

Earth Science Frontiers ›› 2021, Vol. 28 ›› Issue (2): 305-319.DOI: 10.13745/j.esf.sf.2020.6.27
Previous Articles Next Articles
SONG Yingxin1(
), LI Shengrong2,*(
), SHEN Junfeng2, ZHANG Long3, LI Wentao4, ZENG Yongjie5
Received:2019-01-01
Revised:2020-02-16
Online:2021-03-25
Published:2021-04-03
Contact:
LI Shengrong
CLC Number:
SONG Yingxin, LI Shengrong, SHEN Junfeng, ZHANG Long, LI Wentao, ZENG Yongjie. Characteristics and prospecting significance of thermoluminescence patterns and cell parameters of quartz from the undersea gold deposit off northern Sanshandao, Jiaodong Peninsula[J]. Earth Science Frontiers, 2021, 28(2): 305-319.
Fig.2 (a) Bedrock geological sketch map of the Sanshandao gold deposit area and (b) geological sketch map of the mining district of theundersea gold deposit off northern Sanshandao. Adapted from [18].
Fig.3 Combined geological sections along exploratory lines (a) and geological sections along No.32 exploratory line (b) of the undersea gold deposit off northern Sanshandao. Adapted from [22].
| 样品编号 | 采样 标高/m | 矿物组合 | 阶段 划分 | 峰型 | 峰位 温度/℃ | 半峰宽的 强度/s-1 | 发光 强度/s-1 | 发光 总强度/s-1 | 金品位 w(Au)/10-6 |
|---|---|---|---|---|---|---|---|---|---|
| s3204-1107 | -1 107 | Qtz、Ser、Py | Ⅰ | 肩峰 | 285 | 70 | 380 | 29 556 | 0.05 |
| s3204-1112 | -1 112 | Qtz、Pl、Kfs、Ser、Py、Ccp | Ⅲ | 单峰 | 272 | 60 | 1 130 | 75 334 | 0.15 |
| s3204-1115 | -1 115 | Qtz、Pl、Kfs、Ser、Py | Ⅱ | 肩峰 | 277 | 55 | 770 | 47 056 | 0.38 |
| s3207-1417 | -1 417 | Qtz、Ser、Py | Ⅱ | 单峰 | 277 | 60 | 610 | 40 667 | 2.73 |
| s3208-1468 | -1 468 | Qtz、Ser、Py | Ⅱ | 单峰 | 277 | 55 | 1 300 | 79 445 | 0.8 |
| s3208-1478 | -1 478 | Qtz、Ser、Py | Ⅱ | 肩峰 | 275 | 50 | 235 | 13 055 | 0.45 |
| s3208-1480 | -1 480 | Qtz、Ser、Py | Ⅱ | 单峰 | 283 | 60 | 1 460 | 97 335 | 3.9 |
| s3208-1551 | -1 551 | Qtz、Pl、Kfs、Ser、Py | Ⅱ | 肩峰 | 287 | 60 | 200 | 13 333 | 1.58 |
| s3210-76 | -76 | Qtz、Pl、Kfs、Ser、Py | Ⅱ | 单峰 | 240 | 45 | 310 | 15 500 | 0.2 |
| s3210-1076 | -1 076 | Qtz、Pl、Kfs、Ser、Py | Ⅱ | 双峰 | 248 | 45 | 550 | 27 500 | 5.96 |
| 310 | 100 | 740 | 82 223 | 5.96 | |||||
| s3210-1504 | -1 504 | Qtz、Pl、Kfs、Ser、Py | Ⅰ | 单峰 | 290 | 70 | 560 | 43 556 | 0.05 |
| s3210-1533 | -1 533 | Qtz、Pl、Kfs、Ser、Py、Po | Ⅲ | 单峰 | 275 | 90 | 1 320 | 132 002 | 0.7 |
| s3210-1723 | -1 723 | Qtz、Ser、Py | Ⅱ | 单峰 | 283 | 55 | 470 | 28 722 | 3.05 |
| s3210-1745 | -1 745 | Qtz、Py | Ⅱ | 肩峰 | 300 | 80 | 150 | 10 000 | 0.32 |
| s3210-1771 | -1 771 | Qtz、Py、Cal、Ves | Ⅳ | 无峰 | — | — | — | — | — |
| s3211-241 | -241 | Qtz、Ser、Py、Gn、Sp | Ⅲ | 肩峰 | 277 | 75 | 300 | 25 000 | 0.55 |
| s3213-873 | -873 | Qtz、Ser、Py | Ⅱ | 单峰 | 270 | 70 | 1 350 | 105 001 | 0.3 |
| s3214-672 | -672 | Qtz、Py、Gn、Sp | Ⅲ | 单峰 | 275 | 85 | 360 | 34 000 | 0.5 |
| s3214-700 | -700 | Qtz、Pl、Kfs、Ser、Py | Ⅱ | 单峰 | 278 | 70 | 395 | 30 722 | 1.38 |
Table 1 Characteristics of thermoluminescence parameters for quartz from the undersea gold deposit off northern Sanshandao
| 样品编号 | 采样 标高/m | 矿物组合 | 阶段 划分 | 峰型 | 峰位 温度/℃ | 半峰宽的 强度/s-1 | 发光 强度/s-1 | 发光 总强度/s-1 | 金品位 w(Au)/10-6 |
|---|---|---|---|---|---|---|---|---|---|
| s3204-1107 | -1 107 | Qtz、Ser、Py | Ⅰ | 肩峰 | 285 | 70 | 380 | 29 556 | 0.05 |
| s3204-1112 | -1 112 | Qtz、Pl、Kfs、Ser、Py、Ccp | Ⅲ | 单峰 | 272 | 60 | 1 130 | 75 334 | 0.15 |
| s3204-1115 | -1 115 | Qtz、Pl、Kfs、Ser、Py | Ⅱ | 肩峰 | 277 | 55 | 770 | 47 056 | 0.38 |
| s3207-1417 | -1 417 | Qtz、Ser、Py | Ⅱ | 单峰 | 277 | 60 | 610 | 40 667 | 2.73 |
| s3208-1468 | -1 468 | Qtz、Ser、Py | Ⅱ | 单峰 | 277 | 55 | 1 300 | 79 445 | 0.8 |
| s3208-1478 | -1 478 | Qtz、Ser、Py | Ⅱ | 肩峰 | 275 | 50 | 235 | 13 055 | 0.45 |
| s3208-1480 | -1 480 | Qtz、Ser、Py | Ⅱ | 单峰 | 283 | 60 | 1 460 | 97 335 | 3.9 |
| s3208-1551 | -1 551 | Qtz、Pl、Kfs、Ser、Py | Ⅱ | 肩峰 | 287 | 60 | 200 | 13 333 | 1.58 |
| s3210-76 | -76 | Qtz、Pl、Kfs、Ser、Py | Ⅱ | 单峰 | 240 | 45 | 310 | 15 500 | 0.2 |
| s3210-1076 | -1 076 | Qtz、Pl、Kfs、Ser、Py | Ⅱ | 双峰 | 248 | 45 | 550 | 27 500 | 5.96 |
| 310 | 100 | 740 | 82 223 | 5.96 | |||||
| s3210-1504 | -1 504 | Qtz、Pl、Kfs、Ser、Py | Ⅰ | 单峰 | 290 | 70 | 560 | 43 556 | 0.05 |
| s3210-1533 | -1 533 | Qtz、Pl、Kfs、Ser、Py、Po | Ⅲ | 单峰 | 275 | 90 | 1 320 | 132 002 | 0.7 |
| s3210-1723 | -1 723 | Qtz、Ser、Py | Ⅱ | 单峰 | 283 | 55 | 470 | 28 722 | 3.05 |
| s3210-1745 | -1 745 | Qtz、Py | Ⅱ | 肩峰 | 300 | 80 | 150 | 10 000 | 0.32 |
| s3210-1771 | -1 771 | Qtz、Py、Cal、Ves | Ⅳ | 无峰 | — | — | — | — | — |
| s3211-241 | -241 | Qtz、Ser、Py、Gn、Sp | Ⅲ | 肩峰 | 277 | 75 | 300 | 25 000 | 0.55 |
| s3213-873 | -873 | Qtz、Ser、Py | Ⅱ | 单峰 | 270 | 70 | 1 350 | 105 001 | 0.3 |
| s3214-672 | -672 | Qtz、Py、Gn、Sp | Ⅲ | 单峰 | 275 | 85 | 360 | 34 000 | 0.5 |
| s3214-700 | -700 | Qtz、Pl、Kfs、Ser、Py | Ⅱ | 单峰 | 278 | 70 | 395 | 30 722 | 1.38 |
| 峰型 | 数量 | 峰号 | 峰温/℃ | 半峰宽的强度/s-1 | 发光强度/s-1 | 发光总强度/s-1 |
|---|---|---|---|---|---|---|
| 单峰 | 11 | — | 240~290 | 45~90 | 330~1 460 | 15 500~132 002 |
| 肩峰 | 6 | — | 275~300 | 50~80 | 150~770 | 10 000~47 056 |
| 无峰 | 1 | — | — | — | — | — |
| 双峰 | 1 | 1 | 248 | 45 | 550 | 27 500 |
| 2 | 310 | 100 | 740 | 82 223 |
Table 2 Thermoluminescence curve parameters with different peak types for the undersea gold deposit off northern Sanshandao
| 峰型 | 数量 | 峰号 | 峰温/℃ | 半峰宽的强度/s-1 | 发光强度/s-1 | 发光总强度/s-1 |
|---|---|---|---|---|---|---|
| 单峰 | 11 | — | 240~290 | 45~90 | 330~1 460 | 15 500~132 002 |
| 肩峰 | 6 | — | 275~300 | 50~80 | 150~770 | 10 000~47 056 |
| 无峰 | 1 | — | — | — | — | — |
| 双峰 | 1 | 1 | 248 | 45 | 550 | 27 500 |
| 2 | 310 | 100 | 740 | 82 223 |
| 产地 | 样品号 | 标高/m | 成矿阶段 | a0/ | c0/ | c0/a0 | V0/ | Δa0/ | Δc0/ | (Δa0/a0)/(Δc0/c0) | 金品位w(Au)/10-6 |
|---|---|---|---|---|---|---|---|---|---|---|---|
| s3204-1112 | -1 112 | Ⅲ | 4.917 6 | 5.409 3 | 1.099 99 | 113.29 | 0.000 7 | 0.000 3 | 2.566 64 | 0.15 | |
| s3204-1115 | -1 115 | Ⅱ | 4.918 9 | 5.410 2 | 1.099 88 | 113.36 | 0.000 5 | 0.000 2 | 2.749 70 | 0.38 | |
| s3207-1417 | -1 417 | Ⅱ | 4.92 | 5.412 1 | 1.100 02 | 113.46 | 0.000 3 | 0.000 1 | 3.300 06 | 2.73 | |
| s3208-1468 | -1 468 | Ⅱ | 4.919 2 | 5.413 6 | 1.100 50 | 113.45 | 0.000 4 | 0.000 2 | 2.201 01 | 0.8 | |
| s3208-1478 | -1 478 | Ⅱ | 4.922 2 | 5.414 4 | 1.099 99 | 113.6 | 0.000 7 | 0.000 4 | 1.924 99 | 0.45 | |
| s3208-1480 | -1 480 | Ⅱ | 4.915 3 | 5.409 7 | 1.100 58 | 113.19 | 0.000 8 | 0.000 4 | 2.201 17 | 3.9 | |
| 三山岛 | s3208-1483 | -1 483 | Ⅲ | 4.919 | 5.409 2 | 1.099 65 | 113.35 | 0.000 7 | 0.000 3 | 2.565 86 | 0.5 |
| 北部海域 | s3210-1076 | -1 076 | Ⅱ | 4.916 7 | 5.409 9 | 1.100 31 | 113.26 | 0.000 6 | 0.000 3 | 2.200 62 | 5.96 |
| (本文) | s3210-1504 | -1 504 | Ⅰ | 4.915 1 | 5.409 2 | 1.100 53 | 113.28 | 0.000 4 | 0.000 2 | 2.199 22 | 0.05 |
| s3210-1533 | -1 533 | Ⅲ | 4.917 7 | 5.408 6 | 1.099 82 | 113.28 | 0.000 5 | 0.000 2 | 2.749 56 | 0.7 | |
| s3210-1723 | -1 723 | Ⅱ | 4.915 6 | 5.410 1 | 1.100 60 | 113.21 | 0.000 8 | 0.000 4 | 2.201 19 | 3.05 | |
| s3210-1745 | -1 745 | Ⅱ | 4.921 3 | 5.412 | 1.099 71 | 113.52 | 0.000 4 | 0.000 2 | 2.199 42 | 0.32 | |
| s3211-241 | -241 | Ⅲ | 4.918 7 | 5.411 7 | 1.100 23 | 113.39 | 0.000 6 | 0.000 3 | 2.200 46 | 0.55 | |
| s3213-873 | -873 | Ⅲ | 4.918 7 | 5.411 2 | 1.100 13 | 113.38 | 0.000 5 | 0.000 2 | 2.750 32 | 0.5 | |
| s3214-672 | -672 | Ⅱ | 4.919 2 | 5.411 2 | 1.100 02 | 113.38 | 0.000 5 | 0.000 2 | 2.750 32 | 0.3 | |
| s3214-700 | -700 | Ⅱ | 4.918 7 | 5.406 6 | 1.099 19 | 113.11 | 0.000 9 | 0.000 4 | 2.475 00 | 1.38 | |
| I-Q8-001 | -70 | Ⅱ | 4.916 4 | 5.407 4 | 1.099 87 | 113.19 | |||||
| I-Q8-010 | Ⅱ | 4.920 3 | 5.208 5 | 1.058 57 | 113.39 | ||||||
| 三山岛 | I-3-005 | Ⅲ | 4.915 8 | 5.409 3 | 1.100 39 | 113.21 | |||||
| (陈光远等[ | I-Q7-Y | Ⅲ | 4.916 4 | 5.409 9 | 1.100 38 | 113.24 | |||||
| I-Q8-011 | 4.917 3 | 5.409 | 1.099 99 | 113.27 | |||||||
| I-QS-015 | 4.915 1 | 5.406 8 | 1.100 04 | 113.12 | |||||||
| I-QS-017 | 4.918 9 | 5.409 2 | 1.099 68 | 113.35 |
Table 3 Measurements of quartz cell parameters for different metallogenic stages in the undersea gold deposit off northern Sanshandao
| 产地 | 样品号 | 标高/m | 成矿阶段 | a0/ | c0/ | c0/a0 | V0/ | Δa0/ | Δc0/ | (Δa0/a0)/(Δc0/c0) | 金品位w(Au)/10-6 |
|---|---|---|---|---|---|---|---|---|---|---|---|
| s3204-1112 | -1 112 | Ⅲ | 4.917 6 | 5.409 3 | 1.099 99 | 113.29 | 0.000 7 | 0.000 3 | 2.566 64 | 0.15 | |
| s3204-1115 | -1 115 | Ⅱ | 4.918 9 | 5.410 2 | 1.099 88 | 113.36 | 0.000 5 | 0.000 2 | 2.749 70 | 0.38 | |
| s3207-1417 | -1 417 | Ⅱ | 4.92 | 5.412 1 | 1.100 02 | 113.46 | 0.000 3 | 0.000 1 | 3.300 06 | 2.73 | |
| s3208-1468 | -1 468 | Ⅱ | 4.919 2 | 5.413 6 | 1.100 50 | 113.45 | 0.000 4 | 0.000 2 | 2.201 01 | 0.8 | |
| s3208-1478 | -1 478 | Ⅱ | 4.922 2 | 5.414 4 | 1.099 99 | 113.6 | 0.000 7 | 0.000 4 | 1.924 99 | 0.45 | |
| s3208-1480 | -1 480 | Ⅱ | 4.915 3 | 5.409 7 | 1.100 58 | 113.19 | 0.000 8 | 0.000 4 | 2.201 17 | 3.9 | |
| 三山岛 | s3208-1483 | -1 483 | Ⅲ | 4.919 | 5.409 2 | 1.099 65 | 113.35 | 0.000 7 | 0.000 3 | 2.565 86 | 0.5 |
| 北部海域 | s3210-1076 | -1 076 | Ⅱ | 4.916 7 | 5.409 9 | 1.100 31 | 113.26 | 0.000 6 | 0.000 3 | 2.200 62 | 5.96 |
| (本文) | s3210-1504 | -1 504 | Ⅰ | 4.915 1 | 5.409 2 | 1.100 53 | 113.28 | 0.000 4 | 0.000 2 | 2.199 22 | 0.05 |
| s3210-1533 | -1 533 | Ⅲ | 4.917 7 | 5.408 6 | 1.099 82 | 113.28 | 0.000 5 | 0.000 2 | 2.749 56 | 0.7 | |
| s3210-1723 | -1 723 | Ⅱ | 4.915 6 | 5.410 1 | 1.100 60 | 113.21 | 0.000 8 | 0.000 4 | 2.201 19 | 3.05 | |
| s3210-1745 | -1 745 | Ⅱ | 4.921 3 | 5.412 | 1.099 71 | 113.52 | 0.000 4 | 0.000 2 | 2.199 42 | 0.32 | |
| s3211-241 | -241 | Ⅲ | 4.918 7 | 5.411 7 | 1.100 23 | 113.39 | 0.000 6 | 0.000 3 | 2.200 46 | 0.55 | |
| s3213-873 | -873 | Ⅲ | 4.918 7 | 5.411 2 | 1.100 13 | 113.38 | 0.000 5 | 0.000 2 | 2.750 32 | 0.5 | |
| s3214-672 | -672 | Ⅱ | 4.919 2 | 5.411 2 | 1.100 02 | 113.38 | 0.000 5 | 0.000 2 | 2.750 32 | 0.3 | |
| s3214-700 | -700 | Ⅱ | 4.918 7 | 5.406 6 | 1.099 19 | 113.11 | 0.000 9 | 0.000 4 | 2.475 00 | 1.38 | |
| I-Q8-001 | -70 | Ⅱ | 4.916 4 | 5.407 4 | 1.099 87 | 113.19 | |||||
| I-Q8-010 | Ⅱ | 4.920 3 | 5.208 5 | 1.058 57 | 113.39 | ||||||
| 三山岛 | I-3-005 | Ⅲ | 4.915 8 | 5.409 3 | 1.100 39 | 113.21 | |||||
| (陈光远等[ | I-Q7-Y | Ⅲ | 4.916 4 | 5.409 9 | 1.100 38 | 113.24 | |||||
| I-Q8-011 | 4.917 3 | 5.409 | 1.099 99 | 113.27 | |||||||
| I-QS-015 | 4.915 1 | 5.406 8 | 1.100 04 | 113.12 | |||||||
| I-QS-017 | 4.918 9 | 5.409 2 | 1.099 68 | 113.35 |
Fig.8 Characteristics of vertical fluctuations of quartz thermoluminescence parameters along No.32 exploratory line in the undersea gold deposit off northern Sanshandao
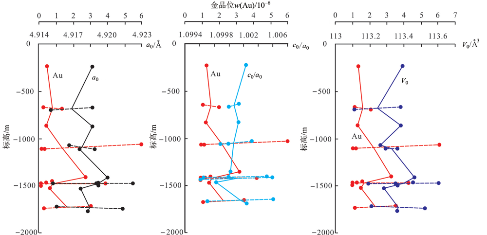
Fig.10 Characteristics of vertical fluctuations of quartz cell parameters along No.32 exploratory line in the undersea gold deposit off northern Sanshandao
Fig.11 Correlation between quartz peak temperature (a) or luminescence intensity (b) and gold grade in the undersea gold deposit off northern Sanshandao
Fig.12 Vertical projections of quartz peak temperature/gold grade (dash lines) contours (a) or luminescence intensity/gold grade (dash line) contours (b) along No.32 exploratory line in the undersea gold deposit off northern Sanshandao
| [1] | 陈光远, 邵伟, 孙岱生. 胶东金矿成因矿物学与找矿[M]. 重庆: 重庆出版社, 1989: 324-326. |
| [2] | 李胜荣, 陈光远, 邵伟, 等. 胶东乳山金矿田成因矿物学[M]. 北京: 地质出版社, 1996: 1-99. |
| [3] | 刘福来, 田丽华. 平顶山金矿石英的找矿矿物学研究[J]. 黄金, 1996,17(4):3-4. |
| [4] | 要梅娟, 曹烨. 山西省五台县东腰庄金矿床石英热发光标型研究[J]. 黄金, 2016,37(11):12-17. |
| [5] | 张龙, 李胜荣, 朱随洲, 等. 胶东望儿山金矿床石英热释光和晶胞参数特征及其找矿意义[J]. 现代地质, 2016,30(4):792-801. |
| [6] | 黄云波, 彭明生. 吉林溜河金矿床石英的标型特征在找矿预测中的应用[J]. 地质与资源, 2012,21(4):367-370. |
| [7] | 曹烨, 李胜荣, 张华锋, 等. 冀西石湖金矿黄铁矿和石英的晶胞参数特征及其地质意义[J]. 矿物岩石地球化学通报, 2010,29(2):185-191. |
| [8] | 邓磊, 王建国, 李胜荣, 等. 河北大西沟金矿床中石英热释光和黄铁矿热电性标型特征研究[J]. 地质找矿论丛, 2008,23(3):213-217. |
| [9] | 薛传东, 刘星, 谈树成, 等. 云南老王寨金矿床主要矿物的标型特征[J]. 矿物岩石, 2002,22(3):10-16. |
| [10] | 梅建明. 浙江遂昌治岭头金矿床的石英标型[J]. 现代地质, 2001,15(2):222-225. |
| [11] | 方勤方, 刘玉林, 鲁安怀. 皖东地区毛山金矿床中石英热发光与黄铁矿热电性标型研究[J]. 现代地质, 2001,15(2):226-230. |
| [12] | 丰成友, 张连昌, 姬金生, 等. 东天山康古尔金矿床石英的矿物标型特征研究[J]. 矿物岩石, 2000,20(1):24-29. |
| [13] | 吕瑞英. 新疆库布苏金矿石英标型特征研究[J]. 地球科学:中国地质大学学报, 1995(1):53-57. |
| [14] | 倪师军, 金景福, 罗雨田. 应用微晶石英标型特征研究某隐伏铀矿床的垂直分带[J]. 矿物学报, 1992,12(3):243-250. |
| [15] |
SHROUK F, HUDA E A, AHMED G, et al. Investigation of thermoluminescence glow curves in quartz extracted from the Central Eastern Desert, Egypt[J]. Luminescence, 2020,35(4):586-593.
DOI URL |
| [16] | 李长寿, 张欢欢, 白和, 等. 陕西小秦岭金矿田石英脉型金矿床石英热释光特征及其找矿意义[J]. 矿产勘查, 2019,10(4):801-809. |
| [17] | 宋英昕, 宋明春, 丁正江, 等. 胶东金矿集区深部找矿重要进展及成矿特征[J]. 黄金科学技术, 2017,25(3):4-18. |
| [18] |
SONG M C, LI S Z, SANTOSH M, et al. Types, characteristics and metallogenesis of gold deposits in the Jiaodong Peninsula, Eastern North China Craton[J]. Ore Geology Reviews, 2015,65:612-625.
DOI URL |
| [19] |
LI S R, SANTOSH M. Geodynamics of heterogeneous gold mineralization in the North China Craton and its relationship to lithospheric destruction[J]. Gondwana Research, 2017,50:267-292.
DOI URL |
| [20] |
LI L, LI S R, SANTOSH M, et al. Dyke swarms and their role in the genesis of world-class gold deposits: insights from the Jiaodong peninsula, China[J]. Journal of Asian Earth Sciences, 2016,130:2-22.
DOI URL |
| [21] |
ZHU R X, FAN H R, LI J W, et al. Decratonic gold deposits[J]. Science China: Earth Sciences, 2015,58(9):1523-1537.
DOI URL |
| [22] | 宋明春, 张军进, 杨立强, 等. 胶东三山岛北部海域超大型金矿床的发现及其构造-岩浆背景[J]. 地质学报, 2015,89(2):365-383. |
| [23] | 吴尚全. 夹皮沟变质热液金矿床中石英天然热释发光研究[J]. 矿物岩石, 1984,4(1):29-35. |
| [24] | HUMCHISON C S. Laboratory handbook of hetrographic techniques[M]. New York: John & Wiley, 1973: 465-472. |
| [25] | 骆靖中. 广西某金矿床石英热发光特征及其意义[J]. 桂林工学院学报, 1986(3):239-245. |
| [26] | 杨吉, 杨殿范. 石英的热发光及其在地学中的应用[J]. 西安工程学院学报, 2004,24(4):18-19. |
| [27] | COHEN A J, SUMNER G G. Relationships among impurities contents color senters and lattice contants on quartz[J]. American Mineralogist, 1958,43:60-65. |
| [28] | KEITH H D, WILL H H. Lattice spacing in clear crystalline quartz and their variability[J]. American Mineralogist, 1955,40(5/6):530-534. |
| [1] | YANG Xiaoyong, SUN Chao, CAO Jingya, SHI Jianbin. High purity quartz: Research progress and perspective review [J]. Earth Science Frontiers, 2022, 29(1): 231-244. |
| Viewed | ||||||
|
Full text |
|
|||||
|
Abstract |
|
|||||