地学前缘 ›› 2026, Vol. 33 ›› Issue (1): 500-510.DOI: 10.13745/j.esf.sf.2025.10.38

• 水文地质新技术新方法 • 上一篇    下一篇

基于硬约束物理信息神经网络的含水层渗透系数场反演

舒伟(), 蒋建国, 吴吉春*()   

  1. 南京大学 地球科学与工程学院, 水科学系, 江苏 南京 210023
  • 收稿日期:2025-05-30 修回日期:2025-08-29 出版日期:2026-01-25 发布日期:2025-11-10
  • 通信作者: *吴吉春(1968—),男,教授,博士生导师,主要从事水资源与水环境、地下水模拟等方面的研究。E-mail: jcwu@nju.edu.cn
  • 作者简介:舒 伟(1999—),男,博士研究生,主要从事深度学习在地下水模拟中的应用研究。E-mail: weishu2024@smail.nju.edu.cn
  • 基金资助:
    国家重点研发计划项目(2021YFA0715903);国家自然科学基金项目(42330718)

Physics-informed neural networks with hard constraints for hydraulic conductivity field inversion

SHU Wei(), JIANG Jianguo, WU Jichun*()   

  1. Department of Water Sciences, School of Earth Sciences and Engineering, Nanjing University, Nanjing 210023, China
  • Received:2025-05-30 Revised:2025-08-29 Online:2026-01-25 Published:2025-11-10

摘要:

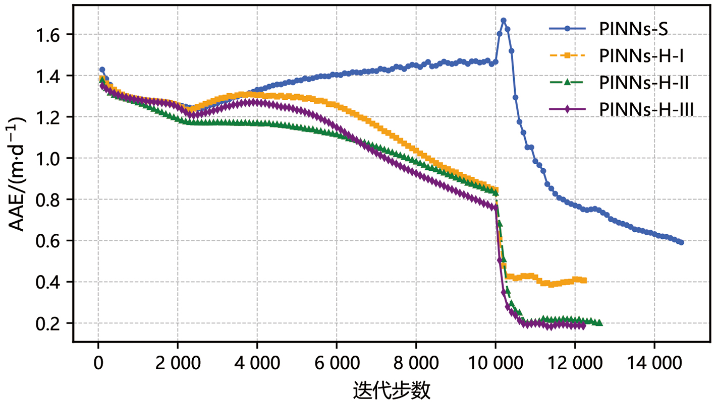
近年来,物理信息神经网络(physics-informed neural networks,PINNs)在数值求解偏微分方程和计算流体力学等领域得到了广泛应用,并在地下水模拟中展现出初步的应用潜力。现有研究中,PINNs对地下水模型边界条件的处理通常采用软约束算法,通过边界条件误差最小化来近似满足物理约束。然而,能够进一步提升求解精度和稳定性的硬约束算法在该领域的应用仍较为有限。为此,本文引入PINNs硬约束方法,提出了一种同时考虑定水头边界和隔水边界条件的PINNs硬约束算法,并以二维承压含水层的渗透系数场反演为例,对比分析了硬约束PINNs相较于软约束PINNs在提高渗透系数场反演精度方面的优势。结果表明,所提出的硬约束PINNs方法的反演平均相对误差相比软约束PINNs降低了75%,且相较于仅考虑定水头边界的硬约束PINNs反演平均相对误差减少了60%。此外,该方法能够有效减少训练所需样本数量和超参数数量,降低人为因素对模型训练的影响,提升了训练效率。因此,该硬约束PINNs方法在含水层渗透系数场反演中展现出良好的精度与效率,具有良好的推广应用前景。

关键词: 物理信息神经网络, 硬约束PINNs, 渗透系数场反演, 地下水建模, 承压含水层

Abstract:

In recent years, Physics-Informed Neural Networks (PINNs) have been widely applied to numerically solve partial differential equations and in computational fluid dynamics, having demonstrated promising potential for groundwater modeling. Existing studies typically handle boundary conditions in groundwater models using soft-constraint algorithms, which satisfy physical constraints approximately by minimizing the boundary condition error. However, the application of hard-constraint algorithms, which can enhance solving accuracy and stability by design, remains limited in groundwater modeling. To address this gap, this paper introduces a hard-constraint PINNs algorithm that simultaneously enforces constant-head and no-flow boundary conditions. Using the inverse problem of estimating the hydraulic conductivity field in a two-dimensional confined aquifer as a case study, we demonstrate the superior performance of the hard-constraint approach over its soft-constraint counterpart. The results show that the proposed method reduces the average relative inversion error by 75% compared to soft-constraint PINNs and by 60% compared to hard-constraint PINNs considering constant-head boundaries alone. Furthermore, the proposed method reduces the number of required training samples and alleviates the need for extensive manual hyperparameter tuning, thereby improving training efficiency and robustness. Therefore, the hard-constraint PINNs method proves to be a highly accurate and efficient approach for reconstructing hydraulic conductivity fields, demonstrating significant potential for broader application.

Key words: physics-informed neural networks, hard-constraint PINNs, hydraulic conductivity field inversion, groundwater modeling, confined aquifer

中图分类号: