

Earth Science Frontiers ›› 2022, Vol. 29 ›› Issue (2): 416-430.DOI: 10.13745/j.esf.sf.2021.10.50
Special Issue: 印度-欧亚大陆碰撞及其远程效应
FU Shun1,3(
), ZHAO Yingquan2,*(
), WANG Jinjun4, YU Yu2, ZHU Yingtang5, FU Xingzhe6
Received:2021-10-25
Revised:2022-02-10
Online:2022-03-25
Published:2022-03-31
Contact:
ZHAO Yingquan
CLC Number:
FU Shun, ZHAO Yingquan, WANG Jinjun, YU Yu, ZHU Yingtang, FU Xingzhe. Continent-continent collision at the southwestern margin of the Cretaceous Qiangtang terrane: Constraints from granite in the western Bangong-Nujiang Suture Zone[J]. Earth Science Frontiers, 2022, 29(2): 416-430.
Fig.3 Field photos and photomicrographs of rock mass in the Bangong Lake - Nujiang belt. a—Fine-grained granodiorite in Xiongbari; b— Fine-grained granodiorite (×25, -). c—Fine-grained granodiorite (×25, +); d—Fine-grained granodiorite with zonal structure (×50, +); e—Granodiorite porphyry (×25, -); f—Granodiorite porphyry (×25, +).
| 岩性 | 主要特征 | 同位素年龄/Ma |
|---|---|---|
| 肉红色石英二长斑岩 | 侵入体呈近椭圆状小岩株,北东向产出,侵入于下—中侏罗统曲色组中,围岩具角岩化,外接触带宽约20~50 m | |
| 肉红色中细粒二长花岗岩 | 小岩株,呈北东向,侵入于下—中侏罗统曲色组,围岩具角岩化,出现角岩化砂岩、透辉石长英角岩 | |
| 肉红色花岗斑岩 | 多呈北东向小岩株或岩枝,侵入于下—中侏罗统曲色组、色哇组中,围岩具角岩化 | 113.7±2.1(U-Pb)查楚幅布木错南东 |
| 肉红色细粒花岗闪长岩 | 平面形态呈不规则的纺锤状、椭圆状岩基及岩株,岩体呈近北西、东西向展布,侵入于中二叠统龙格组上段、下—中侏罗统曲色组 | 116.2±3.6(U-Pb)野马沟幅雄巴日北 112.63±0.78(U-Pb)野马沟幅雄巴日 |
| 肉红色花岗闪长斑岩 | 平面形态呈不规则布袋状,岩体呈近东西向展布,面积>2 km2,侵入于中侏罗统色哇组碎屑岩夹灰岩中,外接触带宽约400~500 m | 113±0.43(U-Pb)查楚幅布木错北 |
| 灰色石英二长闪长玢岩 | 呈椭圆状小岩株,北延出调查区,侵入于下—中二叠统吞龙共巴组 | |
| 灰色二长闪长玢岩 | 呈纺锤状小岩株,总面积1.2 km2,侵入于中二叠统龙格组下段,围岩具明显的大理岩化,夕卡岩化,外接触带宽约500~1 000 m | |
| 灰色细粒石英闪长岩 | 形似侧卧的盾形,呈近东西向,侵入于中侏罗统色哇组 | |
| 灰色石英闪长玢岩 | 呈长条状岩基、椭圆状小岩株,北东向或北西向,侵入于下—中侏罗统曲色组 | 107±0.13(U-Pb)拉木卓幅赛登 |
| 深灰色中细粒闪长岩 | 形似纺锤状、弯月状,呈北西-南东向展布或无方向性,侵入于中二叠统龙格组上段、中侏罗统色哇组,并被早白垩世花岗闪长斑岩侵入 | |
| 灰色闪长玢岩 | 呈圆状或椭圆状小岩株产出,单个侵入体呈近东西向-北东东向,侵入于下—中侏罗统曲色组碎屑岩中,与围岩的接触面呈波状弯曲,外倾,外接触带发育宽约最大50 cm的角岩化带。内接触带见20 cm±的细粒化边,环绕岩体分布 |
Table 1 Characteristics and chronology statistics of Early Cretaceous intrusive rocks in the study area
| 岩性 | 主要特征 | 同位素年龄/Ma |
|---|---|---|
| 肉红色石英二长斑岩 | 侵入体呈近椭圆状小岩株,北东向产出,侵入于下—中侏罗统曲色组中,围岩具角岩化,外接触带宽约20~50 m | |
| 肉红色中细粒二长花岗岩 | 小岩株,呈北东向,侵入于下—中侏罗统曲色组,围岩具角岩化,出现角岩化砂岩、透辉石长英角岩 | |
| 肉红色花岗斑岩 | 多呈北东向小岩株或岩枝,侵入于下—中侏罗统曲色组、色哇组中,围岩具角岩化 | 113.7±2.1(U-Pb)查楚幅布木错南东 |
| 肉红色细粒花岗闪长岩 | 平面形态呈不规则的纺锤状、椭圆状岩基及岩株,岩体呈近北西、东西向展布,侵入于中二叠统龙格组上段、下—中侏罗统曲色组 | 116.2±3.6(U-Pb)野马沟幅雄巴日北 112.63±0.78(U-Pb)野马沟幅雄巴日 |
| 肉红色花岗闪长斑岩 | 平面形态呈不规则布袋状,岩体呈近东西向展布,面积>2 km2,侵入于中侏罗统色哇组碎屑岩夹灰岩中,外接触带宽约400~500 m | 113±0.43(U-Pb)查楚幅布木错北 |
| 灰色石英二长闪长玢岩 | 呈椭圆状小岩株,北延出调查区,侵入于下—中二叠统吞龙共巴组 | |
| 灰色二长闪长玢岩 | 呈纺锤状小岩株,总面积1.2 km2,侵入于中二叠统龙格组下段,围岩具明显的大理岩化,夕卡岩化,外接触带宽约500~1 000 m | |
| 灰色细粒石英闪长岩 | 形似侧卧的盾形,呈近东西向,侵入于中侏罗统色哇组 | |
| 灰色石英闪长玢岩 | 呈长条状岩基、椭圆状小岩株,北东向或北西向,侵入于下—中侏罗统曲色组 | 107±0.13(U-Pb)拉木卓幅赛登 |
| 深灰色中细粒闪长岩 | 形似纺锤状、弯月状,呈北西-南东向展布或无方向性,侵入于中二叠统龙格组上段、中侏罗统色哇组,并被早白垩世花岗闪长斑岩侵入 | |
| 灰色闪长玢岩 | 呈圆状或椭圆状小岩株产出,单个侵入体呈近东西向-北东东向,侵入于下—中侏罗统曲色组碎屑岩中,与围岩的接触面呈波状弯曲,外倾,外接触带发育宽约最大50 cm的角岩化带。内接触带见20 cm±的细粒化边,环绕岩体分布 |
| 填图单位 | 样品编号 | wB/% | ||||||||||||||||||||||||||||||||||||||||
|---|---|---|---|---|---|---|---|---|---|---|---|---|---|---|---|---|---|---|---|---|---|---|---|---|---|---|---|---|---|---|---|---|---|---|---|---|---|---|---|---|---|---|
| SiO2 | Al2O3 | Fe2O3 | FeO | P2O5 | H2O- | H2O+ | LOI | K2O | Na2O | CaO | MgO | TiO2 | MnO | |||||||||||||||||||||||||||||
| K1ηγ | P5TW7-1 | 72.42 | 12.85 | 1.05 | 0.61 | 0.073 | 0.26 | 0.72 | 1.76 | 4.84 | 2.75 | 2.11 | 0.62 | 0.128 | 0.051 | |||||||||||||||||||||||||||
| 4159a | 63.80 | 14.15 | 2.16 | 3.24 | 0.099 | 0.31 | 1.54 | 1.82 | 3.41 | 2.55 | 4.08 | 3.54 | 0.551 | 0.124 | ||||||||||||||||||||||||||||
| 4159b | 64.58 | 14.45 | 1.61 | 3.40 | 0.089 | 0.26 | 1.29 | 1.52 | 3.21 | 2.85 | 4.18 | 3.39 | 0.572 | 0.133 | ||||||||||||||||||||||||||||
| K1γπ | L0985-11 | 65.68 | 13.95 | 1.33 | 2.19 | 0.123 | 0.40 | 2.00 | 4.70 | 2.58 | 2.97 | 3.33 | 1.81 | 0.273 | 0.076 | |||||||||||||||||||||||||||
| L0985-12 | 68.04 | 15.10 | 1.42 | 2.02 | 0.124 | 0.26 | 2.15 | 3.20 | 2.72 | 3.14 | 1.12 | 2.00 | 0.295 | 0.085 | ||||||||||||||||||||||||||||
| 4155a | 66.26 | 13.70 | 1.26 | 4.53 | 0.117 | 0.12 | 1.56 | 1.38 | 2.49 | 2.33 | 3.48 | 3.19 | 0.577 | 0.101 | ||||||||||||||||||||||||||||
| 4152a | 72.46 | 14.05 | 1.53 | 0.89 | 0.052 | 0.12 | 0.90 | 0.97 | 4.51 | 3.24 | 0.62 | 0.59 | 0.199 | 0.052 | ||||||||||||||||||||||||||||
| 4152f | 73.78 | 13.20 | 1.25 | 0.65 | 0.041 | 0.15 | 0.75 | 1.34 | 4.30 | 3.23 | 0.68 | 0.48 | 0.148 | 0.057 | ||||||||||||||||||||||||||||
| 4168a | 71.28 | 14.35 | 1.07 | 1.62 | 0.079 | 0.15 | 0.75 | 0.78 | 4.43 | 3.09 | 1.57 | 0.89 | 0.285 | 0.076 | ||||||||||||||||||||||||||||
| 4168c | 70.94 | 14.55 | 1.17 | 1.38 | 0.065 | 0.23 | 0.92 | 0.94 | 4.53 | 3.04 | 1.26 | 0.82 | 0.278 | 0.068 | ||||||||||||||||||||||||||||
| K1γδ | L0875Tw1 | 57.75 | 13.30 | 2.14 | 5.18 | 0.213 | 0.76 | 3.31 | 4.26 | 2.28 | 2.33 | 5.86 | 5.41 | 0.731 | 0.172 | |||||||||||||||||||||||||||
| L1810GS-1 | 65.92 | 14.30 | 2.21 | 2.35 | 0.101 | 0.21 | 1.31 | 1.64 | 2.25 | 3.44 | 4.00 | 2.34 | 0.419 | 0.101 | ||||||||||||||||||||||||||||
| 1863a | 66.64 | 15.15 | 2.07 | 2.19 | 0.091 | 0.41 | 1.28 | 1.90 | 2.25 | 3.31 | 3.49 | 2.38 | 0.387 | 0.086 | ||||||||||||||||||||||||||||
| K1γδπ | D0255Y1 | 62.98 | 14.35 | 0.67 | 1.13 | 0.238 | 0.36 | 0.68 | 2.88 | 4.23 | 2.59 | 7.96 | 2.75 | 0.683 | 0.036 | |||||||||||||||||||||||||||
| L0200a | 60.74 | 14.50 | 1.43 | 4.05 | 0.210 | 0.33 | 2.25 | 3.56 | 3.60 | 2.65 | 4.50 | 3.00 | 0.670 | 0.125 | ||||||||||||||||||||||||||||
| K1δο | L2015GS.XT.DY.TW1 | 62.64 | 16.10 | 1.54 | 1.21 | 0.119 | 0.25 | 0.81 | 1.26 | 0.44 | 3.18 | 9.02 | 2.86 | 0.529 | 0.125 | |||||||||||||||||||||||||||
| L2015GS.XT.DY.TW2 | 62.00 | 15.65 | 1.26 | 1.21 | 0.106 | 0.26 | 0.80 | 2.50 | 0.38 | 3.22 | 9.11 | 2.91 | 0.544 | 0.124 | ||||||||||||||||||||||||||||
| K1δομ | P5 7-2 | 68.44 | 14.40 | 1.83 | 1.39 | 0.113 | 0.57 | 2.25 | 2.70 | 2.90 | 3.08 | 1.93 | 2.15 | 0.286 | 0.059 | |||||||||||||||||||||||||||
| P7Gs-1 | 64.22 | 14.15 | 1.74 | 1.82 | 0.136 | 0.54 | 2.09 | 3.96 | 2.5 | 4.86 | 3.11 | 2.14 | 0.367 | 0.096 | ||||||||||||||||||||||||||||
| 5561a | 66.08 | 15.75 | 2.51 | 2.59 | 0.111 | 0.14 | 1.72 | 3.26 | 1.84 | 2.81 | 2.37 | 2.16 | 0.332 | 0.147 | ||||||||||||||||||||||||||||
| K1δμ | P4Tw23-1 | 58.88 | 9.80 | 0.96 | 4.77 | 0.126 | 0.24 | 2.39 | 9.16 | 1.62 | 1.22 | 8.42 | 3.62 | 0.387 | 0.142 | |||||||||||||||||||||||||||
| L0550Tw1 | 63.62 | 14.30 | 1.51 | 4.37 | 0.125 | 0.29 | 2.74 | 2.78 | 2.65 | 2.59 | 3.17 | 3.50 | 0.658 | 0.139 | ||||||||||||||||||||||||||||
Table 2 Petrochemical compositions of Early Cretaceous intrusive rocks
| 填图单位 | 样品编号 | wB/% | ||||||||||||||||||||||||||||||||||||||||
|---|---|---|---|---|---|---|---|---|---|---|---|---|---|---|---|---|---|---|---|---|---|---|---|---|---|---|---|---|---|---|---|---|---|---|---|---|---|---|---|---|---|---|
| SiO2 | Al2O3 | Fe2O3 | FeO | P2O5 | H2O- | H2O+ | LOI | K2O | Na2O | CaO | MgO | TiO2 | MnO | |||||||||||||||||||||||||||||
| K1ηγ | P5TW7-1 | 72.42 | 12.85 | 1.05 | 0.61 | 0.073 | 0.26 | 0.72 | 1.76 | 4.84 | 2.75 | 2.11 | 0.62 | 0.128 | 0.051 | |||||||||||||||||||||||||||
| 4159a | 63.80 | 14.15 | 2.16 | 3.24 | 0.099 | 0.31 | 1.54 | 1.82 | 3.41 | 2.55 | 4.08 | 3.54 | 0.551 | 0.124 | ||||||||||||||||||||||||||||
| 4159b | 64.58 | 14.45 | 1.61 | 3.40 | 0.089 | 0.26 | 1.29 | 1.52 | 3.21 | 2.85 | 4.18 | 3.39 | 0.572 | 0.133 | ||||||||||||||||||||||||||||
| K1γπ | L0985-11 | 65.68 | 13.95 | 1.33 | 2.19 | 0.123 | 0.40 | 2.00 | 4.70 | 2.58 | 2.97 | 3.33 | 1.81 | 0.273 | 0.076 | |||||||||||||||||||||||||||
| L0985-12 | 68.04 | 15.10 | 1.42 | 2.02 | 0.124 | 0.26 | 2.15 | 3.20 | 2.72 | 3.14 | 1.12 | 2.00 | 0.295 | 0.085 | ||||||||||||||||||||||||||||
| 4155a | 66.26 | 13.70 | 1.26 | 4.53 | 0.117 | 0.12 | 1.56 | 1.38 | 2.49 | 2.33 | 3.48 | 3.19 | 0.577 | 0.101 | ||||||||||||||||||||||||||||
| 4152a | 72.46 | 14.05 | 1.53 | 0.89 | 0.052 | 0.12 | 0.90 | 0.97 | 4.51 | 3.24 | 0.62 | 0.59 | 0.199 | 0.052 | ||||||||||||||||||||||||||||
| 4152f | 73.78 | 13.20 | 1.25 | 0.65 | 0.041 | 0.15 | 0.75 | 1.34 | 4.30 | 3.23 | 0.68 | 0.48 | 0.148 | 0.057 | ||||||||||||||||||||||||||||
| 4168a | 71.28 | 14.35 | 1.07 | 1.62 | 0.079 | 0.15 | 0.75 | 0.78 | 4.43 | 3.09 | 1.57 | 0.89 | 0.285 | 0.076 | ||||||||||||||||||||||||||||
| 4168c | 70.94 | 14.55 | 1.17 | 1.38 | 0.065 | 0.23 | 0.92 | 0.94 | 4.53 | 3.04 | 1.26 | 0.82 | 0.278 | 0.068 | ||||||||||||||||||||||||||||
| K1γδ | L0875Tw1 | 57.75 | 13.30 | 2.14 | 5.18 | 0.213 | 0.76 | 3.31 | 4.26 | 2.28 | 2.33 | 5.86 | 5.41 | 0.731 | 0.172 | |||||||||||||||||||||||||||
| L1810GS-1 | 65.92 | 14.30 | 2.21 | 2.35 | 0.101 | 0.21 | 1.31 | 1.64 | 2.25 | 3.44 | 4.00 | 2.34 | 0.419 | 0.101 | ||||||||||||||||||||||||||||
| 1863a | 66.64 | 15.15 | 2.07 | 2.19 | 0.091 | 0.41 | 1.28 | 1.90 | 2.25 | 3.31 | 3.49 | 2.38 | 0.387 | 0.086 | ||||||||||||||||||||||||||||
| K1γδπ | D0255Y1 | 62.98 | 14.35 | 0.67 | 1.13 | 0.238 | 0.36 | 0.68 | 2.88 | 4.23 | 2.59 | 7.96 | 2.75 | 0.683 | 0.036 | |||||||||||||||||||||||||||
| L0200a | 60.74 | 14.50 | 1.43 | 4.05 | 0.210 | 0.33 | 2.25 | 3.56 | 3.60 | 2.65 | 4.50 | 3.00 | 0.670 | 0.125 | ||||||||||||||||||||||||||||
| K1δο | L2015GS.XT.DY.TW1 | 62.64 | 16.10 | 1.54 | 1.21 | 0.119 | 0.25 | 0.81 | 1.26 | 0.44 | 3.18 | 9.02 | 2.86 | 0.529 | 0.125 | |||||||||||||||||||||||||||
| L2015GS.XT.DY.TW2 | 62.00 | 15.65 | 1.26 | 1.21 | 0.106 | 0.26 | 0.80 | 2.50 | 0.38 | 3.22 | 9.11 | 2.91 | 0.544 | 0.124 | ||||||||||||||||||||||||||||
| K1δομ | P5 7-2 | 68.44 | 14.40 | 1.83 | 1.39 | 0.113 | 0.57 | 2.25 | 2.70 | 2.90 | 3.08 | 1.93 | 2.15 | 0.286 | 0.059 | |||||||||||||||||||||||||||
| P7Gs-1 | 64.22 | 14.15 | 1.74 | 1.82 | 0.136 | 0.54 | 2.09 | 3.96 | 2.5 | 4.86 | 3.11 | 2.14 | 0.367 | 0.096 | ||||||||||||||||||||||||||||
| 5561a | 66.08 | 15.75 | 2.51 | 2.59 | 0.111 | 0.14 | 1.72 | 3.26 | 1.84 | 2.81 | 2.37 | 2.16 | 0.332 | 0.147 | ||||||||||||||||||||||||||||
| K1δμ | P4Tw23-1 | 58.88 | 9.80 | 0.96 | 4.77 | 0.126 | 0.24 | 2.39 | 9.16 | 1.62 | 1.22 | 8.42 | 3.62 | 0.387 | 0.142 | |||||||||||||||||||||||||||
| L0550Tw1 | 63.62 | 14.30 | 1.51 | 4.37 | 0.125 | 0.29 | 2.74 | 2.78 | 2.65 | 2.59 | 3.17 | 3.50 | 0.658 | 0.139 | ||||||||||||||||||||||||||||
| 填图单位 | 样品编号 | wB/10-6 | |||||||||||||||||||||||||||||
|---|---|---|---|---|---|---|---|---|---|---|---|---|---|---|---|---|---|---|---|---|---|---|---|---|---|---|---|---|---|---|---|
| Ce | Dy | Er | Eu | Gd | Ho | La | Lu | Nd | Pr | Sm | Tb | Tm | Y | Yb | |||||||||||||||||
| K1ηγ | P5TW7-1 | 21.09 | 2.37 | 1.35 | 0.50 | 1.62 | 0.46 | 10.43 | 0.25 | 9.54 | 2.30 | 2.17 | 0.31 | 0.23 | 13.98 | 1.53 | |||||||||||||||
| 4159a | 51.54 | 3.26 | 2.08 | 0.87 | 3.75 | 0.67 | 0.34 | 27.18 | 18.78 | 5.64 | 4.06 | 0.55 | 0.34 | 18.36 | 2.13 | ||||||||||||||||
| 4159b | 55.42 | 3.05 | 1.83 | 0.76 | 3.96 | 0.61 | 0.33 | 30.05 | 17.25 | 5.84 | 3.77 | 0.60 | 0.32 | 17.66 | 2.18 | ||||||||||||||||
| K1γπ | L0985-11 | 43.90 | 2.11 | 1.12 | 0.70 | 2.69 | 0.38 | 24.87 | 0.18 | 18.99 | 5.04 | 3.40 | 0.37 | 0.17 | 10.74 | 1.10 | |||||||||||||||
| L0985-12 | 31.32 | 1.70 | 0.91 | 0.53 | 1.92 | 0.32 | 16.24 | 0.15 | 13.36 | 3.59 | 2.43 | 0.29 | 0.15 | 8.08 | 0.95 | ||||||||||||||||
| 4155a | 53.79 | 3.63 | 2.23 | 1.07 | 4.20 | 0.74 | 0.35 | 27.15 | 22.37 | 6.15 | 4.56 | 0.65 | 0.36 | 19.91 | 2.37 | ||||||||||||||||
| 4152a | 65.13 | 3.51 | 2.14 | 0.43 | 3.46 | 0.70 | 0.34 | 31.40 | 23.58 | 6.47 | 4.10 | 0.57 | 0.35 | 17.29 | 2.29 | ||||||||||||||||
| 4168a | 80.36 | 3.10 | 1.73 | 0.76 | 3.76 | 0.57 | 0.32 | 43.97 | 26.12 | 8.36 | 4.37 | 0.56 | 0.28 | 16.29 | 1.89 | ||||||||||||||||
| 4168c | 75.73 | 3.08 | 1.84 | 0.77 | 3.90 | 0.58 | 0.30 | 45.64 | 25.44 | 7.76 | 4.48 | 0.55 | 0.30 | 15.99 | 1.94 | ||||||||||||||||
| K1γδ | L0875Tw1 | 55.26 | 3.85 | 2.09 | 1.29 | 3.92 | 0.74 | 28.57 | 0.29 | 27.48 | 6.51 | 4.95 | 0.58 | 0.30 | 18.60 | 1.88 | |||||||||||||||
| L1810GS-1 | 31.19 | 2.38 | 1.27 | 0.59 | 2.35 | 0.45 | 14.71 | 0.26 | 11.07 | 3.40 | 2.35 | 0.41 | 0.22 | 13.69 | 1.55 | ||||||||||||||||
| 1863a | 34.20 | 2.51 | 1.44 | 0.75 | 2.49 | 0.48 | 0.23 | 18.17 | 15.26 | 3.91 | 3.03 | 0.41 | 0.22 | 13.16 | 1.41 | ||||||||||||||||
| K1γδπ | D0255Y1 | 59.28 | 4.72 | 2.56 | 1.25 | 4.83 | 0.88 | 23.64 | 0.41 | 25.64 | 7.11 | 5.60 | 0.80 | 0.40 | 22.85 | 2.55 | |||||||||||||||
| L0200a | 75.03 | 3.81 | 2.01 | 1.37 | 4.34 | 0.69 | 0.32 | 39.66 | 30.14 | 8.23 | 5.35 | 0.68 | 0.30 | 19.60 | 2.04 | ||||||||||||||||
| K1δο | L2015-1 | 16.46 | 3.16 | 1.79 | 0.73 | 2.32 | 0.63 | 7.12 | 0.32 | 9.16 | 2.20 | 2.31 | 0.46 | 0.29 | 17.63 | 1.96 | |||||||||||||||
| L2015-2 | 18.25 | 3.15 | 1.77 | 0.72 | 2.36 | 0.62 | 8.08 | 0.34 | 9.65 | 2.35 | 2.31 | 0.48 | 0.29 | 18.17 | 1.95 | ||||||||||||||||
| K1δομ | P5 7-2 | 46.56 | 3.13 | 1.70 | 0.86 | 3.11 | 0.59 | 23.91 | 0.27 | 21.04 | 5.63 | 4.16 | 0.52 | 0.28 | 17.50 | 1.73 | |||||||||||||||
| P7Gs-1 | 47.12 | 2.65 | 1.47 | 0.84 | 2.92 | 0.50 | 25.93 | 0.28 | 16.93 | 5.13 | 3.11 | 0.46 | 0.24 | 15.16 | 1.62 | ||||||||||||||||
| 5561a | 26.86 | 3.38 | 2.00 | 1.05 | 3.05 | 0.69 | 0.32 | 17.76 | 15.56 | 4.10 | 3.47 | 0.54 | 0.33 | 16.82 | 2.12 | ||||||||||||||||
| K1δμ | P4Tw23-1 | 45.24 | 2.94 | 1.40 | 0.74 | 2.92 | 0.51 | 22.49 | 0.24 | 19.65 | 5.22 | 3.51 | 0.48 | 0.21 | 15.67 | 1.41 | |||||||||||||||
| L0550Tw1 | 57.70 | 4.35 | 2.19 | 0.98 | 3.77 | 0.80 | 27.13 | 0.35 | 29.04 | 6.82 | 4.99 | 0.65 | 0.32 | 21.93 | 1.99 | ||||||||||||||||
Table 3 REE contents in Early Cretaceous intrusive rocks
| 填图单位 | 样品编号 | wB/10-6 | |||||||||||||||||||||||||||||
|---|---|---|---|---|---|---|---|---|---|---|---|---|---|---|---|---|---|---|---|---|---|---|---|---|---|---|---|---|---|---|---|
| Ce | Dy | Er | Eu | Gd | Ho | La | Lu | Nd | Pr | Sm | Tb | Tm | Y | Yb | |||||||||||||||||
| K1ηγ | P5TW7-1 | 21.09 | 2.37 | 1.35 | 0.50 | 1.62 | 0.46 | 10.43 | 0.25 | 9.54 | 2.30 | 2.17 | 0.31 | 0.23 | 13.98 | 1.53 | |||||||||||||||
| 4159a | 51.54 | 3.26 | 2.08 | 0.87 | 3.75 | 0.67 | 0.34 | 27.18 | 18.78 | 5.64 | 4.06 | 0.55 | 0.34 | 18.36 | 2.13 | ||||||||||||||||
| 4159b | 55.42 | 3.05 | 1.83 | 0.76 | 3.96 | 0.61 | 0.33 | 30.05 | 17.25 | 5.84 | 3.77 | 0.60 | 0.32 | 17.66 | 2.18 | ||||||||||||||||
| K1γπ | L0985-11 | 43.90 | 2.11 | 1.12 | 0.70 | 2.69 | 0.38 | 24.87 | 0.18 | 18.99 | 5.04 | 3.40 | 0.37 | 0.17 | 10.74 | 1.10 | |||||||||||||||
| L0985-12 | 31.32 | 1.70 | 0.91 | 0.53 | 1.92 | 0.32 | 16.24 | 0.15 | 13.36 | 3.59 | 2.43 | 0.29 | 0.15 | 8.08 | 0.95 | ||||||||||||||||
| 4155a | 53.79 | 3.63 | 2.23 | 1.07 | 4.20 | 0.74 | 0.35 | 27.15 | 22.37 | 6.15 | 4.56 | 0.65 | 0.36 | 19.91 | 2.37 | ||||||||||||||||
| 4152a | 65.13 | 3.51 | 2.14 | 0.43 | 3.46 | 0.70 | 0.34 | 31.40 | 23.58 | 6.47 | 4.10 | 0.57 | 0.35 | 17.29 | 2.29 | ||||||||||||||||
| 4168a | 80.36 | 3.10 | 1.73 | 0.76 | 3.76 | 0.57 | 0.32 | 43.97 | 26.12 | 8.36 | 4.37 | 0.56 | 0.28 | 16.29 | 1.89 | ||||||||||||||||
| 4168c | 75.73 | 3.08 | 1.84 | 0.77 | 3.90 | 0.58 | 0.30 | 45.64 | 25.44 | 7.76 | 4.48 | 0.55 | 0.30 | 15.99 | 1.94 | ||||||||||||||||
| K1γδ | L0875Tw1 | 55.26 | 3.85 | 2.09 | 1.29 | 3.92 | 0.74 | 28.57 | 0.29 | 27.48 | 6.51 | 4.95 | 0.58 | 0.30 | 18.60 | 1.88 | |||||||||||||||
| L1810GS-1 | 31.19 | 2.38 | 1.27 | 0.59 | 2.35 | 0.45 | 14.71 | 0.26 | 11.07 | 3.40 | 2.35 | 0.41 | 0.22 | 13.69 | 1.55 | ||||||||||||||||
| 1863a | 34.20 | 2.51 | 1.44 | 0.75 | 2.49 | 0.48 | 0.23 | 18.17 | 15.26 | 3.91 | 3.03 | 0.41 | 0.22 | 13.16 | 1.41 | ||||||||||||||||
| K1γδπ | D0255Y1 | 59.28 | 4.72 | 2.56 | 1.25 | 4.83 | 0.88 | 23.64 | 0.41 | 25.64 | 7.11 | 5.60 | 0.80 | 0.40 | 22.85 | 2.55 | |||||||||||||||
| L0200a | 75.03 | 3.81 | 2.01 | 1.37 | 4.34 | 0.69 | 0.32 | 39.66 | 30.14 | 8.23 | 5.35 | 0.68 | 0.30 | 19.60 | 2.04 | ||||||||||||||||
| K1δο | L2015-1 | 16.46 | 3.16 | 1.79 | 0.73 | 2.32 | 0.63 | 7.12 | 0.32 | 9.16 | 2.20 | 2.31 | 0.46 | 0.29 | 17.63 | 1.96 | |||||||||||||||
| L2015-2 | 18.25 | 3.15 | 1.77 | 0.72 | 2.36 | 0.62 | 8.08 | 0.34 | 9.65 | 2.35 | 2.31 | 0.48 | 0.29 | 18.17 | 1.95 | ||||||||||||||||
| K1δομ | P5 7-2 | 46.56 | 3.13 | 1.70 | 0.86 | 3.11 | 0.59 | 23.91 | 0.27 | 21.04 | 5.63 | 4.16 | 0.52 | 0.28 | 17.50 | 1.73 | |||||||||||||||
| P7Gs-1 | 47.12 | 2.65 | 1.47 | 0.84 | 2.92 | 0.50 | 25.93 | 0.28 | 16.93 | 5.13 | 3.11 | 0.46 | 0.24 | 15.16 | 1.62 | ||||||||||||||||
| 5561a | 26.86 | 3.38 | 2.00 | 1.05 | 3.05 | 0.69 | 0.32 | 17.76 | 15.56 | 4.10 | 3.47 | 0.54 | 0.33 | 16.82 | 2.12 | ||||||||||||||||
| K1δμ | P4Tw23-1 | 45.24 | 2.94 | 1.40 | 0.74 | 2.92 | 0.51 | 22.49 | 0.24 | 19.65 | 5.22 | 3.51 | 0.48 | 0.21 | 15.67 | 1.41 | |||||||||||||||
| L0550Tw1 | 57.70 | 4.35 | 2.19 | 0.98 | 3.77 | 0.80 | 27.13 | 0.35 | 29.04 | 6.82 | 4.99 | 0.65 | 0.32 | 21.93 | 1.99 | ||||||||||||||||
| 填图单位 | 样品编号 | wB/10-9 | wB/10-6 | |||||||||||||||||||||||||||||||||
|---|---|---|---|---|---|---|---|---|---|---|---|---|---|---|---|---|---|---|---|---|---|---|---|---|---|---|---|---|---|---|---|---|---|---|---|---|
| Au | Ag | Sn | Ba | Be | Cd | Co | Cr | Cs | Cu | Ga | Ge | Hf | Li | Mn | Mo | Nb | ||||||||||||||||||||
| K1ηγ | P5TW7-1 | 0.33 | 48 | 7.50 | 388.7 | 3.39 | 0.05 | 2.92 | 7.03 | 18.30 | 3.02 | 15.54 | 2.24 | 2.52 | 46.3 | 409 | 0.12 | 11.63 | ||||||||||||||||||
| 4159a | 0.48 | 33 | 3.60 | 362.2 | 1.44 | 0.04 | 15.65 | 42.95 | 8.11 | 14.07 | 13.02 | 1.30 | 3.34 | 33.42 | 742 | 0.26 | 9.50 | |||||||||||||||||||
| 4159b | 0.32 | 36 | 1.90 | 314.2 | 1.47 | 0.05 | 14.49 | 37.17 | 5.91 | 21.99 | 11.28 | 1.08 | 3.18 | 28.66 | 744 | 0.24 | 8.98 | |||||||||||||||||||
| K1γπ | L0985-11 | 0.31 | 96 | 2.00 | 268.8 | 1.49 | 0.06 | 9.02 | 16.80 | 7.83 | 9.42 | 12.20 | 0.96 | 3.26 | 29.4 | 493 | 0.54 | 9.10 | ||||||||||||||||||
| L0985-12 | 1 | 52 | 2.20 | 239.8 | 1.53 | 0.05 | 7.55 | 16.57 | 9.31 | 14.22 | 12.42 | 1.07 | 3.33 | 30.6 | 531 | 0.31 | 9.36 | |||||||||||||||||||
| 4155a | 0.52 | 265 | 31.00 | 326.8 | 1.60 | 0.04 | 11.96 | 57.45 | 22.93 | 10.70 | 12.36 | 1.44 | 3.40 | 35.99 | 633 | 0.55 | 10.57 | |||||||||||||||||||
| 4152a | 0.26 | 150 | 0.82 | 271.1 | 3.06 | 0.18 | 1.90 | 5.90 | 6.84 | 12.34 | 10.47 | 1.30 | 4.71 | 14.82 | 412 | 0.26 | 22.74 | |||||||||||||||||||
| 4152f | 0.26 | 190 | 1.50 | 231.8 | 3.30 | 0.14 | 1.51 | 5.43 | 6.81 | 8.96 | 10.95 | 1.26 | 4.61 | 22.54 | 357 | 0.39 | 24.72 | |||||||||||||||||||
| 4168a | 0.40 | 60 | 2.10 | 473.9 | 1.96 | 0.08 | 3.46 | 6.69 | 8.26 | 5.58 | 16.18 | 1.07 | 5.44 | 28.08 | 490 | 0.37 | 13.09 | |||||||||||||||||||
| 4168c | 0.26 | 90 | 2.00 | 505.5 | 2.03 | 0.07 | 3.36 | 7.51 | 8.01 | 6.37 | 15.25 | 1.06 | 4.58 | 23.21 | 477 | 0.45 | 13.65 | |||||||||||||||||||
| K1γδ | L0875Tw1 | 0.72 | 62 | 1.30 | 432.0 | 1.57 | 0.10 | 26.90 | 131.24 | 8.17 | 30.24 | 16.65 | 1.48 | 3.99 | 31.8 | 1200 | 0.45 | 12.43 | ||||||||||||||||||
| L1810GS-1 | 1.3 | 155 | 3.50 | 358.5 | 1.29 | 0.06 | 7.80 | 15.97 | 5.08 | 30.35 | 13.32 | 1.01 | 2.68 | 21.9 | 544 | 0.28 | 5.43 | |||||||||||||||||||
| 1863a | 11.00 | 320 | 4.50 | 409.1 | 1.57 | 0.03 | 10.08 | 24.77 | 15.31 | 73.00 | 15.10 | 1.26 | 3.01 | 26.57 | 618 | 0.21 | 6.74 | |||||||||||||||||||
| K1γδπ | D0255Y1 | 0.26 | 51 | 1.30 | 764.5 | 2.26 | 0.13 | 4.15 | 16.42 | 3.07 | 3.25 | 21.44 | 1.23 | 5.79 | 10.6 | 279 | 0.18 | 16.02 | ||||||||||||||||||
| L0200a | 0.38 | 68 | 1.80 | 621.3 | 2.38 | 0.06 | 12.39 | 37.99 | 7.80 | 10.46 | 19.71 | 1.17 | 4.33 | 58.93 | 749 | 0.29 | 14.67 | |||||||||||||||||||
| K1δο | L2015GS.XT.DY.TW1 | 0.27 | 40 | 1.80 | 93.2 | 1.00 | 0.06 | 4.30 | 11.52 | 0.62 | 12.12 | 11.80 | 1.67 | 2.07 | 4.0 | 762 | 0.27 | 3.19 | ||||||||||||||||||
| L2015GS.XT.DY.TW2 | 0.26 | 46 | 2.60 | 83.3 | 1.04 | 0.05 | 4.70 | 10.33 | 0.62 | 14.25 | 11.83 | 1.59 | 2.11 | 4.2 | 756 | 0.22 | 3.05 | |||||||||||||||||||
| K1δομ | P5 7-2 | 0.31 | 500 | 15.00 | 443.6 | 2.61 | 0.15 | 5.10 | 18.67 | 11.32 | 40.63 | 16.83 | 1.59 | 3.52 | 30.0 | 449 | 0.23 | 10.73 | ||||||||||||||||||
| P7Gs-1 | 0.68 | 33 | 1.10 | 444.5 | 1.42 | 0.07 | 8.01 | 21.78 | 2.18 | 8.89 | 14.86 | 0.84 | 3.18 | 65.9 | 564 | 0.19 | 9.79 | |||||||||||||||||||
| 5561a | 0.58 | 36 | 0.78 | 396.7 | 1.78 | 0.04 | 9.14 | 9.95 | 3.45 | 46.21 | 13.87 | 1.21 | 2.05 | 16.64 | 926 | 0.29 | 5.88 | |||||||||||||||||||
| K1δμ | P4Tw23-1 | 4.8 | 78 | 0.97 | 157.3 | 1.14 | 0.07 | 18.20 | 76.22 | 0.73 | 17.77 | 9.71 | 1.09 | 2.73 | 39.2 | 861 | 0.50 | 7.66 | ||||||||||||||||||
| L0550Tw1 | 0.5 | 38 | 2.60 | 406.3 | 1.65 | 0.10 | 15.79 | 65.03 | 3.47 | 19.81 | 18.43 | 1.42 | 5.04 | 32.8 | 873 | 0.44 | 12.17 | |||||||||||||||||||
Table 4 Trace element contents in Early Cretaceous intrusive rocks
| 填图单位 | 样品编号 | wB/10-9 | wB/10-6 | |||||||||||||||||||||||||||||||||
|---|---|---|---|---|---|---|---|---|---|---|---|---|---|---|---|---|---|---|---|---|---|---|---|---|---|---|---|---|---|---|---|---|---|---|---|---|
| Au | Ag | Sn | Ba | Be | Cd | Co | Cr | Cs | Cu | Ga | Ge | Hf | Li | Mn | Mo | Nb | ||||||||||||||||||||
| K1ηγ | P5TW7-1 | 0.33 | 48 | 7.50 | 388.7 | 3.39 | 0.05 | 2.92 | 7.03 | 18.30 | 3.02 | 15.54 | 2.24 | 2.52 | 46.3 | 409 | 0.12 | 11.63 | ||||||||||||||||||
| 4159a | 0.48 | 33 | 3.60 | 362.2 | 1.44 | 0.04 | 15.65 | 42.95 | 8.11 | 14.07 | 13.02 | 1.30 | 3.34 | 33.42 | 742 | 0.26 | 9.50 | |||||||||||||||||||
| 4159b | 0.32 | 36 | 1.90 | 314.2 | 1.47 | 0.05 | 14.49 | 37.17 | 5.91 | 21.99 | 11.28 | 1.08 | 3.18 | 28.66 | 744 | 0.24 | 8.98 | |||||||||||||||||||
| K1γπ | L0985-11 | 0.31 | 96 | 2.00 | 268.8 | 1.49 | 0.06 | 9.02 | 16.80 | 7.83 | 9.42 | 12.20 | 0.96 | 3.26 | 29.4 | 493 | 0.54 | 9.10 | ||||||||||||||||||
| L0985-12 | 1 | 52 | 2.20 | 239.8 | 1.53 | 0.05 | 7.55 | 16.57 | 9.31 | 14.22 | 12.42 | 1.07 | 3.33 | 30.6 | 531 | 0.31 | 9.36 | |||||||||||||||||||
| 4155a | 0.52 | 265 | 31.00 | 326.8 | 1.60 | 0.04 | 11.96 | 57.45 | 22.93 | 10.70 | 12.36 | 1.44 | 3.40 | 35.99 | 633 | 0.55 | 10.57 | |||||||||||||||||||
| 4152a | 0.26 | 150 | 0.82 | 271.1 | 3.06 | 0.18 | 1.90 | 5.90 | 6.84 | 12.34 | 10.47 | 1.30 | 4.71 | 14.82 | 412 | 0.26 | 22.74 | |||||||||||||||||||
| 4152f | 0.26 | 190 | 1.50 | 231.8 | 3.30 | 0.14 | 1.51 | 5.43 | 6.81 | 8.96 | 10.95 | 1.26 | 4.61 | 22.54 | 357 | 0.39 | 24.72 | |||||||||||||||||||
| 4168a | 0.40 | 60 | 2.10 | 473.9 | 1.96 | 0.08 | 3.46 | 6.69 | 8.26 | 5.58 | 16.18 | 1.07 | 5.44 | 28.08 | 490 | 0.37 | 13.09 | |||||||||||||||||||
| 4168c | 0.26 | 90 | 2.00 | 505.5 | 2.03 | 0.07 | 3.36 | 7.51 | 8.01 | 6.37 | 15.25 | 1.06 | 4.58 | 23.21 | 477 | 0.45 | 13.65 | |||||||||||||||||||
| K1γδ | L0875Tw1 | 0.72 | 62 | 1.30 | 432.0 | 1.57 | 0.10 | 26.90 | 131.24 | 8.17 | 30.24 | 16.65 | 1.48 | 3.99 | 31.8 | 1200 | 0.45 | 12.43 | ||||||||||||||||||
| L1810GS-1 | 1.3 | 155 | 3.50 | 358.5 | 1.29 | 0.06 | 7.80 | 15.97 | 5.08 | 30.35 | 13.32 | 1.01 | 2.68 | 21.9 | 544 | 0.28 | 5.43 | |||||||||||||||||||
| 1863a | 11.00 | 320 | 4.50 | 409.1 | 1.57 | 0.03 | 10.08 | 24.77 | 15.31 | 73.00 | 15.10 | 1.26 | 3.01 | 26.57 | 618 | 0.21 | 6.74 | |||||||||||||||||||
| K1γδπ | D0255Y1 | 0.26 | 51 | 1.30 | 764.5 | 2.26 | 0.13 | 4.15 | 16.42 | 3.07 | 3.25 | 21.44 | 1.23 | 5.79 | 10.6 | 279 | 0.18 | 16.02 | ||||||||||||||||||
| L0200a | 0.38 | 68 | 1.80 | 621.3 | 2.38 | 0.06 | 12.39 | 37.99 | 7.80 | 10.46 | 19.71 | 1.17 | 4.33 | 58.93 | 749 | 0.29 | 14.67 | |||||||||||||||||||
| K1δο | L2015GS.XT.DY.TW1 | 0.27 | 40 | 1.80 | 93.2 | 1.00 | 0.06 | 4.30 | 11.52 | 0.62 | 12.12 | 11.80 | 1.67 | 2.07 | 4.0 | 762 | 0.27 | 3.19 | ||||||||||||||||||
| L2015GS.XT.DY.TW2 | 0.26 | 46 | 2.60 | 83.3 | 1.04 | 0.05 | 4.70 | 10.33 | 0.62 | 14.25 | 11.83 | 1.59 | 2.11 | 4.2 | 756 | 0.22 | 3.05 | |||||||||||||||||||
| K1δομ | P5 7-2 | 0.31 | 500 | 15.00 | 443.6 | 2.61 | 0.15 | 5.10 | 18.67 | 11.32 | 40.63 | 16.83 | 1.59 | 3.52 | 30.0 | 449 | 0.23 | 10.73 | ||||||||||||||||||
| P7Gs-1 | 0.68 | 33 | 1.10 | 444.5 | 1.42 | 0.07 | 8.01 | 21.78 | 2.18 | 8.89 | 14.86 | 0.84 | 3.18 | 65.9 | 564 | 0.19 | 9.79 | |||||||||||||||||||
| 5561a | 0.58 | 36 | 0.78 | 396.7 | 1.78 | 0.04 | 9.14 | 9.95 | 3.45 | 46.21 | 13.87 | 1.21 | 2.05 | 16.64 | 926 | 0.29 | 5.88 | |||||||||||||||||||
| K1δμ | P4Tw23-1 | 4.8 | 78 | 0.97 | 157.3 | 1.14 | 0.07 | 18.20 | 76.22 | 0.73 | 17.77 | 9.71 | 1.09 | 2.73 | 39.2 | 861 | 0.50 | 7.66 | ||||||||||||||||||
| L0550Tw1 | 0.5 | 38 | 2.60 | 406.3 | 1.65 | 0.10 | 15.79 | 65.03 | 3.47 | 19.81 | 18.43 | 1.42 | 5.04 | 32.8 | 873 | 0.44 | 12.17 | |||||||||||||||||||
| 测点号 | 同位素比值及误差 | 同位素年龄及误差/Ma | 年龄/ Ma | ||||||||||||||||
|---|---|---|---|---|---|---|---|---|---|---|---|---|---|---|---|---|---|---|---|
| 207Pb/206Pb | 1σ | 207Pb/235U | 1σ | 206Pb/238U | 1σ | 208Pb/232Th | 1σ | 207Pb/ 206Pb | 1σ | 207Pb/ 235U | 1σ | 206Pb/ 238U | 1σ | 208Pb/ 232Th | 1σ | ||||
| TW1751-01 | 0.046 1 | 0.005 9 | 0.121 1 | 0.015 3 | 0.019 1 | 0.000 4 | 0.010 9 | 0.000 7 | 240 | 116 | 14 | 122 | 3 | 220 | 13 | 122 | |||
| TW1751-02 | 0.046 4 | 0.005 9 | 0.121 5 | 0.015 1 | 0.019 0 | 0.000 4 | 0.005 8 | 0.000 4 | 20 | 215 | 116 | 14 | 121 | 3 | 117 | 7 | 121 | ||
| TW1751-03 | 0.046 1 | 0.003 3 | 0.113 4 | 0.007 7 | 0.017 9 | 0.000 4 | 0.035 0 | 0.001 2 | 156 | 109 | 7 | 114 | 2 | 696 | 23 | 114 | |||
| TW1751-05 | 0.050 4 | 0.006 8 | 0.131 8 | 0.017 4 | 0.019 0 | 0.000 4 | 0.006 2 | 0.000 4 | 214 | 251 | 126 | 16 | 121 | 3 | 125 | 8 | 121 | ||
| TW1751-08 | 0.045 5 | 0.006 7 | 0.113 9 | 0.016 5 | 0.018 2 | 0.000 4 | 0.005 7 | 0.000 4 | -29 | 230 | 110 | 15 | 116 | 3 | 115 | 7 | 116 | ||
| TW1751-09 | 0.053 4 | 0.005 7 | 0.134 6 | 0.014 0 | 0.018 3 | 0.000 4 | 0.005 5 | 0.000 3 | 344 | 196 | 128 | 13 | 117 | 2 | 112 | 5 | 117 | ||
| TW1751-10 | 0.050 1 | 0.004 3 | 0.127 6 | 0.010 7 | 0.018 5 | 0.000 3 | 0.006 0 | 0.000 2 | 198 | 157 | 122 | 10 | 118 | 2 | 121 | 4 | 118 | ||
| TW1751-12 | 0.052 8 | 0.007 0 | 0.132 4 | 0.017 2 | 0.018 2 | 0.000 4 | 0.005 6 | 0.000 4 | 322 | 248 | 126 | 15 | 116 | 3 | 113 | 7 | 116 | ||
| TW1751-14 | 0.045 3 | 0.008 4 | 0.111 7 | 0.020 5 | 0.017 9 | 0.000 5 | 0.006 7 | 0.000 5 | -6 | 271 | 107 | 19 | 114 | 3 | 135 | 10 | 114 | ||
| TW1751-16 | 0.044 7 | 0.004 4 | 0.109 6 | 0.010 6 | 0.017 8 | 0.000 3 | 0.005 6 | 0.000 2 | -33 | 173 | 106 | 10 | 113 | 2 | 112 | 4 | 113 | ||
| TW1751-18 | 0.051 0 | 0.006 9 | 0.128 5 | 0.017 2 | 0.018 3 | 0.000 4 | 0.005 9 | 0.000 4 | 239 | 253 | 123 | 15 | 117 | 3 | 119 | 7 | 117 | ||
| TW1751-19 | 0.047 3 | 0.005 9 | 0.114 3 | 0.014 1 | 0.017 5 | 0.000 4 | 0.006 3 | 0.000 4 | 62 | 221 | 110 | 13 | 112 | 2 | 128 | 7 | 112 | ||
| TW1751-23 | 0.048 0 | 0.005 4 | 0.116 6 | 0.012 8 | 0.017 6 | 0.000 4 | 0.005 9 | 0.000 2 | 100 | 205 | 112 | 12 | 113 | 2 | 118 | 4 | 113 | ||
| TW1751-24 | 0.052 1 | 0.005 8 | 0.126 7 | 0.014 0 | 0.017 6 | 0.000 4 | 0.005 7 | 0.000 2 | 288 | 210 | 121 | 13 | 113 | 2 | 114 | 5 | 113 | ||
| TW1751-25 | 0.054 1 | 0.004 4 | 0.131 8 | 0.010 5 | 0.017 7 | 0.000 3 | 0.005 4 | 0.000 2 | 377 | 147 | 126 | 9 | 113 | 2 | 110 | 4 | 113 | ||
| TW1751-26 | 0.052 2 | 0.006 6 | 0.126 8 | 0.015 9 | 0.017 6 | 0.000 4 | 0.005 7 | 0.000 3 | 295 | 240 | 121 | 14 | 113 | 3 | 115 | 7 | 113 | ||
| TW1751-27 | 0.052 5 | 0.007 3 | 0.125 6 | 0.017 0 | 0.017 4 | 0.000 5 | 0.004 9 | 0.000 4 | 306 | 255 | 120 | 15 | 111 | 3 | 100 | 8 | 111 | ||
| TW1751-30 | 0.049 5 | 0.006 2 | 0.118 6 | 0.014 5 | 0.017 4 | 0.000 4 | 0.005 1 | 0.000 3 | 172 | 230 | 114 | 13 | 111 | 2 | 103 | 6 | 111 | ||
| TW0238-001 | 0.049 5 | 0.003 1 | 0.123 8 | 0.007 6 | 0.018 1 | 0.000 2 | 0.006 0 | 0.000 2 | 172 | 117 | 118 | 7 | 116 | 1 | 122 | 4 | 116 | ||
| TW0238-002 | 0.050 7 | 0.003 7 | 0.124 1 | 0.008 8 | 0.017 7 | 0.000 3 | 0.005 8 | 0.000 2 | 227 | 133 | 119 | 8 | 113 | 2 | 116 | 5 | 113 | ||
| TW0238-003 | 0.048 8 | 0.003 3 | 0.120 4 | 0.008 0 | 0.017 9 | 0.000 2 | 0.006 0 | 0.000 3 | 139 | 124 | 115 | 7 | 114 | 2 | 121 | 5 | 114 | ||
| TW0238-005 | 0.050 9 | 0.004 6 | 0.119 4 | 0.010 6 | 0.017 0 | 0.000 3 | 0.006 1 | 0.000 3 | 234 | 164 | 115 | 10 | 109 | 2 | 123 | 5 | 109 | ||
| TW0238-006 | 0.051 4 | 0.002 4 | 0.117 6 | 0.005 2 | 0.016 6 | 0.000 2 | 0.006 1 | 0.000 1 | 259 | 82 | 113 | 5 | 106 | 1 | 122 | 3 | 106 | ||
| TW0238-007 | 0.048 7 | 0.002 5 | 0.119 4 | 0.005 9 | 0.017 8 | 0.000 2 | 0.006 0 | 0.000 2 | 132 | 93 | 115 | 5 | 114 | 1 | 120 | 3 | 114 | ||
| TW0238-008 | 0.051 6 | 0.002 3 | 0.123 8 | 0.005 2 | 0.017 4 | 0.000 2 | 0.006 2 | 0.000 1 | 267 | 78 | 118 | 5 | 111 | 1 | 124 | 3 | 111 | ||
| TW0238-009 | 0.049 7 | 0.002 5 | 0.123 4 | 0.006 1 | 0.018 0 | 0.000 2 | 0.006 3 | 0.000 2 | 182 | 94 | 118 | 6 | 115 | 1 | 127 | 4 | 115 | ||
| TW0238-010 | 0.051 0 | 0.003 4 | 0.120 4 | 0.007 8 | 0.017 1 | 0.000 3 | 0.005 8 | 0.000 2 | 240 | 121 | 115 | 7 | 109 | 2 | 118 | 4 | 109 | ||
| TW0238-011 | 0.049 7 | 0.003 2 | 0.120 7 | 0.007 5 | 0.017 6 | 0.000 2 | 0.005 8 | 0.000 2 | 183 | 116 | 116 | 7 | 113 | 1 | 116 | 3 | 113 | ||
| TW0238-012 | 0.049 0 | 0.004 1 | 0.117 0 | 0.009 5 | 0.017 3 | 0.000 3 | 0.006 3 | 0.000 3 | 150 | 149 | 112 | 9 | 111 | 2 | 126 | 5 | 111 | ||
| TW0238-013 | 0.050 5 | 0.003 6 | 0.123 6 | 0.008 5 | 0.017 8 | 0.000 3 | 0.005 8 | 0.000 2 | 218 | 128 | 118 | 8 | 113 | 2 | 116 | 4 | 113 | ||
| TW0238-014 | 0.048 8 | 0.002 5 | 0.112 7 | 0.005 6 | 0.016 8 | 0.000 2 | 0.006 5 | 0.000 2 | 139 | 90 | 108 | 5 | 107 | 1 | 130 | 3 | 107 | ||
| TW0238-015 | 0.051 6 | 0.007 3 | 0.119 4 | 0.016 5 | 0.016 8 | 0.000 5 | 0.005 5 | 0.000 4 | 267 | 252 | 114 | 15 | 107 | 3 | 111 | 8 | 107 | ||
| TW0238-016 | 0.051 2 | 0.003 1 | 0.124 1 | 0.007 3 | 0.017 6 | 0.000 2 | 0.006 5 | 0.000 2 | 248 | 110 | 119 | 7 | 112 | 2 | 131 | 5 | 112 | ||
| TW0238-017 | 0.050 6 | 0.004 1 | 0.121 7 | 0.009 6 | 0.017 5 | 0.000 3 | 0.006 1 | 0.000 2 | 223 | 146 | 117 | 9 | 112 | 2 | 122 | 4 | 112 | ||
| TW0238-018 | 0.051 0 | 0.004 0 | 0.121 2 | 0.009 2 | 0.017 3 | 0.000 3 | 0.006 1 | 0.000 2 | 239 | 142 | 116 | 8 | 110 | 2 | 122 | 5 | 110 | ||
| TW0238-019 | 0.046 3 | 0.003 9 | 0.114 0 | 0.009 3 | 0.017 9 | 0.000 3 | 0.005 8 | 0.000 3 | 11 | 146 | 110 | 8 | 114 | 2 | 116 | 7 | 114 | ||
| TW0238-020 | 0.047 8 | 0.004 8 | 0.116 4 | 0.011 5 | 0.017 7 | 0.000 4 | 0.006 3 | 0.000 3 | 90 | 182 | 112 | 10 | 113 | 2 | 126 | 7 | 113 | ||
| TW0238-021 | 0.046 9 | 0.002 5 | 0.113 9 | 0.006 0 | 0.017 6 | 0.000 2 | 0.006 0 | 0.000 2 | 42 | 91 | 109 | 5 | 113 | 1 | 121 | 3 | 113 | ||
| TW0238-022 | 0.050 2 | 0.004 3 | 0.119 3 | 0.010 1 | 0.017 3 | 0.000 3 | 0.005 7 | 0.000 2 | 202 | 155 | 114 | 9 | 110 | 2 | 115 | 4 | 110 | ||
| TW0238-023 | 0.050 0 | 0.003 8 | 0.126 5 | 0.009 3 | 0.018 4 | 0.000 3 | 0.006 6 | 0.000 3 | 193 | 136 | 121 | 8 | 117 | 2 | 134 | 5 | 117 | ||
| TW0238-024 | 0.046 9 | 0.003 0 | 0.111 5 | 0.007 0 | 0.017 3 | 0.000 2 | 0.006 1 | 0.000 2 | 42 | 111 | 107 | 6 | 110 | 1 | 122 | 4 | 110 | ||
| TW0238-025 | 0.046 8 | 0.002 6 | 0.112 2 | 0.006 0 | 0.017 4 | 0.000 2 | 0.006 5 | 0.000 3 | 40 | 94 | 108 | 5 | 111 | 1 | 132 | 6 | 111 | ||
| TW0238-026 | 0.047 6 | 0.002 7 | 0.116 0 | 0.006 5 | 0.017 7 | 0.000 2 | 0.006 1 | 0.000 2 | 78 | 102 | 111 | 6 | 113 | 1 | 122 | 4 | 113 | ||
| TW0238-027 | 0.047 1 | 0.002 4 | 0.114 6 | 0.005 7 | 0.017 7 | 0.000 2 | 0.005 8 | 0.000 2 | 52 | 88 | 110 | 5 | 113 | 1 | 116 | 4 | 113 | ||
| TW0238-029 | 0.045 1 | 0.002 8 | 0.111 3 | 0.006 7 | 0.017 9 | 0.000 2 | 0.005 8 | 0.000 2 | -13 | 105 | 107 | 6 | 114 | 1 | 116 | 5 | 114 | ||
| TW0238-030 | 0.046 5 | 0.002 9 | 0.113 1 | 0.006 8 | 0.017 6 | 0.000 2 | 0.005 8 | 0.000 2 | 24 | 105 | 109 | 6 | 113 | 1 | 117 | 4 | 113 | ||
Table 5 U-Pb SHRIMP dating of zircons from samples TW1751 and TW0238
| 测点号 | 同位素比值及误差 | 同位素年龄及误差/Ma | 年龄/ Ma | ||||||||||||||||
|---|---|---|---|---|---|---|---|---|---|---|---|---|---|---|---|---|---|---|---|
| 207Pb/206Pb | 1σ | 207Pb/235U | 1σ | 206Pb/238U | 1σ | 208Pb/232Th | 1σ | 207Pb/ 206Pb | 1σ | 207Pb/ 235U | 1σ | 206Pb/ 238U | 1σ | 208Pb/ 232Th | 1σ | ||||
| TW1751-01 | 0.046 1 | 0.005 9 | 0.121 1 | 0.015 3 | 0.019 1 | 0.000 4 | 0.010 9 | 0.000 7 | 240 | 116 | 14 | 122 | 3 | 220 | 13 | 122 | |||
| TW1751-02 | 0.046 4 | 0.005 9 | 0.121 5 | 0.015 1 | 0.019 0 | 0.000 4 | 0.005 8 | 0.000 4 | 20 | 215 | 116 | 14 | 121 | 3 | 117 | 7 | 121 | ||
| TW1751-03 | 0.046 1 | 0.003 3 | 0.113 4 | 0.007 7 | 0.017 9 | 0.000 4 | 0.035 0 | 0.001 2 | 156 | 109 | 7 | 114 | 2 | 696 | 23 | 114 | |||
| TW1751-05 | 0.050 4 | 0.006 8 | 0.131 8 | 0.017 4 | 0.019 0 | 0.000 4 | 0.006 2 | 0.000 4 | 214 | 251 | 126 | 16 | 121 | 3 | 125 | 8 | 121 | ||
| TW1751-08 | 0.045 5 | 0.006 7 | 0.113 9 | 0.016 5 | 0.018 2 | 0.000 4 | 0.005 7 | 0.000 4 | -29 | 230 | 110 | 15 | 116 | 3 | 115 | 7 | 116 | ||
| TW1751-09 | 0.053 4 | 0.005 7 | 0.134 6 | 0.014 0 | 0.018 3 | 0.000 4 | 0.005 5 | 0.000 3 | 344 | 196 | 128 | 13 | 117 | 2 | 112 | 5 | 117 | ||
| TW1751-10 | 0.050 1 | 0.004 3 | 0.127 6 | 0.010 7 | 0.018 5 | 0.000 3 | 0.006 0 | 0.000 2 | 198 | 157 | 122 | 10 | 118 | 2 | 121 | 4 | 118 | ||
| TW1751-12 | 0.052 8 | 0.007 0 | 0.132 4 | 0.017 2 | 0.018 2 | 0.000 4 | 0.005 6 | 0.000 4 | 322 | 248 | 126 | 15 | 116 | 3 | 113 | 7 | 116 | ||
| TW1751-14 | 0.045 3 | 0.008 4 | 0.111 7 | 0.020 5 | 0.017 9 | 0.000 5 | 0.006 7 | 0.000 5 | -6 | 271 | 107 | 19 | 114 | 3 | 135 | 10 | 114 | ||
| TW1751-16 | 0.044 7 | 0.004 4 | 0.109 6 | 0.010 6 | 0.017 8 | 0.000 3 | 0.005 6 | 0.000 2 | -33 | 173 | 106 | 10 | 113 | 2 | 112 | 4 | 113 | ||
| TW1751-18 | 0.051 0 | 0.006 9 | 0.128 5 | 0.017 2 | 0.018 3 | 0.000 4 | 0.005 9 | 0.000 4 | 239 | 253 | 123 | 15 | 117 | 3 | 119 | 7 | 117 | ||
| TW1751-19 | 0.047 3 | 0.005 9 | 0.114 3 | 0.014 1 | 0.017 5 | 0.000 4 | 0.006 3 | 0.000 4 | 62 | 221 | 110 | 13 | 112 | 2 | 128 | 7 | 112 | ||
| TW1751-23 | 0.048 0 | 0.005 4 | 0.116 6 | 0.012 8 | 0.017 6 | 0.000 4 | 0.005 9 | 0.000 2 | 100 | 205 | 112 | 12 | 113 | 2 | 118 | 4 | 113 | ||
| TW1751-24 | 0.052 1 | 0.005 8 | 0.126 7 | 0.014 0 | 0.017 6 | 0.000 4 | 0.005 7 | 0.000 2 | 288 | 210 | 121 | 13 | 113 | 2 | 114 | 5 | 113 | ||
| TW1751-25 | 0.054 1 | 0.004 4 | 0.131 8 | 0.010 5 | 0.017 7 | 0.000 3 | 0.005 4 | 0.000 2 | 377 | 147 | 126 | 9 | 113 | 2 | 110 | 4 | 113 | ||
| TW1751-26 | 0.052 2 | 0.006 6 | 0.126 8 | 0.015 9 | 0.017 6 | 0.000 4 | 0.005 7 | 0.000 3 | 295 | 240 | 121 | 14 | 113 | 3 | 115 | 7 | 113 | ||
| TW1751-27 | 0.052 5 | 0.007 3 | 0.125 6 | 0.017 0 | 0.017 4 | 0.000 5 | 0.004 9 | 0.000 4 | 306 | 255 | 120 | 15 | 111 | 3 | 100 | 8 | 111 | ||
| TW1751-30 | 0.049 5 | 0.006 2 | 0.118 6 | 0.014 5 | 0.017 4 | 0.000 4 | 0.005 1 | 0.000 3 | 172 | 230 | 114 | 13 | 111 | 2 | 103 | 6 | 111 | ||
| TW0238-001 | 0.049 5 | 0.003 1 | 0.123 8 | 0.007 6 | 0.018 1 | 0.000 2 | 0.006 0 | 0.000 2 | 172 | 117 | 118 | 7 | 116 | 1 | 122 | 4 | 116 | ||
| TW0238-002 | 0.050 7 | 0.003 7 | 0.124 1 | 0.008 8 | 0.017 7 | 0.000 3 | 0.005 8 | 0.000 2 | 227 | 133 | 119 | 8 | 113 | 2 | 116 | 5 | 113 | ||
| TW0238-003 | 0.048 8 | 0.003 3 | 0.120 4 | 0.008 0 | 0.017 9 | 0.000 2 | 0.006 0 | 0.000 3 | 139 | 124 | 115 | 7 | 114 | 2 | 121 | 5 | 114 | ||
| TW0238-005 | 0.050 9 | 0.004 6 | 0.119 4 | 0.010 6 | 0.017 0 | 0.000 3 | 0.006 1 | 0.000 3 | 234 | 164 | 115 | 10 | 109 | 2 | 123 | 5 | 109 | ||
| TW0238-006 | 0.051 4 | 0.002 4 | 0.117 6 | 0.005 2 | 0.016 6 | 0.000 2 | 0.006 1 | 0.000 1 | 259 | 82 | 113 | 5 | 106 | 1 | 122 | 3 | 106 | ||
| TW0238-007 | 0.048 7 | 0.002 5 | 0.119 4 | 0.005 9 | 0.017 8 | 0.000 2 | 0.006 0 | 0.000 2 | 132 | 93 | 115 | 5 | 114 | 1 | 120 | 3 | 114 | ||
| TW0238-008 | 0.051 6 | 0.002 3 | 0.123 8 | 0.005 2 | 0.017 4 | 0.000 2 | 0.006 2 | 0.000 1 | 267 | 78 | 118 | 5 | 111 | 1 | 124 | 3 | 111 | ||
| TW0238-009 | 0.049 7 | 0.002 5 | 0.123 4 | 0.006 1 | 0.018 0 | 0.000 2 | 0.006 3 | 0.000 2 | 182 | 94 | 118 | 6 | 115 | 1 | 127 | 4 | 115 | ||
| TW0238-010 | 0.051 0 | 0.003 4 | 0.120 4 | 0.007 8 | 0.017 1 | 0.000 3 | 0.005 8 | 0.000 2 | 240 | 121 | 115 | 7 | 109 | 2 | 118 | 4 | 109 | ||
| TW0238-011 | 0.049 7 | 0.003 2 | 0.120 7 | 0.007 5 | 0.017 6 | 0.000 2 | 0.005 8 | 0.000 2 | 183 | 116 | 116 | 7 | 113 | 1 | 116 | 3 | 113 | ||
| TW0238-012 | 0.049 0 | 0.004 1 | 0.117 0 | 0.009 5 | 0.017 3 | 0.000 3 | 0.006 3 | 0.000 3 | 150 | 149 | 112 | 9 | 111 | 2 | 126 | 5 | 111 | ||
| TW0238-013 | 0.050 5 | 0.003 6 | 0.123 6 | 0.008 5 | 0.017 8 | 0.000 3 | 0.005 8 | 0.000 2 | 218 | 128 | 118 | 8 | 113 | 2 | 116 | 4 | 113 | ||
| TW0238-014 | 0.048 8 | 0.002 5 | 0.112 7 | 0.005 6 | 0.016 8 | 0.000 2 | 0.006 5 | 0.000 2 | 139 | 90 | 108 | 5 | 107 | 1 | 130 | 3 | 107 | ||
| TW0238-015 | 0.051 6 | 0.007 3 | 0.119 4 | 0.016 5 | 0.016 8 | 0.000 5 | 0.005 5 | 0.000 4 | 267 | 252 | 114 | 15 | 107 | 3 | 111 | 8 | 107 | ||
| TW0238-016 | 0.051 2 | 0.003 1 | 0.124 1 | 0.007 3 | 0.017 6 | 0.000 2 | 0.006 5 | 0.000 2 | 248 | 110 | 119 | 7 | 112 | 2 | 131 | 5 | 112 | ||
| TW0238-017 | 0.050 6 | 0.004 1 | 0.121 7 | 0.009 6 | 0.017 5 | 0.000 3 | 0.006 1 | 0.000 2 | 223 | 146 | 117 | 9 | 112 | 2 | 122 | 4 | 112 | ||
| TW0238-018 | 0.051 0 | 0.004 0 | 0.121 2 | 0.009 2 | 0.017 3 | 0.000 3 | 0.006 1 | 0.000 2 | 239 | 142 | 116 | 8 | 110 | 2 | 122 | 5 | 110 | ||
| TW0238-019 | 0.046 3 | 0.003 9 | 0.114 0 | 0.009 3 | 0.017 9 | 0.000 3 | 0.005 8 | 0.000 3 | 11 | 146 | 110 | 8 | 114 | 2 | 116 | 7 | 114 | ||
| TW0238-020 | 0.047 8 | 0.004 8 | 0.116 4 | 0.011 5 | 0.017 7 | 0.000 4 | 0.006 3 | 0.000 3 | 90 | 182 | 112 | 10 | 113 | 2 | 126 | 7 | 113 | ||
| TW0238-021 | 0.046 9 | 0.002 5 | 0.113 9 | 0.006 0 | 0.017 6 | 0.000 2 | 0.006 0 | 0.000 2 | 42 | 91 | 109 | 5 | 113 | 1 | 121 | 3 | 113 | ||
| TW0238-022 | 0.050 2 | 0.004 3 | 0.119 3 | 0.010 1 | 0.017 3 | 0.000 3 | 0.005 7 | 0.000 2 | 202 | 155 | 114 | 9 | 110 | 2 | 115 | 4 | 110 | ||
| TW0238-023 | 0.050 0 | 0.003 8 | 0.126 5 | 0.009 3 | 0.018 4 | 0.000 3 | 0.006 6 | 0.000 3 | 193 | 136 | 121 | 8 | 117 | 2 | 134 | 5 | 117 | ||
| TW0238-024 | 0.046 9 | 0.003 0 | 0.111 5 | 0.007 0 | 0.017 3 | 0.000 2 | 0.006 1 | 0.000 2 | 42 | 111 | 107 | 6 | 110 | 1 | 122 | 4 | 110 | ||
| TW0238-025 | 0.046 8 | 0.002 6 | 0.112 2 | 0.006 0 | 0.017 4 | 0.000 2 | 0.006 5 | 0.000 3 | 40 | 94 | 108 | 5 | 111 | 1 | 132 | 6 | 111 | ||
| TW0238-026 | 0.047 6 | 0.002 7 | 0.116 0 | 0.006 5 | 0.017 7 | 0.000 2 | 0.006 1 | 0.000 2 | 78 | 102 | 111 | 6 | 113 | 1 | 122 | 4 | 113 | ||
| TW0238-027 | 0.047 1 | 0.002 4 | 0.114 6 | 0.005 7 | 0.017 7 | 0.000 2 | 0.005 8 | 0.000 2 | 52 | 88 | 110 | 5 | 113 | 1 | 116 | 4 | 113 | ||
| TW0238-029 | 0.045 1 | 0.002 8 | 0.111 3 | 0.006 7 | 0.017 9 | 0.000 2 | 0.005 8 | 0.000 2 | -13 | 105 | 107 | 6 | 114 | 1 | 116 | 5 | 114 | ||
| TW0238-030 | 0.046 5 | 0.002 9 | 0.113 1 | 0.006 8 | 0.017 6 | 0.000 2 | 0.005 8 | 0.000 2 | 24 | 105 | 109 | 6 | 113 | 1 | 117 | 4 | 113 | ||
| 岩浆岩单元 | 代号 | 采样位置 | U-Pb同位素年龄/Ma | 备注 |
|---|---|---|---|---|
| 肉红色花岗闪长斑岩 | K1γδπ | 查楚幅布木错北 | 113±0.43 | 本次测试 |
| 肉红色细粒花岗闪长岩 | K1γδ | 野马沟幅雄巴日北 | 116.2±3.6 | |
| 野马沟幅雄巴日 | 112.63±0.78 | |||
| 灰色石英闪长玢岩 | K1δομ | 拉木卓幅赛登 | 107±0.13 | |
| 肉红色花岗斑岩 | K1γπ | 查楚幅布木错南东 | 113.7±2.1 | 据文献[ |
Table 6 Isotopic age of granite in the study area
| 岩浆岩单元 | 代号 | 采样位置 | U-Pb同位素年龄/Ma | 备注 |
|---|---|---|---|---|
| 肉红色花岗闪长斑岩 | K1γδπ | 查楚幅布木错北 | 113±0.43 | 本次测试 |
| 肉红色细粒花岗闪长岩 | K1γδ | 野马沟幅雄巴日北 | 116.2±3.6 | |
| 野马沟幅雄巴日 | 112.63±0.78 | |||
| 灰色石英闪长玢岩 | K1δομ | 拉木卓幅赛登 | 107±0.13 | |
| 肉红色花岗斑岩 | K1γπ | 查楚幅布木错南东 | 113.7±2.1 | 据文献[ |
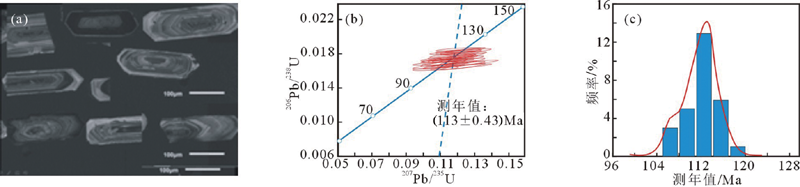
Fig.10 Zircon dating of fine-grained granodiorite sample TW1751 from northern Xiongbari. a—Zircon Cl image; b—U-Pb concordia diagram for zircon dating; c—Histogram of zircon U-Pb isotopic age.
Fig.11 Zircon dating of granodiorite porphyry sample TW0238 from northern Bumuco. a—Zircon Cl image; b—U-Pb concordia diagram for zircon dating; c—Histogram of zircon U-Pb isotopic age.
Fig.14 MgO-FeOt-Al2O3 diagram of moderately felsic intrusive rocks in the study area. 1—Expansion center island; 2—Orogenic belt; 3—Oceanic ridge and ocean floor; 4—Oceanic island; 5—Continent.
Fig.15 R1-R2 multication diagram for moderately felsic intrusive rocks in the study area. 1—Mantle rift type; 2—Pre-collision type; 3—Post-collisional uplift type; 4—Post-orogenic type; 5—Syn-orogenic type; 6—Syn-collision type; 7—Post-orogenic type.
Fig.16 Nb-Y diagram of moderately felsic intrusive rocks in the study area. Syn-COLG—Syn-collisional granite; WPG—Intraplate granite; ORG—Mid-ocean ridge granite; VAG—Volcanic arc granite.
Fig.17 Rb-(Yb+Nb) diagram of moderately felsic intrusive rocks in the study area. Syn-COLG—Syn-collisional granite; WPG—Intraplate granite; ORG—Mid-ocean ridge granite; VAG—Volcanic arc granite.
| [1] | 刘宝田, 江耀明, 曲景川. 青藏高原地质文集(12): “三江”构造地质, 北京: 地质出版社, 1983: 229-242. |
| [2] | 潘桂棠, 朱弟成, 王立全, 等. 班公湖怒江缝合带作为冈瓦纳大陆北界的地质地球物理证据[J]. 地学前缘, 2004, 11(4):371-382. |
| [3] | 朱弟成, 潘桂棠, 莫宣学, 等. 青藏高原中部中生代型玄武岩的识别: 年代学、 地球化学及其构造环境[J]. 地质学报, 2006, 80(9) : 1312-1328. |
| [4] | 张玉修. 班公湖—怒江缝合带中西段构造演化[D]. 广州: 中国科学院广州地球化学研究所, 2007: 1-270. |
| [5] |
ZHANG K J. Secular geochemical variations of the Lower Cretaceous siliciclastic rocks from central Tibet(China) indicate a tectonic transition from continental collision to back-arc rifting[J]. Earth and Planetary Science Letter, 2004, 229:73-89.
DOI URL |
| [6] | 胡道功, 吴珍汉, 江万, 等. 藏北纳木错西缘前寒武纪辉长岩变质变形年代学研究[J]. 岩石学报, 2004, 20(3):627-632. |
| [7] | 康磊, 校培喜, 高晓峰, 等. 班公湖—怒江结合带西段白垩纪花岗岩成因及其构造意义[J]. 矿床地质, 2012, 31(增刊):1033-1034. |
| [8] | 许志琴, 杨经绥, 李文昌, 等. 青藏高原中的古特提斯体制与增生造山作用[J]. 岩石学报, 2013, 29(6):1847-1860. |
| [9] | 曹俊平, 曹圣华, 陈振华, 等. 西藏冈底斯中段晚侏罗—早白垩世花岗岩特征[J]. 资源调查与环境, 2006, 27(4):277-285. |
| [10] | 陈士海, 王斌, 张建仁, 等. 班公湖—怒江成矿带西段弗野花岗岩体的岩石地球化学特征及年代学研究[J]. 东华理工大学学报(自然科学版), 2014, 37(1):37-44. |
| [11] | 吴小双. 班公湖—怒江缝合带西段纳屋错地区岩浆岩特征及构造意义[D]. 成都: 成都理工大学, 2015: 1-72. |
| [12] | 伊海生, 朱迎堂, 邓斌, 等. 西藏1: 5万日土县羌多地区区域地质调查报告[R]. 成都: 成都理工大学地质调查研究院, 2014: 80-221. |
| [13] | CHUNG S L, CHU M F, ZHANG Y, et al. Tibetan tectonic evolution inferred from spatial and temporal variations in postcollisional magmatism[J]. Earth-Science Reviews, 2005, 68(3/4):173-196. |
| [14] |
YIN A, HARRISON T M. Geologic evolution of the Himalayan-Tibetan orogen[J]. Annual Review of Earth and Planetary Sciences, 2000, 28:211-280.
DOI URL |
| [15] | 孔祥儒, 王谦身, 熊绍柏. 西藏高原西部综合地球物理与岩石圈结构研究[J]. 中国科学: D辑, 1996(4):22-29. |
| [16] |
ZHU D C, LI S M, CAWOOD P A. Assembly of the Lhasa and Qiangtang terranes in central Tibet by divergent double subduction[J]. Lithos, 2016, 245:7-17.
DOI URL |
| [17] | 刘敦一, 简平, 张旗, 等. 内蒙古图林凯蛇绿岩中埃达克岩的SHRIMP年龄: 早古生代俯冲证据[J]. 地质学报, 2003, 77(3):317-327. |
| [18] | DIWU C R, SUN Y, YUAN H L, et al. U-Pb ages and Hf isotopes for detrital zircons from quartzite in the Paleoproterozoic Songshan Group on the southwestern margin of the North China Craton[J]. Chinese Science Bulletin, 2008, 53(18):2828-2839. |
| [19] | TAYLOR S R, MCLENNAN S M. The continental crustal: its composition and evolution[M]. Oxford: Blackwell, 1985. |
| [20] |
PECCERILLO A, TAYLORS R. Geochemistry of Eocene calc-alkaline volcanic rocks from the Kastamonu area, Northern Turkey[J]. Contributions to Mineralogy and Petrology, 1976, 58(1):63-81.
DOI URL |
| [21] | 朱弟成, 莫宣学, 赵志丹, 等. 西藏南部二叠纪和早白垩世构造岩浆作用与特提斯演化新观点[J]. 地学前缘, 2009, 16(2):1-16. |
| [1] | WU Hao, YANG Chen, WU Yanwang, LI Cai, LIU Fei, LIN Zhaoxu. Petrogenesis of Late Cretaceous magmatic rocks in the Zhongcang area of northern Tibet and their implications for early uplift of the plateau [J]. Earth Science Frontiers, 2024, 31(6): 261-281. |
| [2] | LIU Wei, ZHANG Hongrui, LUO Dike, JIA Pengfei, JIN Lijie, ZHOU Yonggang, LIANG Yunhan, WANG Zisheng, LI Chunjia. Petrogenesis of Paleoproterozoic granites in the Dondo area, northern Angola block: Geological response to the assembly of Columbia Supercontinent [J]. Earth Science Frontiers, 2024, 31(4): 237-257. |
| [3] | QIU Linfei, LI Ziying, ZHANG Zilong, WANG Longhui, LI Zhencheng, HAN Meizhi, WANG Tingting. Characteristics of organic matter in Lower Cretaceous ore-bearing sandstones and its relationship with uranium mineralization in the northern Ordos Basin [J]. Earth Science Frontiers, 2024, 31(4): 281-296. |
| [4] | YIN Qingqing, TANG Juxing, XIANG Xinkui, ZHAO Xiaoyan, WANG Fangyue, XU Yumin, GUO Hu, YU Zhendong, XIE Jinling, DAI Jingjing, PENG Bo. Petrogenesis of reductive S-type granites in the Pengshan district, northern Jiangxi Province, and their implications for tin enrichment: Insights from zircon trace elements [J]. Earth Science Frontiers, 2024, 31(3): 133-149. |
| [5] | LI Guangjie, CHEN Yongqing, SHANG Zhi, LIU Shibo. Geochemical characteristics and petrogenesis of the Neoproterozoic Eshan highly fractionated I-type granites, western Yangtze block [J]. Earth Science Frontiers, 2024, 31(3): 20-39. |
| [6] | XIAO Hong, LI Meijun, CHENG Dingsheng, LIU Jiguo, LI Jin, XING Xiangrong. Late Cretaceous transgression in the Muglad Basin of Central Africa and its implication for oil and gas exploration [J]. Earth Science Frontiers, 2024, 31(3): 352-359. |
| [7] | WANG Chengshan, GAO Yuan, WANG Pujun, WU Huaichun, LÜ Qingtian, ZHU Yongyi, WAN Xiaoqiao, ZOU Changchun, HUANG Yongjian, GAO Youfeng, XI Dangpeng, WANG Wenshi, HE Huaiyu, FENG Zihui, YANG Guang, DENG Chenglong, ZHANG Laiming, WANG Tiantian, HU Bin, CUI Liwei, PENG Cheng, YU Enxiao, HUANG He, YANG Liu, WU Zhengxuan. International Continental Scientific Drilling Project of the Songliao Basin: Terrestrial Geological Records of the Cretaceous Dinosaur Age [J]. Earth Science Frontiers, 2024, 31(1): 412-430. |
| [8] | WU Huaichun, LI Shan, WANG Chengshan, CHU Runjian, WANG Pujun, GAO Yuan, WAN Xiaoqiao, HE Huaiyu, DENG Chenglong, YANG Guang, HUANG Yongjian, GAO Youfeng, XI Dangpeng, WANG Tiantian, FANG Qiang, YANG Tianshui, ZHANG Shihong. Integrated chronostratigraphic framework for Cretaceous strata in the Songliao Basin [J]. Earth Science Frontiers, 2024, 31(1): 431-445. |
| [9] | ZHANG Qi, ZHAI Mingguo, WEI Chunjing, ZHOU Ligang, HUANG Guangyu, CHEN Wanfeng, JIAO Shoutao, TANG Jun, LIU Rui, YUAN Jie, WANG Zhen, WANG Yue, YUAN Fanglin. A new granitization theory: Discussion on the four-stage granitization theory [J]. Earth Science Frontiers, 2023, 30(6): 406-435. |
| [10] | FU Jiangang, LI Guangming, GUO Weikang, ZHANG Hai, ZHANG Linkui, DONG Suiliang, ZHOU Limin, LI Yingxu, JIAO Yanjie, SHI Hongzhao. Mineralogical characteristics of columbite group minerals and its implications for magmatic-hydrothermal transition in the Gabo lithium deposit, Himalayan metallogenic belt [J]. Earth Science Frontiers, 2023, 30(5): 134-150. |
| [11] | WANG Ziye, ZUO Renguang. Mapping Himalayan leucogranites by machine learning using multi-source data [J]. Earth Science Frontiers, 2023, 30(5): 216-226. |
| [12] | GUO Weikang, LI Guangming, FU Jiangang, ZHANG Hai, ZHANG Linkui, WU Jianyang, DONG Suiliang, YANG Yulin. Metallogenic epoch, magmatic evolution and metallogenic significance of the Gabo lithium pegmatite deposit, Himalayan metallogenic belt, Tibet [J]. Earth Science Frontiers, 2023, 30(5): 275-297. |
| [13] | HUANG Chunmei, LI Guangming, FU Jiangang, LIANG Wei, ZHANG Zhi, WANG Yiyun. Early Miocene leucogranitic magmatism in Cuonadong, southern Tibet: Constraints from whole-rock geochemical and mineralogical characteristics [J]. Earth Science Frontiers, 2023, 30(5): 74-92. |
| [14] | DU Lintao, BI Wenjun, LI Yalin, ZHANG Jiawei, ZHANG Shaowen, YIN Xuwei, WANG Chengxiu. Sedimentary environment, provenance analysis and tectonic significance of the Upper-Cretaceous Abushan Formation in 114 Daoban, Anduo area, Qiangtang Basin [J]. Earth Science Frontiers, 2023, 30(4): 245-259. |
| [15] | WANG Tao, LI Jiqing, HAN Jie, WANG Taishan, LI Yulong, YUAN Bowu. Geochemistry, geochronology and Hf isotopic characteristics of rare earth-bearing quartz syenite in eastern Dashuigou, East Kunlun [J]. Earth Science Frontiers, 2023, 30(4): 283-298. |
| Viewed | ||||||
|
Full text |
|
|||||
|
Abstract |
|
|||||