] | RICHARD G, GIBSON. Fault-zone seals in siliciclastic strata of the Columbus Basin, offshore Trinidad[J]. AAPG Bulletin, 1994, 78(9): 1372-1385. |
[15] | 杨海军, 韩剑发, 陈利新, 等. 塔中古隆起下古生界碳酸盐岩油气复式成藏特征及模式[J]. 石油与天然气地质, 2007, 28(6): 784-790. |
[16] | 金之钧, 朱东亚, 胡文瑄, 等. 塔里木盆地热液活动地质地球化学特征及其对储层影响[J]. 地质学报, 2006, 80(2): 245-253, 314. |
[17] | 杨海军, 李开开, 潘文庆, 等. 塔中地区奥陶系埋藏热液溶蚀流体活动及其对深部储层的改造作用[J]. 岩石学报, 2012, 28(3): 783-792. |
[18] |
DAVIES G R, SMITH L B. Structurally controlled hydrothermal dolomite reservoir facies: an overview[J]. AAPG Bulletin, 2006, 90(11): 1641-1690.
DOI URL |
[19] |
LANGHORNE B, SMITH J. Origin and reservoir characteristics of Upper Ordovician Trenton-Black River hydrothermal dolomite reservoirs in New York[J]. AAPG Bulletin, 2006, 90(11): 1691-1718.
DOI URL |
[20] | DOOLEY. Geometries and kinematics of strike-slip fault systems: insights from physical modelling and field studies[D]. London: Royal Holloway, University of London, 1994. |
[21] |
KIM Y S, SANDERSON D J. Structural similarity and variety at the tips in a wide range of strike-slip faults: a review[J]. Terra Nova, 2010, 18(5): 330-344.
DOI URL |
[22] |
FISCHER W M. Strike-slip duplexes[J]. Journal of Structural Geology, 1986, 8(7): 725-735.
DOI URL |
[23] |
韩剑发, 苏洲, 陈利新, 等. 塔里木盆地台盆区走滑断裂控储控藏作用及勘探潜力[J]. 石油学报, 2019, 40(11): 1296-1310.
DOI |
[24] | 吕修祥, 陈佩佩, 陈坤, 等. 深层碳酸盐岩差异成岩作用对油气分层聚集的影响: 以塔里木盆地塔中隆起北斜坡鹰山组为例[J]. 石油与天然气地质, 2019, 40(5): 957-971. |
[25] | 屈海洲, 刘茂瑶, 张云峰, 等. 塔中地区鹰山组古岩溶潜水面及控储模式[J]. 石油勘探与开发, 2018, 45(5): 817-827. |
[26] | 江同文, 韩剑发, 邬光辉, 等. 塔里木盆地塔中隆起断控复式油气聚集的差异性及主控因素[J]. 石油勘探与开发, 2020, 47(2): 213-224. |
[27] | 韩剑发, 王招明, 潘文庆, 等. 轮南古隆起控油理论及其潜山准层状油气藏勘探[J]. 石油勘探与开发, 2006, 33(4): 448-453. |
[28] | 赵宽志, 淡永, 郑多明, 等. 塔北哈拉哈塘地区奥陶系潜山岩溶储层发育特征及控制因素[J]. 中国岩溶, 2015, 34(2): 171-178. |
[29] |
蔡忠贤, 张恒, 漆立新, 等. 塔里木盆地中—下奥陶统岩溶水文地貌结构类型及特征[J]. 石油学报, 2020, 41(1): 43-58.
DOI |
[30] | 宁超众, 胡素云, 潘文庆, 等. 塔里木盆地哈拉哈塘地区奥陶系良里塔格组古地貌与岩溶洞穴特征[J]. 石油与天然气地质, 2020, 41(5): 985-995, 1047. |
[31] | 贾承造. 中国塔里木盆地构造特征与油气[M]. 北京: 石油工业出版社, 1997. |
[32] | 何登发, 贾承造, 李德生, 等. 塔里木多旋回叠合盆地的形成与演化[J]. 石油与天然气地质, 2005, 26(1): 64-77. |
[33] | 贾承造, 马德波, 袁敬一, 等. 塔里木盆地走滑断裂构造特征、 形成演化与成因机制[J]. 天然气工业, 2021, 41(8): 81-91. |
[34] |
WOODCOCK N H, RICKARDS B. Transpressive duplex and flower structure: Dent Fault System, NW England[J]. Journal of Structural Geology, 2003, 25(12): 1981-1992.
DOI URL |
[35] | MCCLAY K, BONORA M. Analog models of restraining stepovers in strike-slip fault systems[J]. AAPG Bulletin, 2001, 85(2): 233-260. |
[36] | FAULKNER D R, LEWIS A C, RUTTER E H, et al. On the internal structure and mechanics of large strike-slip fault zones: field observations of the Carboneras fault in southeastern Spain[J]. Tectonophysics, 2003, 367: 147-156. |
[37] |
CAINE J S, EVANS J P, FORSTER C B. Fault zone architecture and permeability structure[J]. Geology, 1996, 24: 1025-1028.
DOI URL |
[38] | 邬光辉, 庞雄奇, 李启明, 等. 克拉通碳酸盐岩构造与油气: 以塔里木盆地为例[M]. 北京: 科学出版社, 2016: 1-344. |
[39] | 王招明, 张丽娟, 孙崇浩. 塔里木盆地奥陶系碳酸盐岩岩溶分类、 期次及勘探思路[J]. 古地理学报, 2015, 17(5): 635-644. |
[1] | LIU Yuan-Zheng, MA Jin, MA Wen-Chao. The role of the Zipingpu reservoir in the generation of the Wenchuan earthquake. [J]. Earth Science Frontiers, 20140101, 21(1): 150-160. |
[2] | XU Jiading, ZHANG Chongyuan, ZHANG Hao, BAI Jinpeng, ZHANG Shi’an, ZHANG Shengsheng, QIN Xianghui, SUN Dongsheng, HE Manchao, WU Manlu. In-situ stress measurements in hot dry rock, Qinghai Gonghe Basin and simulation analysis of reservoir fracture modification [J]. Earth Science Frontiers, 2024, 31(6): 130-144. |
[3] | ZHAO Kan, SHEN Jian, CAI Yun, ZHAO Sumin. Insights into the root causes of difficulties in reinjection in sandstone geothermal reservoir and countermeasures [J]. Earth Science Frontiers, 2024, 31(6): 196-203. |
[4] | QI Xiaofei, XIAO Yong, SHANGGUAN Shuantong, SU Ye, WANG Hongke, LI Yingying, HU Zhixing. Fracture propagation mechanism in artificial reservoir of deep hot dry rock, Matouying and its applications [J]. Earth Science Frontiers, 2024, 31(6): 224-234. |
[5] | JIANG Zheng, SHU Biao, TAN Jingqiang. Heat transfer in geothermal reservoir of CO2-based enhanced geothermal systems—current research status and prospects [J]. Earth Science Frontiers, 2024, 31(6): 235-251. |
[6] | KANG Fengxin, ZHANG Baojian, CUI Yang, YAO Song, SHI Meng, QIN Peng, SUI Haibo, ZHENG Tingting, LI Jialong, YANG Haitao, LI Chuanlei, LIU Chunwei. Formation of high-temperature geothermal reservoirs in central and eastern North China [J]. Earth Science Frontiers, 2024, 31(6): 31-51. |
[7] | WANG Guiling, MA Feng, ZHANG Wei, ZHU Xi, YU Mingxiao, ZHANG Hanxiong, LUO Cheng. Dominant heat transfer mechanism in buried-hill reservoirs in North China: A case study in Xiong’an new area [J]. Earth Science Frontiers, 2024, 31(6): 52-66. |
[8] | DING Wenlong, WANG Yao, ZHANG Ziyou, LIU Tianshun, CHENG Xiaoyun, GOU Tong, WANG Shenghui, LIU Tingfeng. Tectonic fracturing and fracture initiation in shale reservoirs—research progress and outlooks [J]. Earth Science Frontiers, 2024, 31(5): 1-16. |
[9] | LIU Yanxiang, LÜ Wenya, ZENG Lianbo, LI Ruiqi, DONG Shaoqun, WANG Zhaosheng, LI Yanlu, WANG Leifei, JI Chunqiu. Three-dimensional modeling of multiscale fractures in Chang 7 shale oil reservoir in Qingcheng oilfield, Ordos Basin [J]. Earth Science Frontiers, 2024, 31(5): 103-116. |
[10] | JU Wei, YANG Hui, HOU Guiting, NING Weike, LI Yongkang, LIANG Xiaobai. Development and distribution pattern of fault-controlled fractures in complex structural deformation zones [J]. Earth Science Frontiers, 2024, 31(5): 130-138. |
[11] | YIN Shuai, ZHANG Ziyang, ZHANG Xingxing, WANG Jingchen, HU Wei, DING Wenlong, LI Hu. Fracture development mode in fan delta front unconventional tight oil reservoirs: A case study of Paleogene He-3 in southeastern Biyang Depression [J]. Earth Science Frontiers, 2024, 31(5): 139-155. |
[12] | PAN Lei, DU Hongquan, LI Leitao, LONG Tao, YIN Xuefeng. Fracture development characteristics and main controlling factors of natural fracture in the Upper Triassic Xujiahe Formation in Yuanba area, northeastern Sichuan Basin [J]. Earth Science Frontiers, 2024, 31(5): 156-165. |
[13] | DONG Shaoqun, ZENG Lianbo, JI Chunqiu, ZHANG Yanbing, HAO Jingru, XU Xiaotong, HAN Gaosong, XU Hui, LI Haiming, LI Xinqi. A deep kernel method for fracture identification in ultra-deep tight sandstones using well logs [J]. Earth Science Frontiers, 2024, 31(5): 166-176. |
[14] | HE Jianhua, CAO Hongxiu, DENG Hucheng, YIN Changhai, ZHU Yanping, LI Chang, LI Yong, YIN Shuai. Nature fractures in shales of the Lianggaoshan Formation in northern Sichuan Basin: Fracture development characteristics and fracture formation and evolution model [J]. Earth Science Frontiers, 2024, 31(5): 17-34. |
[15] | ZHAO Shengxian, LI Bo, CHEN Xin, LIU Wenping, ZHANG Chenglin, JI Chunhai, LIU Yongyang, LIU Dongchen, CAO lieyan, CHEN Yulong, LI Jiajun, LEI Yue, TAN Jingqiang. Structural differences of shale laminae and their controlling mechanisms in the Wufeng-Longmaxi Formations in Tiangongtang, southwestern Sichuan [J]. Earth Science Frontiers, 2024, 31(5): 75-88. |
Viewed | ||||||
Full text |
|
|||||
Abstract |
|
|||||