

Earth Science Frontiers ›› 2023, Vol. 30 ›› Issue (2): 282-295.DOI: 10.13745/j.esf.sf.2022.2.72
Previous Articles Next Articles
					
													MU Hansheng1( ), XUE Xinyu2, JIANG Zaixing2
), XUE Xinyu2, JIANG Zaixing2
												  
						
						
						
					
				
Received:2021-12-14
															
							
																	Revised:2022-01-02
															
							
															
							
																	Online:2023-03-25
															
							
																	Published:2023-01-05
															
						CLC Number:
MU Hansheng, XUE Xinyu, JIANG Zaixing. Shale oil and gas in the Mesozoic Basins, eastern Yanshan Orogenic Belt—exploration status and outlooks[J]. Earth Science Frontiers, 2023, 30(2): 282-295.
 
																													Fig.1 (a) Tectonic map of the study area (modified from [25⇓⇓-28]) and (b) distribution of Jurassic-Cretaceous sedimentary basins in western Liaoning Province (modified from [49]).
 
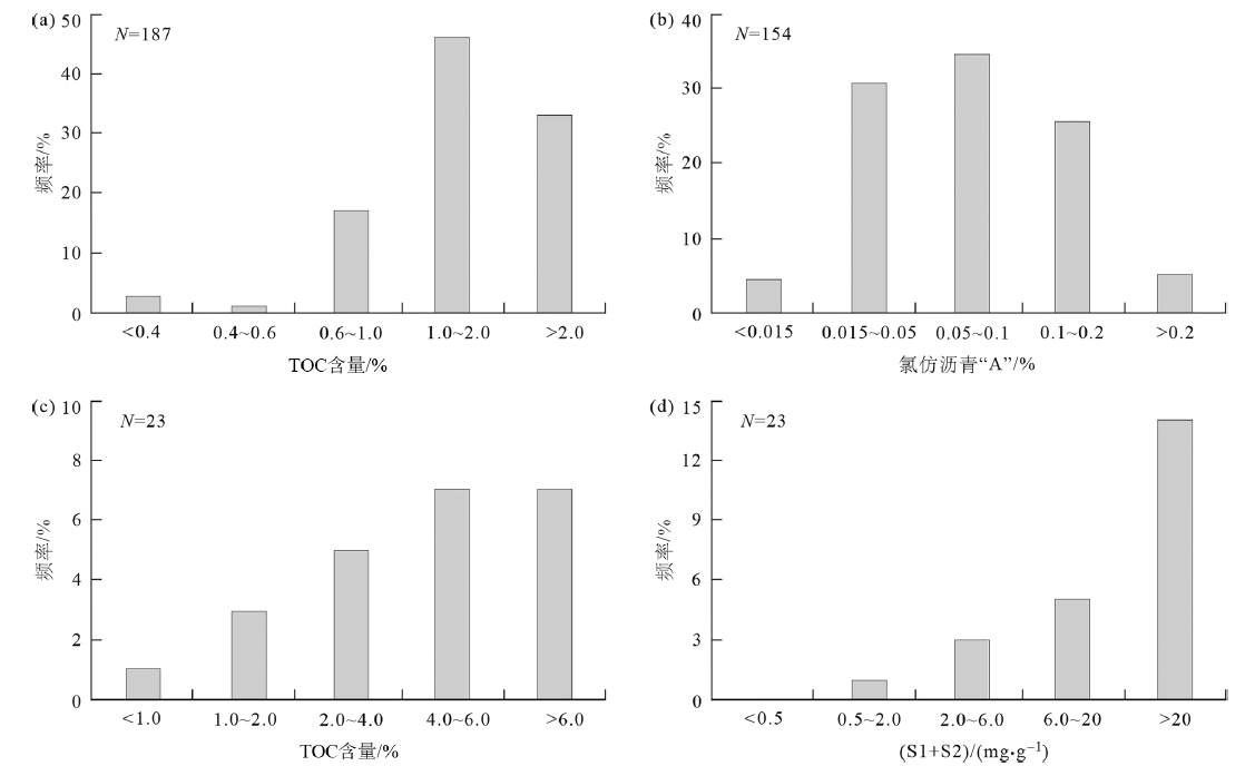
																													Fig.4 Histograms for organic matter abundances in samples from the Beipiao (a,b) and Jiufotang (c,d) Formations (a, data adapted from [56]; b, data adapted from [29])
 
																													Fig.5 Columnar diagrams of mineral compositions of fine-grained sedimentary rock samples from the (a) Beipiao (data adapted from [58]) and (b) Jiufotang (data adapted from [29]) Formations in Mesozoic Basins, western Liaoning
| [1] | 贾承造, 庞雄奇, 姜福杰. 中国油气资源研究现状与发展方向[J]. 石油科学通报, 2016, 1(1): 2-23. | 
| [2] | 李国欣, 朱如凯. 中国石油非常规油气发展现状、 挑战与关注问题[J]. 中国石油勘探, 2020, 25(2): 1-13. DOI | 
| [3] | 贾承造, 邹才能, 杨智, 等. 陆相油气地质理论在中国中西部盆地的重大进展[J]. 石油勘探与开发, 2018, 45(4): 546-560. | 
| [4] | 邹才能, 杨智, 朱如凯, 等. 中国非常规油气勘探开发与理论技术进展[J]. 地质学报, 2015, 89(6): 979-1007. | 
| [5] | 支东明, 宋永, 何文军, 等. 准噶尔盆地中—下二叠统页岩油地质特征、 资源潜力及勘探方向[J]. 新疆石油地质, 2019, 40(4): 389-401. | 
| [6] | 支东明, 唐勇, 何文军, 等. 准噶尔盆地玛湖凹陷风城组常规-非常规油气有序共生与全油气系统成藏模式[J]. 石油勘探与开发, 2021, 48(1): 38-51. | 
| [7] | 柳波, 吕延防, 冉清昌, 等. 松辽盆地北部青山口组页岩油形成地质条件及勘探潜力[J]. 石油与天然气地质, 2014, 35(2): 280-285. | 
| [8] | 柳波, 石佳欣, 付晓飞, 等. 陆相泥页岩层系岩相特征与页岩油富集条件: 以松辽盆地古龙凹陷白垩系青山口组一段富有机质泥页岩为例[J]. 石油勘探与开发, 2018, 45(5): 828-838. | 
| [9] | 柳波, 孙嘉慧, 张永清, 等. 松辽盆地长岭凹陷白垩系青山口组一段页岩油储集空间类型与富集模式[J]. 石油勘探与开发, 2021, 48(3): 521-535. | 
| [10] | 杨华, 牛小兵, 徐黎明, 等. 鄂尔多斯盆地三叠系长7段页岩油勘探潜力[J]. 石油勘探与开发, 2016, 43(4): 511-520. | 
| [11] | 付金华, 牛小兵, 淡卫东, 等. 鄂尔多斯盆地中生界延长组长7段页岩油地质特征及勘探开发进展[J]. 中国石油勘探, 2019, 24(5): 601-614. DOI | 
| [12] | 赵贤正, 周立宏, 蒲秀刚, 等. 陆相湖盆页岩层系基本地质特征与页岩油勘探突破: 以渤海湾盆地沧东凹陷古近系孔店组二段一亚段为例[J]. 石油勘探与开发, 2018, 45(3): 361-372. | 
| [13] | 赵贤正, 周立宏, 蒲秀刚, 等. 断陷湖盆湖相页岩油形成有利条件及富集特征: 以渤海湾盆地沧东凹陷孔店组二段为例[J]. 石油学报, 2019, 40(9): 1013-1029. DOI | 
| [14] | 蒲秀刚, 金凤鸣, 韩文中, 等. 陆相页岩油甜点地质特征与勘探关键技术: 以沧东凹陷孔店组二段为例[J]. 石油学报, 2019, 40(8): 997-1012. DOI | 
| [15] | 秦克章, 翟明国, 李光明, 等. 中国陆壳演化、 多块体拼合造山与特色成矿的关系[J]. 岩石学报, 2017, 33(2): 305-325. | 
| [16] | 郑孟林, 田爱军, 杨彤远, 等. 准噶尔盆地东部地区构造演化与油气聚集[J]. 石油与天然气地质, 2018, 39(5): 907-917. | 
| [17] | 李寅. 滦平盆地西瓜园组扇三角洲沉积体系构成及其特征[J]. 地球学报, 2003, 24(4): 353-356. | 
| [18] | 武法东, 陈永进, 侯宇安, 等. 滦平盆地沉积-构造演化及高精度层序地层特征[J]. 地球科学: 中国地质大学学报, 2004(5): 625-630. | 
| [19] | JIA H B, JI H C, YU J F, et al. Sediment supply control on the delivery of sediments to deep-lacustrine environment: a case study from Luanping Basin, Northern China[J]. Geological Journal, 2020, 55(5): 3679-3693. DOI URL | 
| [20] | DOU L X, HOU J G, SONG S H, et al. Sedimentary characteristics of hyperpycnites in a shallow lacustrine environment: a case study from the Lower Cretaceous Xiguayuan Formation, Luanping Basin, Northeast China[J]. Geological Journal, 2020, 55(5): 3344-3360. DOI URL | 
| [21] | 焦养泉, 武法东, 李思田, 等. 滦平盆地成岩作用过程及古热流体幕式运移事件分析[J]. 岩石学报, 2000, 16(4): 615-622. | 
| [22] | 袁晓冬, 姜在兴, 张元福, 等. 滦平盆地白垩系陆相页岩油储层特征[J]. 石油学报, 2020, 41(10): 1197-1208. DOI | 
| [23] | PAN S B, JIANG Z X, ZHANG Y F, et al. Geochemical characteristics of the lower Cretaceous Xiguayuan Formation mudrocks in the Luanping Basin, Northern China: implications for the hydrocarbon generation potential and sedimentary environments[J]. Marine and Petroleum Geology, 2021, 133: 105256. DOI URL | 
| [24] | ZHANG Y F, YUAN X D, WANG M, et al. Discovery of lacustrine shale deposits in the Yanshan Orogenic Belt, China: implications for hydrocarbon exploration[J]. Geoscience Frontiers, 2021, 12(6): 101256. DOI URL | 
| [25] | 崔盛芹, 李锦蓉, 孙家树. 华北陆块北缘构造运动序列及区域构造格局[M]. 北京: 地质出版社, 2000. | 
| [26] | 葛肖虹, 马文璞. 中国区域大地构造学教程[M]. 北京: 地质出版社, 2014: 1-466. | 
| [27] | 杨森楠, 杨巍然. 中国区域大地构造学[M]. 北京: 地质出版社, 1985: 1-341. | 
| [28] | 马丽芳. 中国地质图集[M]. 北京: 地质出版社, 2002. | 
| [29] | 李礼. 辽西朝阳盆地下白垩统九佛堂组油页岩高精度有机质富集机制研究[D]. 长春: 吉林大学, 2021. | 
| [30] | 郭洪中, 张招崇. 辽宁西部中生代火山岩的基本特征[J]. 岩石矿物学杂志, 1992, 11(3): 193-204. | 
| [31] | 郑亚东, DAVIS G A, 王琮, 等. 燕山带中生代主要构造事件与板块构造背景问题[J]. 地质学报, 2000. 74(4): 289-302. | 
| [32] | 王根厚, 张长厚, 王果胜, 等. 辽西地区中生代构造格局及其形成演化[J]. 现代地质, 2001, 15(1): 1-7. | 
| [33] | 杨庚, 郭华, 刘立. 辽西地区中生代盆地构造演化[J]. 铀矿地质, 2001, 17(6): 332-340. | 
| [34] | 马寅生, 崔盛芹, 曾庆利, 等. 燕山地区燕山期的挤压与伸展作用[J]. 地质通报, 2002, 21(增刊1): 218-223. | 
| [35] | 杨庚, 郭华. 辽西地区构造系统的形成与东北亚区域构造演化[J]. 铀矿地质, 2002, 18(4): 193-201. | 
| [36] | 张长厚, 王根厚, 王果胜, 等. 辽西地区燕山板内造山带东段中生代逆冲推覆构造[J]. 地质学报, 2002, 76(1): 64-76. | 
| [37] | 张立东, 郭胜哲, 张长捷, 等. 北票—义县地区义县组岩石地层特征[J]. 地质与资源, 2004, 13(2): 65-74. | 
| [38] | 陈登辉. 辽西早白垩世义县组湖相碳酸盐岩及其沉积环境研究[D]. 沈阳: 东北大学, 2010. | 
| [39] | 景山. 冀北—辽西地区早白垩世义县组沉积环境及其与盆地演化的关系[D]. 北京: 中国地质大学(北京), 2008. | 
| [40] | XU M, MIDDLETON M F, XUE L F, et al. Structure of the lithosphere and Mesozoic sedimentary basins in western Liaoning, northern Liaoning, and Songliao, northeast China[J]. International Geology Review, 2000, 42(3): 269-278. DOI URL | 
| [41] | REN J Y, TAMAKI K, LI S T, et al. Late Mesozoic and Cenozoic rifting and its dynamic setting in Eastern China and adjacent areas[J]. Tectonophysics, 2002, 344(3/4): 175-205. DOI URL | 
| [42] | TIAN Z Y, HAN P, XU K D. The Mesozoic-Cenozoic East China rift system[J]. Tectonophysics, 1992, 208(1/2/3): 341-363. DOI URL | 
| [43] | KLIMETZ M P. Speculations on the Mesozoic Plate tectonic evolution of Eastern China[J]. Tectonics, 1983, 2(2): 139-166. DOI URL | 
| [44] | GRAHAM S A, HENDRIX M S, JOHNSON C L, et al. Sedimentary record and tectonic implications of Mesozoic rifting in southeast Mongolia[J]. Geological Society of America Bulletin, 2001, 113(12): 1560-1579. DOI URL | 
| [45] | JIANG B Y, SHA J G. Late Mesozoic stratigraphy in western Liaoning, China: a review[J]. Journal of Asian Earth Sciences, 2006, 28(4/5/6): 205-217. DOI URL | 
| [46] | SHA J G. Cretaceous stratigraphy of northeast China: non-marine and marine correlation[J]. Cretaceous Research, 2007, 28(2): 146-170. DOI URL | 
| [47] | 王宇林, 郭强, 李喜海, 等. 辽西喀左盆地九佛堂组的划分及相关问题[J]. 地层学杂志, 2009, 33(2): 147-154. | 
| [48] | PAN Y H, SHA J G, ZHOU Z H, et al. The Jehol Biota: definition and distribution of exceptionally preserved relicts of a continental Early Cretaceous ecosystem[J]. Cretaceous Research, 2013, 44: 30-38. DOI URL | 
| [49] | 李晓波, 张艳, 仝亚博. 燕辽东段侏罗、 白垩纪构造转变期古地理和古环境的初步分析[J]. 地学前缘, 2021, 28(2): 391-411. DOI | 
| [50] | 魏翔宇. 辽西大红旗断陷及邻区侏罗系石油地质条件研究[D]. 长春: 吉林大学, 2017. | 
| [51] | 樊新杰. 金岭寺—羊山盆地石油地质条件分析与评价[D]. 阜新: 辽宁工程技术大学, 2004. | 
| [52] | 刘辉. 辽西及外围中生代山间盆地(群)盆地分析与评价[D]. 北京: 中国地质大学(北京), 2019. | 
| [53] | 许敏, 薛林福, 王东坡. 辽西地区中生代火山-沉积盆地群特征及成因机制[J]. 世界地质, 1997, 16(2): 35-39. | 
| [54] | 刘训. 对中国东部燕山运动的一些认识[J]. 地质论评, 1982, 28(5): 428-438, 507. | 
| [55] | 刘淼, 陈井胜, 孙守亮, 等. 辽西北票(金-羊)盆地北票组层序地层及沉积体系特征[J]. 地质通报, 2018, 37(9): 1755-1759. | 
| [56] | 孙守亮, 李永飞, 陈树旺, 等. 金羊盆地北票组沉积环境及烃源岩有机地球化学特征[J]. 世界地质, 2017, 36(3): 889-902. | 
| [57] | 甄甄, 李永飞, 郜晓勇, 等. 金羊盆地SZK01井下侏罗统北票组沉积相及其有机质特征[J]. 世界地质, 2016, 35(1): 207-215. | 
| [58] | 孙守亮, 李永飞, 郜晓勇, 等. 辽西金羊盆地下侏罗统北票组页岩气地球化学特征及其成因[J]. 地质通报, 2017, 36(4): 575-581. | 
| [59] | 闫义, 林舸, 李自安, 等. 辽西北票(金-羊)盆地中生代砂岩碎屑组分对区域构造演化的响应[J]. 沉积学报, 2003, 21(3): 441-447. | 
| [60] | 王威. 喀左盆地九佛堂组划分与沉积相分析[D]. 阜新: 辽宁工程技术大学, 2009. | 
| [61] | 王嗣敏, 臧东升, 王熙琼, 等. 辽西建昌盆地油页岩发育特征及沉积环境[J]. 吉林大学学报(地球科学版), 2020, 50(2): 326-340. | 
| [62] | 魏恒飞, 王宇林, 王威, 等. 喀左盆地九佛堂组沉积特征及演化研究[J]. 沉积学报, 2009, 27(2): 273-279. | 
| [63] | THOMPSON M D, HERMES O D. Ash-flow stratigraphy in the mattapanvolcanic complex, greater Boston, Massachusetts[J]. Geological Society of America Bulletin, 1990, 245: 85-96. | 
| [64] | 李永飞, 郜晓勇, 孙守亮, 等. 辽西金羊盆地北票组泥页岩有机地球化学特征: 以SZK01钻孔岩心为例[J]. 地质论评, 2015, 61(增刊1): 673-674. | 
| [65] | 赵群, 王红岩, 杨慎, 等. 中国东部中小型断陷盆地陆相页岩气成藏潜力分析: 以阜新盆地为例[J]. 天然气工业, 2018, 38(5): 26-33. | 
| [66] | 王宇林, 郭强, 肖乾华, 等. 喀左盆地下白垩统九佛堂组油页岩特征及控矿条件[J]. 吉林大学学报(地球科学版), 2009, 39(2): 211-216. | 
| [67] | 邹才能, 董大忠, 王玉满, 等. 中国页岩气特征、 挑战及前景(二)[J]. 石油勘探与开发, 2016, 43(2): 166-178. | 
| [68] | 邹才能, 赵群, 董大忠, 等. 页岩气基本特征、 主要挑战与未来前景[J]. 天然气地球科学, 2017, 28(12): 1781-1796. | 
| [69] | 赵文智, 李建忠, 杨涛, 等. 中国南方海相页岩气成藏差异性比较与意义[J]. 石油勘探与开发, 2016, 43(4): 499-510. | 
| [70] | 赵贤正, 朱洁琼, 张锐锋, 等. 冀中坳陷束鹿凹陷泥灰岩-砾岩致密油气成藏特征与勘探潜力[J]. 石油学报, 2014, 35(4): 613-622. DOI | 
| [71] | ZOU C N, PAN S Q, HORSFIELD B, et al. Oil retention and intrasource migration in the organic-rich lacustrine Chang 7 shale of the Upper Triassic Yanchang Formation, Ordos Basin, central China[J]. AAPG Bulletin, 2019, 103(11): 2627-2663. DOI URL | 
| [72] | KONG X X, JIANG Z X, HAN C, et al. The tight oil of lacustrine carbonate-rich rocks in the Eocene Shulu Sag: implications for lithofacies and reservoir characteristics[J]. Journal of Petroleum Science and Engineering, 2019, 175: 547-559. DOI URL | 
| [73] | KONG X X, JIANG Z X, HAN C, et al. Organic matter enrichment and hydrocarbon accumulation models of the marlstone in the Shulu Sag, Bohai Bay Basin, Northern China[J]. International Journal of Coal Geology, 2020, 217: 103350. DOI URL | 
| [74] | JARVIE D M. Shale resource systems for oil and gas: part 2-shale-oil resource systems[M]//BREYER J A. Shale reservoirs -giant resources for the 21st century: AAPG Memoir 97. 2012: 89-119. | 
| [75] | 杨智, 侯连华, 陶士振, 等. 致密油与页岩油形成条件与“甜点区”评价[J]. 石油勘探与开发, 2015, 42(5): 555-565. | 
| [76] | APLIN A C, MACQUAKER J H S. Mudstone diversity: origin and implications for source, seal, and reservoir properties in petroleum systems[J]. AAPG Bulletin, 2011, 95(12): 2031-2059. DOI URL | 
| [77] | 孔祥鑫. 湖相含碳酸盐细粒沉积岩特征、 成因与油气聚集[D]. 北京: 中国地质大学(北京), 2020. | 
| [78] | 赵文智, 朱如凯, 胡素云, 等. 陆相富有机质页岩与泥岩的成藏差异及其在页岩油评价中的意义[J]. 石油勘探与开发, 2020, 47(6): 1079-1089. | 
| [79] | 姜在兴, 孔祥鑫, 杨叶芃, 等. 陆相碳酸盐质细粒沉积岩及油气甜点多源成因[J]. 石油勘探与开发, 2021, 48(1): 26-37. | 
| [80] | 姜在兴, 梁超, 吴靖, 等. 含油气细粒沉积岩研究的几个问题[J]. 石油学报, 2013, 34(6): 1031-1039. DOI | 
| [81] | WRIGHT V P. Lacustrine carbonates in rift settings: the interaction of volcanic and microbial processes on carbonate deposition[J]. Geological Society, London, Special Publications, 2012, 370(1): 39-47. DOI URL | 
| [82] | GIERLOWSKI-KORDESCH E H. Lacustrine carbonates[C]//ALONSO- ZARZA A M, TANNER L H. Carbonates in continental settings:facies, environments, and processes. Amsterdam: Elsevier, 2010. | 
| [83] | VALERO GARCÉS B L. Lacustrine deposition and related volcanism in a transtensional tectonic setting: upper Stephanian-Lower Autunian in the Aragón-Béarn Basin, western Pyrenees (Spain-France)[J]. Sedimentary Geology, 1993, 83(1/2): 133-160. DOI URL | 
| [84] | KELTS K, TALBOT M. Lacustrine carbonates as geochemical archives of environmental change and biotic/abiotic interactions[M]//Large Lakes. Berlin, Heidelberg: Springer Berlin Heidelberg, 1990: 288-315. | 
| [85] | KONG X X, JIANG Z X, HAN C, et al. Genesis and implications of the composition and sedimentary structure of fine-grained carbonate rocks in the Shulu sag[J]. Journal of Earth Science, 2017, 28(6): 1047-1063. DOI URL | 
| [86] | DEMUYNCK W, DE BELIE N, VERSTRAETE W. Microbial carbonate precipitation in construction materials: a review[J]. Ecological Engineering, 2010, 36(2): 118-136. DOI URL | 
| [87] | DITTRICH M, MÜLLER B, MAVROCORDATOS D, et al. Induced calcite precipitation by Cyanobacterium Synechococcus[J]. Acta Hydrochimica et Hydrobiologica, 2003, 31(2): 162-169. DOI URL | 
| [88] | ZHANG F F, XU H F, KONISHI H, et al. Dissolved sulfide-catalyzed precipitation of disordered dolomite: implications for the formation mechanism of sedimentary dolomite[J]. Geochimica et Cosmochimica Acta, 2012, 97: 148-165. DOI URL | 
| [89] | DUPRAZ C, REID R P, BRAISSANT O, et al. Processes of carbonate precipitation in modern microbial mats[J]. Earth-Science Reviews, 2009, 96(3): 141-162. DOI URL | 
| [90] | DITTRICH M, KURZ P, WEHRLI B. The role of autotrophic picocyanobacteria in calcite precipitation in an oligotrophic lake[J]. Geomicrobiology Journal, 2004, 21(1): 45-53. DOI URL | 
| [91] | 蒋宜勤, 柳益群, 杨召, 等. 准噶尔盆地吉木萨尔凹陷凝灰岩型致密油特征与成因[J]. 石油勘探与开发, 2015, 42(6): 741-749. | 
| [92] | 柳益群, 焦鑫, 李红, 等. 新疆三塘湖跃进沟二叠系地幔热液喷流型原生白云岩[J]. 中国科学: 地球科学, 2011, 41(12): 1862-1871. | 
| [93] | 文华国, 郑荣才, QING H R, 等. 青藏高原北缘酒泉盆地青西凹陷白垩系湖相热水沉积原生白云岩[J]. 中国科学: 地球科学, 2014, 44(4): 591-604. | 
| [94] | DUGGEN S, OLGUN N, CROOT P, et al. The role of airborne volcanic ash for the surface ocean biogeochemical iron-cycle: a review[J]. Biogeosciences, 2010, 7(3): 827-844. DOI URL | 
| [95] | 李登华, 李建忠, 黄金亮, 等. 火山灰对页岩油气成藏的重要作用及其启示[J]. 天然气工业, 2014, 34(5): 56-65. | 
| [96] | ZHANG W Z, YANG W W, XIE L Q. Controls on organic matter accumulation in the Triassic Chang 7 lacustrine shale of the Ordos Basin, central China[J]. International Journal of Coal Geology, 2017, 183: 38-51. DOI URL | 
| [97] | ZHOU L, ALGEO T J, FENG L P, et al. Relationship of pyroclastic volcanism and lake-water acidification to Jehol Biota mass mortality events (Early Cretaceous, northeastern China)[J]. Chemical Geology, 2016, 428: 59-76. DOI URL | 
| [98] | 王书荣, 宋到福, 何登发. 三塘湖盆地火山灰对沉积有机质的富集效应及凝灰质烃源岩发育模式[J]. 石油学报, 2013, 34(6): 1077-1087. DOI | 
| [99] | 周中毅, 盛国英, 闵育顺. 凝灰质岩生油岩的有机地球化学初步研究[J]. 沉积学报, 1989, 7(3): 3-9. | 
| [100] | 张文正, 杨华, 彭平安, 等. 晚三叠世火山活动对鄂尔多斯盆地长7优质烃源岩发育的影响[J]. 地球化学, 2009, 38(6): 573-582. | 
| [101] | 曲长胜, 邱隆伟, 杨勇强, 等. 准噶尔盆地吉木萨尔凹陷二叠系芦草沟组火山活动的环境响应[J]. 地震地质, 2019, 41(3): 789-802. | 
| [102] | FROGNER P, GÍSLASON S R, ÓSKARSSON N. Fertilizing potential of volcanic ash in ocean surface water[J]. Geology, 2001, 29(6): 487-490. DOI URL | 
| [103] | COALE K H, FITZWATER S E, GORDON R M, et al. Control of community growth and export production by upwelled iron in the equatorial Pacific Ocean[J]. Nature, 1996, 379(6566): 621-624. DOI URL | 
| [104] | GEIDER R J. Complex lessons of iron uptake[J]. Nature, 1999, 400(6747): 815-816. DOI URL | 
| [105] | TAKEDA S. Influence of iron availability on nutrient consumption ratio of diatoms in oceanic waters[J]. Nature, 1998, 393(6687): 774-777. DOI URL | 
| [106] | 姚波, 席北斗, 胡春明, 等. 铁限制对浮游植物生长和群落组成的影响研究综述[J]. 生态环境学报, 2010, 19(2): 459-465. | 
| [107] | 鲍亦冈, 白志民, 葛世炜, 等. 北京燕山期火山地质及火山岩[M], 北京: 地质出版社, 1995, 46. | 
| [108] | 邵济安, 牟保磊, 张履桥. 华北东部中生代构造格局转换过程中的深部作用与浅部响应[J]. 地质论评, 2000, 46(1): 32-40. | 
| [109] | 刘少峰, 李忠, 张金芳. 燕山地区中生代盆地演化及构造体制[J]. 中国科学D辑: 地球科学, 2004, 34(增刊1): 19-31. | 
| [110] | 李伍平, 李献华. 燕山造山带中段中晚侏罗世中酸性火山岩的成因及其意义[J]. 岩石学报, 2004, 20(3): 501-510. | 
| [111] | Su N, Zhu G, Liu C, et al. Alternation of back-arc extension and compression in an overriding plate: evidence from Cretaceous structures in the western Liaoning region, eastern China[J]. International Journal of Earth Sciences, 2020, 109(2): 707-727. DOI URL | 
| [112] | Suo Y H, Li S Z, Cao X Z, et al. Mesozoic-Cenozoic basin inversion and geodynamics in East China: a review[J]. Earth-Science Reviews, 2020, 210: 103357. DOI URL | 
| [113] | WOHLETZ K H, SHERIDAN M F. Hydrovolcanic explosions; II, Evolution of basaltic tuff rings and tuff cones[J]. AmericanJournal of Science, 1983, 283(5): 385-413. | 
| [114] | KOKELAAR P, BUSBY C. Subaqueous explosive eruption and welding of pyroclastic deposits[J]. Science, 1992, 257(5067): 196-201. PMID | 
| [115] | WHITE J D L. Subaqueous eruption-fed density currents and their deposits[J]. Precambrian Research, 2000, 101(2/3/4): 87-109. DOI URL | 
| [116] | GAO R H, LASSITER J C, BARNES J D, et al. Geochemical investigation of Gabbroic Xenoliths from Hualalai Volcano: implications for lower oceanic crust accretion and Hualalai Volcano magma storage system[J]. Earth and Planetary Science Letters, 2016, 442: 162-172. DOI URL | 
| [117] | 焦鑫, 柳益群, 杨晚, 等. 水下火山喷发沉积特征研究进展[J]. 地球科学进展, 2017, 32(9): 926-936. DOI | 
| [118] | 温志新, 童晓光, 张光亚, 等. 全球板块构造演化过程中五大成盆期原型盆地的形成、 改造及叠加过程[J]. 地学前缘, 2014, 21(3): 26-37. DOI | 
| [119] | 何登发, 贾承造, 童晓光, 等. 叠合盆地概念辨析[J]. 石油勘探与开发, 2004, 31(01): 1-7. | 
| [120] | 何登发, 李德生, 王成善, 等. 中国沉积盆地深层构造地质学的研究进展与展望[J]. 地学前缘, 2017, 24(3): 219-233. DOI | 
| [121] | YANG F L, ZHOU X F, PENG Y X, et al. Evolution of Neoproterozoic basins within the Yangtze Craton and its significance for oil and gas exploration in South China: an overview[J]. Precambrian Research, 2020, 337: 105563. DOI URL | 
| [122] | 陈发景, 汪新文. 中国西北地区早—中侏罗世盆地原型分析[J]. 地学前缘, 2000, 7(4): 459-469. | 
| [123] | 陈发景, 汪新文, 汪新伟. 准噶尔盆地的原型和构造演化[J]. 地学前缘, 2005, 12(3): 77-89. | 
| [124] | 吴智平, 李凌, 李伟, 等. 胶莱盆地莱阳期原型盆地的沉积格局及有利油气勘探区选择[J]. 大地构造与成矿学, 2004, 28(3): 330-337. | 
| [125] | 赵俊青, 夏斌, 纪友亮, 等. 临清坳陷西部侏罗纪—晚白垩世原型盆地恢复[J]. 石油勘探与开发, 2005, 32(3): 15-22. | 
| [126] | 琚宜文, 孙盈, 王国昌, 等. 盆地形成与演化的动力学类型及其地球动力学机制[J]. 地质科学, 2015, 50(2): 503-523. | 
| [127] | 杨旭. 巴彦呼舒凹陷原型盆地恢复及构造演化[J]. 大庆石油地质与开发, 2020, 39(1): 18-25. | 
| [128] | 冯乔, 付锁堂, 张小莉, 等. 柴达木盆地及邻区侏罗纪原型盆地恢复及油气勘探前景[J]. 地学前缘, 2019, 26(1): 44-58. DOI | 
| [129] | 张光亚, 温志新, 刘小兵, 等. 全球原型盆地演化与油气分布[J]. 石油学报, 2020, 41(12): 1538-1554. DOI | 
| [130] | 高华华, 何登发, 童晓光, 等. 塔里木盆地晚奥陶世构造-沉积环境与原型盆地演化[J]. 地学前缘, 2017, 24(5): 350-367. DOI | 
| [131] | FENG H W, XU S M, ZHANG X D, et al. The Jurassic Basin prototypes and episodic sedimentary characteristics of the Hongshan Sag in the eastern segment of the Northern Qaidam Basin, NW China[J]. Geological Journal, 2017, 52: 365-379. DOI URL | 
| [132] | 李英强, 何登发. 四川盆地及邻区早侏罗世构造-沉积环境与原型盆地演化[J]. 石油学报, 2014, 35(2): 219-232. DOI | 
| [133] | 姜在兴, 刘晖. 古湖岸线的识别及其对砂体和油气的控制[J]. 古地理学报, 2010, 12(5): 589-598. | 
| [134] | 朱大岗, 吴珍汉, 崔盛芹, 等. 燕山地区中生代岩浆活动特征及其与陆内造山作用关系[J]. 地质论评, 1999, 45(2): 163-172. | 
| [135] | DAVIS G A, ZHENG Y D, WANG C, et al. Mesozoic tectonic evolution of the Yanshan fold and thrust belt, with emphasis on Hebei and Liaoning provinces, Northern China[J]. Paleozoic and Mesozoic Tectonic Evolution of Central and Eastern Asia, 2001, 194: 171. | 
| [136] | ZHANG C H, WU G G, WANG G H, et al. Northwest trending tectonic belt in the middle Yanshan Orogenic Belt of northeast Hebei Province, North China: tectonic evolution and geochronology[J]. Science in China Series D: Earth Sciences, 2004, 47(10): 896-911. DOI URL | 
| [137] | 林少泽, 朱光, 赵田, 等. 燕山构造带北部喀喇沁地区晚古生代—中生代岩浆活动的构造背景分析[J]. 地质科学, 2015, 50(1): 30-49. | 
| [138] | LI C M, ZHANG C H, COPE T D, et al. Out-of-sequence thrusting in polycyclic thrust belts: an example from the Mesozoic Yanshan belt, North China Craton[J]. Tectonics, 2016, 35(9): 2082-2116. DOI URL | 
| [139] | SHI X F, LIU S F, LIN C F. Growth structures and growth strata of the Qianjiadian Basin in the western Yanshan fold and thrust belt, North China[J]. Science China Earth Sciences, 2019, 62(7): 1092-1109. DOI URL | 
| [140] | 林成发. 华北燕山褶皱-逆冲带西段侏罗纪沉积盆地演化及区域构造意义[D]. 北京: 中国地质大学(北京), 2019. | 
| [141] | 印森林, 谭媛元, 张磊, 等. 基于无人机倾斜摄影的三维露头地质建模: 以山西吕梁市坪头乡剖面为例[J]. 古地理学报, 2018, 20(5): 909-924. | 
| [142] | VISERAS C, HENARES S, YESTE L M, et al. Reconstructing the architecture of ancient meander belts by compiling outcrop and subsurface data: a triassic example[J]. International Association of Sedimentologists, Special Publications, 2018, 48: 419-444. | 
| [143] | YESTE L M, VARELA A N, VISERAS C, et al. Reservoir architecture and heterogeneity distribution in floodplain sandstones: key features in outcrop, core and wireline logs[J]. Sedimentology, 2020, 67(7): 3355-3388. DOI URL | 
| [1] | KUANG Mingzhi, LI Yifan, FAN Tailiang, ZHANG Tan, LIU Wangwei, LIU Nan. Application of high-precision sequence stratigraphy in marine fine-grained sedimentary rocks: A case study of the Doushantuo Formation in northern Sichuan [J]. Earth Science Frontiers, 2023, 30(4): 164-181. | 
| [2] | ZHAI Yonghe, HE Dengfa, KAI Baize. Tectono-depositional environment and prototype basin evolution in the Ordos Basin during the Early Permian [J]. Earth Science Frontiers, 2023, 30(2): 139-153. | 
| [3] | LIU Chiyang, HUANG Lei, ZHAO Junfeng, WANG Jianqiang, ZHANG Dongdong, ZHAO Hongge, SHAO Deyong, LIU Weishuai. Hydrocarbon occurrence and accumulation processes in reformed basins—theories outline [J]. Earth Science Frontiers, 2022, 29(6): 84-108. | 
| [4] | LI Xiaobo, ZHANG Yan, TONG Yabo. Preliminary analysis on the paleogeography and paleoenvironment in the eastern Yanliao area during the Jurassic-Cretaceous tectonic transition [J]. Earth Science Frontiers, 2021, 28(2): 391-411. | 
| [5] | RUAN Zhuang, LUO Zhong, YU Bingsong, LU Yuanzheng, XIE Haochen, YANG Zhihui. Middle-Late Triassic basin prototype and tectonic paleographic response in the Ordos Basin [J]. Earth Science Frontiers, 2021, 28(1): 12-21. | 
| [6] | SHEN Junfeng, LI Shengrong, XU Kexin, WANG Yehan, ZHANG Shiquan, XU Yuanquan, HE Zeyu, CHI Lei, WU Jinchao. Uplifting and denudation of the Chifeng-Chaoyang gold ore zone in western Liaoning Province since the Early Cretaceous and the implication [J]. Earth Science Frontiers, 2020, 27(5): 151-170. | 
| [7] | WEN Zhixin,WU Yadong,BIAN Haiguang,WANG Zhaoming,HE Zhengjun,SONG Chengpeng. Variations in basin architecture and accumulation of giant oil and gas fields along the passive continent margins of the South Atlantic. [J]. Earth Science Frontiers, 2018, 25(4): 132-141. | 
| [8] | SONG Li-Jun, LIU Che-Yang, DIAO Gong-Ge, WANG Jian-Jiang. An analysis of prototype basin Period and its genetic mechanism of Huangqikou Period and Wangquankou Period, Southwest Ordos Basin. [J]. Earth Science Frontiers, 2016, 23(5): 221-234. | 
| [9] | LI Jun-Liang, XIAO Yong-Jun, WANG Da-Hua, LIN Wu. Jurassic prototype basin reconstruction in east part of Qaidam Basin. [J]. Earth Science Frontiers, 2016, 23(5): 11-22. | 
| [10] | ZHOU Yao-Qi, ZHANG Zhen-Kai, LIANG Wen-Dong, LI Su, YUE Hui-Wen. Late Mesozoic tectonomagmatic activities and prototype basin restoration in Eastern Shandong Province, China [J]. Earth Science Frontiers, 2015, 22(1): 137-156. | 
| Viewed | ||||||
| Full text |  | |||||
| Abstract |  | |||||