

地学前缘 ›› 2026, Vol. 33 ›› Issue (1): 25-38.DOI: 10.13745/j.esf.sf.2025.10.10
周诗雨1(
), 杨轶群1, 戴君一1, 高迪1, 李燊琰1, 王礼春1,2,3,*(
)
收稿日期:2025-07-19
修回日期:2025-09-20
出版日期:2026-01-25
发布日期:2025-11-10
通信作者:
*王礼春(1985—),男,博士,教授,博士生导师,主要从事环境流体动力学及物质迁移过程研究。E-mail: wanglichun@tju.edu.cn
作者简介:周诗雨(2001—),女,硕士研究生,主要从事潜流带生物地球化学反应研究。E-mail: 2023231039@tju.edu.cn
基金资助:
ZHOU Shiyu1(
), YANG Yiqun1, DAI Junyi1, GAO Di1, LI Shenyan1, WANG Lichun1,2,3,*(
)
Received:2025-07-19
Revised:2025-09-20
Online:2026-01-25
Published:2025-11-10
摘要:
河流碳排放是全球碳循环的关键环节,潜流带作为其重要组成部分,对碳排放具有显著影响。潜流带CO2产生和排放过程受河流温度和溶解氧(dissolved oxygen,DO)等动态因素控制,然而,目前大多数模型仍基于稳态条件,难以准确捕捉CO2产量动态变化,导致碳排放估算存在较大不确定性。为此,本研究构建了典型沙丘形态的潜流带生物地球化学耦合模型,引入日周期性变化的河流温度和DO,将其作为潜流带边界条件,利用COMSOL Multiphysics对耦合模型进行数值求解,并通过达姆科勒数(Damköhler number,Da)和相关系数来分析河流温度和DO波动边界条件对垂向潜流带CO2产量的动态影响及调控机制。研究结果表明,温度和DO对CO2产生速率具有显著调控作用且存在竞争关系。在潜流带平均滞留时间小于15.7 h时,存在温度阈值,使CO2产生速率的主控因素随河流平均温度发生转换。具体表现为:在温度阈值以下,主控因素为温度波动;而在温度阈值以上,主控因素为DO波动。更为重要的是,当平均滞留时间大于15.7 h时,主控因素转换机制不存在。本研究揭示了河流温度和DO波动对潜流带中CO2产生速率的调控机制,为理解河流碳循环提供了新视角,有助于准确评估潜流带在全球碳循环中的作用,并为预测河流生态系统对气候变化的响应提供理论依据。
中图分类号:
周诗雨, 杨轶群, 戴君一, 高迪, 李燊琰, 王礼春. 垂向潜流带CO2产量主控因素转变阈值研究[J]. 地学前缘, 2026, 33(1): 25-38.
ZHOU Shiyu, YANG Yiqun, DAI Junyi, GAO Di, LI Shenyan, WANG Lichun. Study on the critical thresholds of identifying the transitions of dominant controlling factors for CO2 production in vertical hyporheic zones[J]. Earth Science Frontiers, 2026, 33(1): 25-38.
| 参数 | 值 | 单位 | 说明 |
|---|---|---|---|
| L | 0.16 | m | 波纹长度 |
| H | 0.016 | m | 波纹高度 |
| Lc | 0.13 | m | 坡面对应长度 |
| μmax_AR | 65 | mg/(L·d) | 最大呼吸速率 |
| μmax_NI | 4.32 | mg/(L·d) | 最大硝化速率 |
| KDO | 0.2[ | mg/L | DO反应半饱和常数 |
| KDOC | 3.21[ | mg/L | DOC反应半饱和常数 |
| 0.09[ | mg/L | ||
| CDOC | 150 | mg/L | DOC初始浓度 |
| 5 | mg/L | ||
| θ | 0.37 | 孔隙度 | |
| τ | θ1/3 | 曲度因子 | |
| a | -0.15[ | 温度因子参数 | |
| b | 1.9[ | 温度因子参数 | |
| Topt | 26.3[ | ℃ | 最佳反应温度 |
| CDO,lim | 2 | mg/L | DO极限浓度 |
| αL | 0.003 | m | 横向弥散性 |
| αT | αL/10 | m | 纵向弥散性 |
| Dm | 1×10-10 | m2/s | 扩散系数 |
表1 数值模型主要参数列表[24-25,50-51]
Table 1 List of main parameters of the numerical model[24-25,50-51]
| 参数 | 值 | 单位 | 说明 |
|---|---|---|---|
| L | 0.16 | m | 波纹长度 |
| H | 0.016 | m | 波纹高度 |
| Lc | 0.13 | m | 坡面对应长度 |
| μmax_AR | 65 | mg/(L·d) | 最大呼吸速率 |
| μmax_NI | 4.32 | mg/(L·d) | 最大硝化速率 |
| KDO | 0.2[ | mg/L | DO反应半饱和常数 |
| KDOC | 3.21[ | mg/L | DOC反应半饱和常数 |
| 0.09[ | mg/L | ||
| CDOC | 150 | mg/L | DOC初始浓度 |
| 5 | mg/L | ||
| θ | 0.37 | 孔隙度 | |
| τ | θ1/3 | 曲度因子 | |
| a | -0.15[ | 温度因子参数 | |
| b | 1.9[ | 温度因子参数 | |
| Topt | 26.3[ | ℃ | 最佳反应温度 |
| CDO,lim | 2 | mg/L | DO极限浓度 |
| αL | 0.003 | m | 横向弥散性 |
| αT | αL/10 | m | 纵向弥散性 |
| Dm | 1×10-10 | m2/s | 扩散系数 |
| 工况 | DO边界浓度/(mg·L-1) | 边界温度/℃ |
|---|---|---|
| M1 | 常量DOavg | 常量Tavg |
| M2 | 变量DO(t) | 常量Tavg |
| M3 | 常量DOavg | 变量T(t) |
| M4 | 变量DO(t) | 变量T(t) |
表2 对比实验边界条件设置
Table 2 Boundary condition settings for comparison experiments
| 工况 | DO边界浓度/(mg·L-1) | 边界温度/℃ |
|---|---|---|
| M1 | 常量DOavg | 常量Tavg |
| M2 | 变量DO(t) | 常量Tavg |
| M3 | 常量DOavg | 变量T(t) |
| M4 | 变量DO(t) | 变量T(t) |
图4 案例1中不同边界条件下DO反应速率(rDO)分布图 子图分别代表DO浓度和温度T随时间变化情况,不同行M1-M4代表4种不同模型工况,不同列分别代表不同时刻(0 h,6 h,18 h)。
Fig.4 Spatial patterns of DO reaction rate (rDO) under different boundary conditions for Case 1
图5 案例1中不同边界条件不同时刻DO反应速率(rDO)差异图 子图分别代表DO浓度和温度T随时间变化情况。M1-M4代表四种不同模型工况:M1工况(a,b);M2工况(c,d);M3工况(e,f);M4工况(g,h)(左列:6~0 h表示6 h时刻的rDO减去0 h时刻的rDO;右列:18~6 h表示18 h时刻的rDO减去6 h时刻的rDO)。
Fig.5 Differences in DO reaction rate (rDO) between different snapshots for Case 1
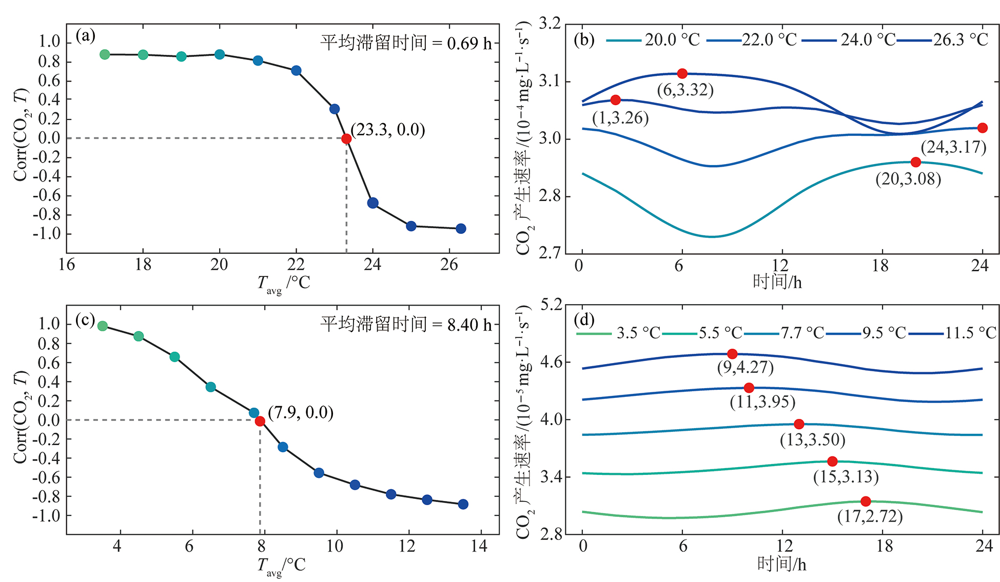
图6 案例1(a,b)和案例2(c,d)中不同温度下CO2产生速率的变化以及与温度的相关系数图 相关系数随平均温度变化图(a和c,红色点的横坐标为实际温度阈值TN);不同温度下CO2产生速率随时间变化图(b和d,红色点为每条线的峰值)。
Fig.6 Decreasing trend (Case 1 and Case 2) between correlation coefficients and averaged river temperature (Tavg) in a and c, and temporal dynamics of the CO2 production rate in b and d
| 模型案例 | τRT/h | TA/℃ | T/℃ | ||
|---|---|---|---|---|---|
| 案例1 | 0.69 | 26.3 | 23.3 | ||
| 案例2 | 8.40 | 7.7 | 7.9 |
表3 不同案例和平均滞留时间下对应的温度阈值
Table 3 The critical temperature thresholds for different cases with varying mean residence times
| 模型案例 | τRT/h | TA/℃ | T/℃ | ||
|---|---|---|---|---|---|
| 案例1 | 0.69 | 26.3 | 23.3 | ||
| 案例2 | 8.40 | 7.7 | 7.9 |
图7 CO2产生速率与温度和DO浓度的相关系数随平均滞留时间变化图 (a)—案例4中平均温度为3.1 ℃的结果;(b)—案例3中平均温度为26.3 ℃的结果。
Fig.7 The correlation coefficients of CO2 production rate versus temperature and DO as a function of mean residence time
| [1] |
BATTIN T J, LUYSSAERT S, KAPLAN L A, et al. The boundless carbon cycle[J]. Nature Geoscience, 2009, 2(9): 598-600.
DOI |
| [2] |
RAYMOND P A, HARTMANN J, LAUERWALD R, et al. Global carbon dioxide emissions from inland waters[J]. Nature, 2013, 503(7476): 355-359.
DOI |
| [3] |
BURROWS R M, RUTLIDGE H, BOND N R, et al. High rates of organic carbon processing in the hyporheic zone of intermittent streams[J]. Scientific Reports, 2017, 7: 13198.
DOI PMID |
| [4] |
HARVEY J W, WAGNER B J, BENCALA K E. Evaluating the reliability of the stream tracer approach to characterize stream-subsurface water exchange[J]. Water Resources Research, 1996, 32(8): 2441-2451.
DOI URL |
| [5] | 金光球, 李凌. 河流中潜流交换研究进展[J]. 水科学进展, 2008, 19(2): 285-293. |
| [6] | STONEDAHL S H, HARVEY J W, WÖRMAN A, et al. A multiscale model for integrating hyporheic exchange from ripples to meanders[J]. Water Resources Research, 2010, 46(12): 2009WR008865. |
| [7] |
BOANO F, HARVEY J W, MARION A, et al. Hyporheic flow and transport processes: mechanisms, models, and biogeochemical implications: hyporheic flow and transport processes[J]. Reviews of Geophysics, 2014, 52(4): 603-679.
DOI URL |
| [8] |
GOOSEFF M N. Defining hyporheic zones-advancing our conceptual and operational definitions of where stream water and groundwater meet[J]. Geography Compass, 2010, 4(8): 945-955.
DOI URL |
| [9] | 苏小四, 师亚坤, 董维红, 等. 潜流带生物地球化学特征研究进展[J]. 地球科学与环境学报, 2019, 41(3): 337-351. |
| [10] |
DELVECCHIA A G, SHANAFIELD M, ZIMMER M A, et al. Reconceptualizing the hyporheic zone for nonperennial rivers and streams[J]. Freshwater Science, 2022, 41(2): 167-182.
DOI URL |
| [11] |
NAEGELI M W, UEHLINGER U. Contribution of the hyporheic zone to ecosystem metabolism in a prealpine gravel-bed-river[J]. Journal of the North American Benthological Society, 1997, 16(4): 794-804.
DOI URL |
| [12] |
PUSCH M, SCHWOERBEL J. Community respiration in hyporheic sediments of a mountain stream (Steina, Black Forest)[J]. Archiv Für Hydrobiologie, 1994, 130(1): 35-52.
DOI URL |
| [13] |
BATTIN T J, KAPLAN L A, NEWBOLD J D, et al. A mixing model analysis of stream solute dynamics and the contribution of a hyporheic zone to ecosystem function[J]. Freshwater Biology, 2003, 48(6): 995-1014.
DOI URL |
| [14] |
FELLOWS C S, VALETT M H, DAHM C N. Whole stream metabolism in two montane streams: Contribution of the hyporheic zone[J]. Limnology and Oceanography, 2001, 46(3): 523-531.
DOI URL |
| [15] | SON K, FANG Y L, GOMEZ-VELEZ J D, et al. Spatial microbial respiration variations in the hyporheic zones within the Columbia River Basin[J]. Journal of Geophysical Research: Biogeosciences, 2022, 127(11): e2021JG006654. |
| [16] |
GARCÍA F C, CLEGG T, O’NEILL D B, et al. The temperature dependence of microbial community respiration is amplified by changes in species interactions[J]. Nature Microbiology, 2023, 8(2): 272-283.
DOI PMID |
| [17] | COGSWELL C, HEISS J W. Climate and seasonal temperature controls on biogeochemical transformations in unconfined coastal aquifers[J]. Journal of Geophysical Research: Biogeosciences, 2021, 126(12): e2021JG006605. |
| [18] | 马瑞, 董启明, 孙自永, 等. 地表水与地下水相互作用的温度示踪与模拟研究进展[J]. 地质科技通报, 2013, 32(2): 131. |
| [19] | MANNING D W P, ROSEMOND A D, GULIS V, et al. Nutrients and temperature additively increase stream microbial respiration[J]. Global Change Biology, 2018, 24(1): e233-e247 |
| [20] |
DEMARS B O L, THOMPSON J, MANSON J R. Stream metabolism and the open diel oxygen method: Principles, practice, and perspectives[J]. Limnology and Oceanography: Methods, 2015, 13(7): 356-374.
DOI URL |
| [21] | 杜尧, 马腾, 邓娅敏, 等. 潜流带水文-生物地球化学:原理、方法及其生态意义[J]. 地球科学, 2017, 42(5): 661-673. |
| [22] |
TUREŢCAIA A B, GARAYBURU-CARUSO V A, KAUFMAN M H, et al. Rethinking aerobic respiration in the hyporheic zone under variation in carbon and nitrogen stoichiometry[J]. Environmental Science & Technology, 2023, 57(41): 15499-15510.
DOI URL |
| [23] | 彭闯, 干牧凡, 车景璐, 等. 河流潜流带水交换作用对氮迁移转化过程的影响[J]. 生态学报, 2024, 44(23): 10794-10806. |
| [24] |
TRAUTH N, SCHMIDT C, VIEWEG M, et al. Hyporheic transport and biogeochemical reactions in pool-riffle systems under varying ambient groundwater flow conditions[J]. Journal of Geophysical Research: Biogeosciences, 2014, 119(5): 910-928.
DOI URL |
| [25] | WINNICK M J. Stream transport and substrate controls on nitrous oxide yields from hyporheic zone denitrification[J]. AGU Advances, 2021, 2(4): e2021AV000517. |
| [26] | NOGUEIRA G E H, SCHMIDT C, BRUNNER P, et al. Transit-time and temperature control the spatial patterns of aerobic respiration and denitrification in the riparian zone[J]. Water Resources Research, 2021, 57(12): e2021WR030117. |
| [27] | BOANO F, DEMARIA A, REVELLI R, et al. Biogeochemical zonation due to intrameander hyporheic flow[J]. Water Resources Research, 2010, 46(2): 2008WR007583. |
| [28] | 张佩瑶, 文章, 李一鸣. 连续河水位波动对河床潜流带硝酸盐转化效率的影响[J]. 地球科学, 2024, 49(7): 2637-2649. |
| [29] |
OMLIN M, BRUN R, REICHERT P. Biogeochemical model of Lake Zürich: sensitivity, identifiability and uncertainty analysis[J]. Ecological Modelling, 2001, 141(1/2/3): 105-123.
DOI URL |
| [30] |
WARD B A, FRIEDRICHS M A M, ANDERSON T R, et al. Parameter optimisation techniques and the problem of underdetermination in marine biogeochemical models[J]. Journal of Marine Systems, 2010, 81(1/2): 34-43.
DOI URL |
| [31] | 王辉, 刘军生, 王荆, 等. 基于参数随机分布的潜流带地下水数值模拟研究[J]. 人民黄河, 2025, 47(2): 107-112, 155. |
| [32] | 蔡奕, 邢婧文, 阮西科, 等. 河流潜流带氮素迁移转化数值模拟研究进展[J]. 水资源保护, 2023, 39(1): 181-189. |
| [33] |
JIAQI LI, YUEQING XIE, LIWEN WU, et al. Effects of stream DO and DOC on streambed respiration under varying groundwater upwelling conditions[J]. Journal of Hydrology, 2025, 650: 132506.
DOI URL |
| [34] | ZARNETSKE J P, HAGGERTY R, WONDZELL S M, et al. Coupled transport and reaction kinetics control the nitrate source-sink function of hyporheic zones[J]. Water Resources Research, 2012, 48(11): 2012WR011894. |
| [35] | GOOSEFF M N, GHOSH R N, CANTRELL E, et al. Hyporheic oxygen dynamics in the East River, Colorado: insights from an in-situ, high frequency time series during two distinct flow seasons[J]. Water Resources Research, 2023, 59(7): e2021WR031139. |
| [36] |
MARZADRI A, TONINA D, BELLIN A. Quantifying the importance of daily stream water temperature fluctuations on the hyporheic thermal regime: implication for dissolved oxygen dynamics[J]. Journal of Hydrology, 2013, 507: 241-248.
DOI URL |
| [37] |
GROFFMAN P M, BARON J S, BLETT T, et al. Ecological thresholds: the key to successful environmental management or an important concept with No practical application?[J]. Ecosystems, 2006, 9(1): 1-13.
DOI URL |
| [38] |
LUOTO T P, RANTALA M V, KIVILÄ E H, et al. Biogeochemical cycling and ecological thresholds in a High Arctic lake (Svalbard)[J]. Aquatic Sciences, 2019, 81(2): 34.
DOI |
| [39] |
BIRCH H F. Mineralisation of plant nitrogen following alternate wet and dry conditions[J]. Plant and Soil, 1964, 20(1): 43-49.
DOI URL |
| [40] |
TOLHURST T J, WATTS C W, VARDY S, et al. The effects of simulated rain on the erosion threshold and biogeochemical properties of intertidal sediments[J]. Continental Shelf Research, 2008, 28(10/11): 1217-1230.
DOI URL |
| [41] |
KRAUSE S, LEWANDOWSKI J, GRIMM N B, et al. Ecohydrological interfaces as hot spots of ecosystem processes[J]. Water Resources Research, 2017, 53(8): 6359-6376.
DOI URL |
| [42] |
STEGEN J C, FREDRICKSON J K, WILKINS M J, et al. Groundwater-surface water mixing shifts ecological assembly processes and stimulates organic carbon turnover[J]. Nature Communications, 2016, 7: 11237.
DOI PMID |
| [43] | CARDENAS M B, WILSON J L. Dunes, turbulent eddies, and interfacial exchange with permeable sediments[J]. Water Resources Research, 2007, 43(8): 2006WR005787. |
| [44] | WILCOX D. A half century historical review of the k-omega model[C]// Proceedings of the 29th Aerospace Sciences Meeting. Reno, NV, USA: AIAA, 1991: AIAA 1991-615. |
| [45] | JANSSEN F, CARDENAS M B, SAWYER A H, et al. A comparative experimental and multiphysics computational fluid dynamics study of coupled surface-subsurface flow in bed forms[J]. Water Resources Research, 2012, 48(8): 2012WR011982. |
| [46] |
ZHENG L Z, CARDENAS M B, WANG L C, et al. Ripple effects: bed form morphodynamics cascading into hyporheic zone biogeochemistry[J]. Water Resources Research, 2019, 55(8): 7320-7342.
DOI URL |
| [47] |
BARDINI L, BOANO F, CARDENAS M B, et al. Nutrient cycling in bedform induced hyporheic zones[J]. Geochimica et Cosmochimica Acta, 2012, 84: 47-61.
DOI URL |
| [48] |
O’CONNELL A M. Microbial decomposition (respiration) of litter in eucalypt forests of South-Western Australia: an empirical model based on laboratory incubations[J]. Soil Biology and Biochemistry, 1990, 22(2): 153-160.
DOI URL |
| [49] |
SCHIPPER L A, HOBBS J K, RUTLEDGE S, et al. Thermodynamic theory explains the temperature optima of soil microbial processes and high Q10 values at low temperatures[J]. Global Change Biology, 2014, 20(11): 3578-3586.
DOI URL |
| [50] |
ZHENG L Z, CARDENAS M B, WANG L C. Temperature effects on nitrogen cycling and nitrate removal-production efficiency in bed form-induced hyporheic zones[J]. Journal of Geophysical Research: Biogeosciences, 2016, 121(4): 1086-1103.
DOI URL |
| [51] |
DIEM S, CIRPKA O A, SCHIRMER M. Modeling the dynamics of oxygen consumption upon riverbank filtration by a stochastic-convective approach[J]. Journal of Hydrology, 2013, 505: 352-363.
DOI URL |
| [52] |
REHAGE H, KIND M. The first Damköhler number and its importance for characterizing the influence of mixing on competitive chemical reactions[J]. Chemical Engineering Science, 2021, 229: 116007.
DOI URL |
| [53] | JIANG Q H, SHRIVASTAVA S, JIN G Q, et al. Enhanced removal of river-borne nitrate in bioturbated hyporheic zone[J]. Geophysical Research Letters, 2024, 51(13): e2024GL108673. |
| [54] |
GAO D, WANG L C, ZHENG L Z, et al. The streamline-based approach for delineating porous and fractured bedform-induced hyporheic zone[J]. Journal of Hydrology, 2025, 650: 132548.
DOI URL |
| [55] |
GOMEZ-VELEZ J D, HARVEY J W, CARDENAS M B, et al. Denitrification in the Mississippi River network controlled by flow through river bedforms[J]. Nature Geoscience, 2015, 8(12): 941-945.
DOI |
| [1] | 谢显刚, 赵文斌, 张茂亮, 郭正府, 徐胜. 青藏高原典型时段火山活动碳释放规模及其环境意义[J]. 地学前缘, 2025, 32(3): 350-361. |
| [2] | 王英梅, 王立瑾, 滕亚栋, 姜雪晨, 张鹏. 不同分解压力下L-Met浓度对CO2水合物稳定性影响研究[J]. 地学前缘, 2025, 32(2): 195-205. |
| [3] | 石鸿蕾, 王婉丽, 王贵玲, 邢林啸, 陆川, 赵佳怡, 刘禄, 宋嘉佳. 典型高温地热系统水热循环及锂同位素分馏过程模拟研究[J]. 地学前缘, 2024, 31(6): 104-119. |
| [4] | 陈发家, 肖琼, 胡祥云, 郭永丽, 孙平安, 张宁. 典型岩溶小流域碳酸盐岩风化过程及其碳汇效应[J]. 地学前缘, 2024, 31(5): 449-459. |
| [5] | 杨慧, 范怀伟, 徐晓, 张云惠, 王文峰, 闫兆进, 王成, 王俊辉, 刘蕾, 王冉, 慈慧. 能源资源开发区域大气CO2时空变化及影响因素分析[J]. 地学前缘, 2024, 31(4): 147-164. |
| [6] | 马建华, 刘金锋, 周永章, 郑益军, 陆可飞, 林星雨, 王汉雨, 张灿. 面向地质封存及其泄漏风险评价的CO2物联网在线监测[J]. 地学前缘, 2024, 31(4): 139-146. |
| [7] | 吕良华, 王水. 耦合CO2脱气的岩溶地热水结垢趋势定量分析[J]. 地学前缘, 2024, 31(3): 402-409. |
| [8] | 杨怡青, 陶士振, 陈悦. 美国典型富氦无机成因气田中氦气地质特征与聚集机制[J]. 地学前缘, 2024, 31(1): 327-339. |
| [9] | 谢银财, 于奭, 缪雄谊, 李军, 何师意, 孙平安. 青藏高原流域岩石风化机制及其CO2消耗通量:以拉萨河为例[J]. 地学前缘, 2023, 30(5): 510-525. |
| [10] | 陈雪倩, 张立飞. 碳的固定、运输、转移和排放过程:对地球深部碳循环的启示[J]. 地学前缘, 2023, 30(3): 313-339. |
| [11] | 张园, 张敏, 刘仁静, 陈俊杰. 考虑微纳米限域效应对相平衡影响的CO2驱油机理研究[J]. 地学前缘, 2023, 30(2): 306-315. |
| [12] | 文冬光, 宋健, 刁玉杰, 张林友, 张福存, 张森琦, 叶成明, 朱庆俊, 史彦新, 金显鹏, 贾小丰, 李胜涛, 刘东林, 王新峰, 杨骊, 马鑫, 吴海东, 赵学亮, 郝文杰. 深部水文地质研究的机遇与挑战[J]. 地学前缘, 2022, 29(3): 11-24. |
| [13] | 徐永强,李紫晶,郭冀隆,陈家玮. 页岩储层-超临界CO2-模拟压裂液相互作用实验研究及其环境意义[J]. 地学前缘, 2018, 25(4): 245-254. |
| [14] | 刘永超,李建康,赵正. 利用热液金刚石压腔开展黑钨矿结晶实验的初步研究[J]. 地学前缘, 2017, 24(5): 159-166. |
| [15] | 邓鹏,董俊玲,王姿晰,王雪莲,杨国林,何雨栗,华一帆,孙柏年. 云南腾冲上新统Platycladus tengchongensis sp.nov.表皮构造与古CO2恢复[J]. 地学前缘, 2017, 24(1): 65-77. |
| 阅读次数 | ||||||
|
全文 |
|
|||||
|
摘要 |
|
|||||