

地学前缘 ›› 2021, Vol. 28 ›› Issue (2): 271-283.DOI: 10.13745/j.esf.sf.2020.12.7
收稿日期:2019-01-02
修回日期:2020-06-30
出版日期:2021-03-25
发布日期:2021-04-03
通信作者:
李江海
作者简介:张华添(1989—),男,构造地质学博士,主要从事洋中脊构造研究。E-mail: htzhang@pku.edu.cn
基金资助:
ZHANG Huatian1(
), LI Jianghai1,*(
), TAO Chunhui2
Received:2019-01-02
Revised:2020-06-30
Online:2021-03-25
Published:2021-04-03
Contact:
LI Jianghai
摘要:
斜向扩张是超慢速扩张洋中脊独特的构造特征,其地形分段特征明显区别于经典的快速-慢速端元洋中脊模型,是理解超慢速扩张洋中脊地质过程的重要切入点。基于西南印度洋中脊Indomed-Gallieni和Shaka-DuToit段多波束地形数据,分析了不同斜向扩张角度(α)洋中脊的地形分段样式。其中,46.5°~47.5°E(α=5°)、16°~25°E(α=10°)和48.5°~52°E(α=15°)为近正向扩张段,发育雁列式叠置的中央火山脊;47.5°~48.5°E(α=50°)和16°~25°E(α=60°)为斜向扩张段,仅在洋脊段中部形成中央火山脊。利用有限差分+颗粒法(FD+MIC)数值模拟技术研究了洋中脊应变分布特征对不同α值的响应,结合地形分析,认为斜向扩张角度和温度异常分布共同控制了洋中脊地形分段样式。近正向扩张洋中脊(α<20°)在温度异常处形成地壳伸展应变的集中区,有利于岩浆汇聚,发育雁列式叠置的中央火山脊,其位置随温度异常分布的变化而改变;斜向扩张洋中脊(α>20°)地壳伸展应变集中区的位置受斜向扩张几何样式控制,在洋脊段中部发育中央火山脊,对温度异常不敏感,形成位置长期固定的岩浆活动中心。
中图分类号:
张华添, 李江海, 陶春辉. 西南印度洋中脊斜向扩张分段特征及构造成因探讨[J]. 地学前缘, 2021, 28(2): 271-283.
ZHANG Huatian, LI Jianghai, TAO Chunhui. Discussions on the bathymetric segmentation and tectonogenesis of the oblique spreading Southwest Indian Ridge[J]. Earth Science Frontiers, 2021, 28(2): 271-283.
图1 西南印度洋大地构造简图 转换断层编号:1—Bouvet; 2—Islas Orcadas; 3—Shaka; 4—DuToit; 5—Andrew Bain; 6—Marion; 7—Prince Edward; 8—Eric Simpson; 9—Discovery II;10—Indomed; 11—Gallieni; 12—Gazelle; 13—Gauss; 14—Atlantis II; 15—Novara; 16—Melville。
Fig.1 Tectonic sketch map of the Southwest Indian Ocean
图2 西南印度洋中脊Indomed-Gallieni段地形分段样式(a)及轴部地形剖面图(b) a—根据洋中脊地形分段特征,自东向西划分为S-Ⅰ、S-Ⅱ和S-Ⅲ三部分,斜向扩张角度分别为15°、50°和5°。将洋中脊垂向上轴部凹陷最低点/中央火山脊最高点的连线作为洋中脊轴部,黑色曲线为中央火山脊轴部,白色围限区域为轴部凹陷。洋中脊编号据文献[41];b—黑色曲线为中央火山脊地形剖面,灰色曲线为轴部凹陷地形剖面。
Fig.2 Segmentation pattern (a) and bathymetric profile (b) of SWIR Indomed-Gallieni
图3 西南印度洋中脊Shaka-DuToit段地形分段样式(a)及轴部地形剖面图(b) 地形据多波束海底地形数据库(Multibeam Bathymetry Database, MBBDB),空间分辨率约150 m。16°~25°E为近正向扩张,斜向扩张角度α=10°;9°~16°E为斜向扩张,斜向扩张角度α=60°。a—黑色曲线为中央火山脊,白色区域为NTDs,垂直于洋中脊的曲线为离轴脊构造的迹线,是持续岩浆活动中心的遗迹;b—黑色剖面为中央火山脊轴部地形,灰色为NTDs轴部地形。
Fig.3 Segmentation pattern (a) and bathymetric profile (b) of SWIR Shaka-DuToit
| 物理量 | 数量 | 物理量 | 数量 | ||
|---|---|---|---|---|---|
| 密度(ρ) | 标准密度(ρ0) | 3 000 kg/m3 | 比热容(Cp) | 1 000 J/kg | |
| 热膨胀系数(α) | 3×10-5 K-1 | 黏滞系数η | 物质常数(AD) | 3.3×10-4 MPa-n•s-1 | |
| 压缩系数(β) | 1×10-11 Pa-1 | 应力指数(n) | 3.2 | ||
| 热导率(κ) | 标准热导率(κ0) | 1.18 W•m-1•K-1 | 活化能(Ea) | 238 kJ/mol | |
| 热导率系数(α) | 474 W/m | 活化体积(Va) | 0 J/Pa | ||
| 剪切模量(μ) | 2.5×1010 Pa | 放射产热率(Hr) | 2.5×10-7 W/m3 | ||
表1 模型物质参数列表(据文献[42],物质材料选取下地壳辉长岩)
Table 1 Parameters used for numerical modeling of gabbro from lower crust (adapted from [42])
| 物理量 | 数量 | 物理量 | 数量 | ||
|---|---|---|---|---|---|
| 密度(ρ) | 标准密度(ρ0) | 3 000 kg/m3 | 比热容(Cp) | 1 000 J/kg | |
| 热膨胀系数(α) | 3×10-5 K-1 | 黏滞系数η | 物质常数(AD) | 3.3×10-4 MPa-n•s-1 | |
| 压缩系数(β) | 1×10-11 Pa-1 | 应力指数(n) | 3.2 | ||
| 热导率(κ) | 标准热导率(κ0) | 1.18 W•m-1•K-1 | 活化能(Ea) | 238 kJ/mol | |
| 热导率系数(α) | 474 W/m | 活化体积(Va) | 0 J/Pa | ||
| 剪切模量(μ) | 2.5×1010 Pa | 放射产热率(Hr) | 2.5×10-7 W/m3 | ||
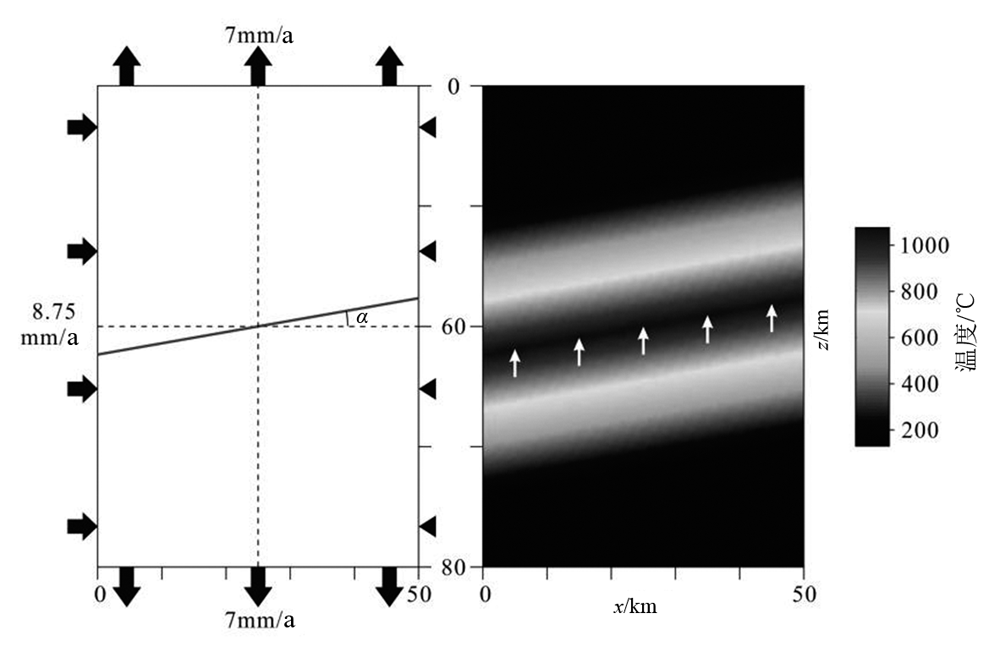
图5 斜向扩张洋中脊模型计算结果 a—正应力(σzz);b—剪应力(σzx);c—第二应变不变量(εII);d—体应变速率(lgεkk);e—南北方向速度梯度(dvz/dz);f—东西方向速度梯度(dvx/dx)。模型设定α=10°,计算时间为0.06 Ma。
Fig.5 Results of oblique spreading model
图6 不同扩张角度洋中脊体应变速率分布图 a至f分别对应α=5°、10°、15°、20°、30°、45°下的体应变速率分布;模型计算时间为0.06 Ma;将z方向0~20 km和60~80 km区域裁掉,以放大显示洋脊轴应变分布特征。
Fig.6 Volume strain rate of mid-ocean ridge with various spreading obliquityies
图7 不同扩张角度洋中脊体应变速率分布图(无初始温度扰动) a至f分别对应α=5°、10°、15°、20°、30°、45°下的体应变速率分布;模型计算时间为0.06 Ma;将z方向0~20 km和60~80 km区域裁掉,以放大显示洋脊轴应变分布特征。
Fig.7 Volume strain rate of mid-ocean ridge with various spreading obliquities (no initial temperaure disturbance)
图9 斜向扩张对洋中脊地形分段性的影响示意图 a—圆圈为温度扰动;b—应变集中区分布样式;c—中央火山脊和NTD分布,双线为中央火山脊,箭头指示扩张方向,椭圆为NTDs;d—地幔整体向西运动背景下,中央火山脊位置向西移动示意图,离轴位置线段为脊构造及其最高点相连形成的迹线。
Fig.9 Schematic diagram showing the influence of oblique spreading on mid-ocean ridge segmentation pattern
| [1] |
HEY R. A new class of “pseudofaults” and their bearing on plate tectonics: a propagating rift model[J]. Earth and Planetary Science Letters, 1977,37(2):321-325.
DOI URL |
| [2] |
MACDONALD K C. Mid-ocean ridges:fine scale tectonic, volcanic and hydrothermal processes within the plate boundary zone[J]. Annual Review of Earth and Planetary Sciences, 1982,10:155-190.
DOI URL |
| [3] |
LIN J, PURDY G M, SCHOUTEN H, et al. Evidence from gravity data for focused magmatic accretion along the Mid-Atlantic Ridge[J]. Nature, 1990,344(6267):627-632.
DOI URL |
| [4] | LANGMUIR C H, KLEIN E M, PLANK T. Petrological systematics of mid-ocean ridge basalts: constraints on melt generation beneath ocean ridges[M]//PHIPPS M J, BLACKMAN D K, SINTON J M. Mantle flow and melt generation at Mid-Ocean Ridges. American Geophysical Union Monograph, 1992,71: 183-280. http://dx.doi.org/10.1029/GM071p0183. |
| [5] | NIU Y L, BATIZA R. Magmatic processes at a slow spreading ridge segment: 26°S Mid-Atlantic Ridge[J]. Journal of Geophysical Research: Solid Earth, 1994,99(B10):19719-19740. |
| [6] | SHAW W J, LIN J. Models of ocean ridge lithospheric deformation: dependence on crustal thickness, spreading rate, and segmentation[J]. Journal of Geophysical Research: Solid Earth, 1996,101(B8):17977-17993. |
| [7] | REYNOLDS J R, LANGMUIR C H. Petrological systematics of the Mid-Atlantic Ridge south of Kane: implications for ocean crust formation[J]. Journal of Geophysical Research: Solid Earth, 1997,102(B7):14915-14946. |
| [8] | CANNAT M, ROMMEVAUS-JESTIN C, FUJIMOTO H. Melt supply variations to a magma-poor ultra-slow spreading ridge (Southwest Indian Ridge 61° to 69°E)[J]. Geochemistry, Geophysics, Geosystems, 2003,4(8). https://doi.org/10.1029/2002GC000480 |
| [9] | CARBOTTE S M, SMITH D K, CANNAT M, et al. Tectonic and magmatic segmentation of the Global Ocean Ridge System: a synjournal of observations[J]. Geological Society, London, Special Publications, 2015,420:5. |
| [10] |
DAUTEUIL O, HUCHON P, QUEMENEUR F, et al. Propagation of an oblique spreading centre: the western Gulf of Aden[J]. Tectonophysics, 2001,332(4):423-442.
DOI URL |
| [11] |
OKINO K, CUREWITZ D, ASADA M, et al. Segmentation of the Knipovich Ridge: implication for focused magmatism and effect of ridge obliquity at an ultraslow spreading system[J]. Earth and Planetary Science Letters, 2002,202:275-288.
DOI URL |
| [12] |
HELLEBRAND E, SNOW J E. Deep melting and sodic metasomatism underneath the highly oblique-spreading Lena Trough (Arctic Ocean)[J]. Earth and Planetary Science Letters, 2003,216(3):283-299.
DOI URL |
| [13] |
CUREWITZ D, OKINO K, ASADA M, et al. Structural analysis of fault populations along the oblique, ultra-slow spreading Knipovich Ridge, North Atlantic Ocean, 74°30'N-77°50'N[J]. Journal of Structural Geology, 2010,32(6):727-740.
DOI URL |
| [14] |
DICK H J B, LIN J, SCHOUTEN H. An ultraslow-spreading class of ocean ridge[J]. Nature, 2003,426(6965):405-412.
DOI URL |
| [15] | SAUTER D, MENDEL V, ROMMEVAUX-JESTIN C, et al. Focused magmatism versus amagmatic spreading along the ultra-slow spreading Southwest Indian Ridge: evidence from TOBI side scan sonar imagery[J]. Geochemistry, Geophysics, Geosystems, 2004,5(10): Q10K09. https://doi.org/10.1029/2004GC000738 |
| [16] | STANDISH J J, DICK H J B, MICHAEL P J, et al. MORB generation beneath the ultraslow spreading Southwest Indian Ridge (9°-25°E): major element chemistry and the importance of process versus source[J]. Geochemistry, Geophysics, Geosystems, 2008,9(5). https://doi.org/10.1029/2008GC001959 |
| [17] |
VAN WIJK J W, BLACKMAN D K. Development of en echelon magmatic segments along oblique spreading ridges[J]. Geology, 2007,35(7):599-602.
DOI URL |
| [18] |
DEMETS C, GORDON R G, ARGUS D F, et al. Current plate motions[J]. Geophysical Journal International, 1990,101(2):425-478.
DOI URL |
| [19] | 李小虎, 初凤友, 雷吉江, 等. 慢速-超慢速扩张西南印度洋中脊研究进展[J]. 地球科学进展, 2008,23(6):595-603. |
| [20] | 陈灵, 初凤友, 朱继浩, 等. 西南印度洋中脊地质构造对地幔部分熔融的影响: 深海橄榄岩尖晶石成分证据[J]. 吉林大学学报 (地球科学版), 2013,43(1):102-109. |
| [21] |
GEORGEN J E, LIN J, DICK H J B. Evidence from gravity anomalies for interactions of the Marion and Bouvet hotspots with the Southwest Indian Ridge:effects of transform offsets[J]. Earth and Planetary Science Letters, 2001,187(3):283-300.
DOI URL |
| [22] |
ZHANG T, LIN J, GAO J Y. Interactions between hotspots and the Southwest Indian Ridge during the last 90 Ma: implications on the formation of oceanic plateaus and intra-plate seamounts[J]. Science China Earth Sciences, 2011,54(8):1177-1188.
DOI URL |
| [23] |
YANG A Y, ZHAO T P, ZHOU M F, et al. Isotopically enriched N-MORB: a new geochemical signature of off-axis plume-ridge interaction[J]. Journal of Geophysical Research: Solid Earth, 2017,122(1):191-213.
DOI URL |
| [24] |
SAUTER D, CANNAT M, MEYZEN C, et al. Propagation of a melting anomaly along the ultraslow Southwest Indian Ridge between 46°E and 52°20'E: interaction with the Crozet hotspot?[J]. Geophysical Journal International, 2009,179:687-699.
DOI URL |
| [25] | 于淼, 苏新, 陶春辉, 等. 西南印度洋中脊49.6°E和50.5°E区玄武岩岩石学及元素地球化学特征[J]. 现代地质, 2013,27(3):497-508. |
| [26] |
NIU X W, RUAN A G, LI J B, et al. Along-axis variation in crustal thickness at the ultraslow spreading Southwest Indian Ridge (50°E) from a wide-angle seismic experiment[J]. Geochemistry, Geophysics, Geosystems, 2015,16(2):468-485.
DOI URL |
| [27] |
LI J B, JIAN H C, CHEN Y J, et al. Seismic observation of an extremely magmatic accretion at the ultraslow spreading Southwest Indian Ridge[J]. Geophysical Research Letters, 2015,42(8):2656-2663.
DOI URL |
| [28] |
JIAN H C, CHEN Y J, SINGH S C, et al. Seismic structure and magmatic construction of crust at the ultraslow-spreading Southwest Indian Ridge at 50°28'E[J]. Journal of Geophysical Research: Solid Earth, 2017,122(1):18-42.
DOI URL |
| [29] |
ZHAO M H, QIU X L, LI J B, et al. Three-dimensional seismic structure of the Dragon Flag oceanic core complex at the ultraslow spreading Southwest Indian Ridge (49°39'E)[J]. Geochemistry, Geophysics, Geosystems, 2013,14(10):4544-4563.
DOI URL |
| [30] |
TAO C H, LIN J, GUO S Q, et al. First active hydrothermal vents on an ultraslow-spreading center: Southwest Indian Ridge[J]. Geology, 2012,40(1):47-50.
DOI URL |
| [31] | 陶春辉, 李怀明, 金肖兵, 等. 西南印度洋脊的海底热液活动和硫化物勘探[J]. 科学通报, 2014,59(19):1812-1822. |
| [32] |
MONTESI L G J, BEHN M D. Mantle flow and melting underneath oblique and ultraslow mid-ocean ridges[J]. Geophysical Research Letters, 2007,34(24):L24307.
DOI URL |
| [33] |
KUO B Y, FORSYTH D W. Gravity anomalies of the ridge-transform system in the South Atlantic between 31 and 34.5°S: upwelling centers and variations in crustal thickness[J]. Marine Geophysical Researches, 1988,10(3/4):205-232.
DOI URL |
| [34] |
SAUTER D, PATRIAT P, ROMMEVAUX-JESTIN C, et al. The Southwest Indian Ridge between 49°15' E and 57°E: focused accretion and magma redistribution[J]. Earth and Planetary Science Letters, 2001,192(3):303-317.
DOI URL |
| [35] | 张国堙, 陶春辉, 李怀明, 等. 多波束声参数在海底热液区底质分类中的应用: 以东太平洋海隆“宝石山”热液区为例[J]. 海洋地质前沿, 2012,28(7):59-65. |
| [36] | GELI L, RENARD V, ROMMEVAUX-JESTIN C. Ocean crust formation processes at very slow spreading centers: a model for the Mohns Ridge, near 72°N, based on magnetic, gravity, and seismic data[J]. Journal of Geophysical Research: Solid Earth, 1994,99(B2):2995-3013. |
| [37] |
DAUTEUIL O, BRUN J P. Deformation partitioning in a slow spreading ridge undergoing oblique extension: Mohns Ridge, Norwegian Sea[J]. Tectonics, 1996,15(4):870-884.
DOI URL |
| [38] |
MURTON B J, PARSON L M. Segmentation, volcanism and deformation of oblique spreading centres: a quantitative study of the Reykjanes Ridge[J]. Tectonophysics, 1993,222(2):237-257.
DOI URL |
| [39] |
CLIFTON A E, KATTENHORN S A. Structural architecture of a highly oblique divergent plate boundary segment[J]. Tectonophysics, 2006,419(1):27-40.
DOI URL |
| [40] |
SAUTER D, PARSON L, MENDEL V, et al. TOBI sidescan sonar imagery of the very slow-spreading Southwest Indian Ridge: evidence for along-axis magma distribution[J]. Earth and Planetary Science Letters, 2002,199(1):81-95.
DOI URL |
| [41] | CANNAT M, ROMMEVAUX-JESTIN C, SAUTER D, et al. Formation of the axial relief at the very slow spreading Southwest Indian Ridge (49° to 69°E)[J]. Journal of Geophysical Research: Solid Earth, 1999,104(B10):22825-22843. |
| [42] | GERYA T. Introduction to numerical geodynamic modelling[M]. Cambridge: Cambridge University Press, 2010: 345. |
| [43] |
GERYA T V, YUEN D A. Characteristics-based marker-in-cell method with conservative finite-differences schemes for modeling geological flows with strongly variable transport properties[J]. Physics of the Earth and Planetary Interiors, 2003,140(4):293-318.
DOI URL |
| [44] | FORNBERG B. A practical guide to pseudospectral methods[M]. Cambridge: Cambridge University Press, 1995: 134. |
| [45] |
GERYA T V, YUEN D A. Robust characteristics method for modelling multiphase visco-elasto-plastic thermo-mechanical problems[J]. Physics of the Earth and Planetary Interiors, 2007,163(1):83-105.
DOI URL |
| [46] |
VAN WIJK J W, BLACKMAN D K. Deformation of oceanic lithosphere near slow-spreading ridge discontinuities[J]. Tectonophysics, 2005,407(3):211-225.
DOI URL |
| [47] |
BUCK W R, LAVIER L L, POLIAKOV A N B. Modes of faulting at mid-ocean ridges[J]. Nature, 2005,434(7034):719-723.
DOI URL |
| [48] |
MACDONALD K C, FOX P J, ALEXANDER R T, et al. Volcanic growth faults and the origin of Pacific abyssal hills[J]. Nature, 1996,380(6570):125-129.
DOI URL |
| [49] | WANG T T, LIN J, TUCHOLKE B, et al. Crustal thickness anomalies in the North Atlantic Ocean basin from gravity analysis[J]. Geochemistry, Geophysics, Geosystems, 2011,12(3). https://doi.org/10.1029/2010GC003402 |
| [50] |
OLIVE J A, BEHN M D, ITO G, et al. Sensitivity of seafloor bathymetry to climate-driven fluctuations in mid-ocean ridge magma supply[J]. Science, 2015,350(6258):310-313.
DOI URL |
| [51] | LIANG Y Y, LI J B, LI S J, et al. The morphotectonics and its evolutionary dynamics of the central Southwest Indian Ridge (49° to 51°E)[J]. Acta Oceanologica Sinica, 2013,32(12):87-95. |
| [52] | 梁裕扬, 李家彪, 李守军, 等. 西南印度洋脊中段Indomed-Gallieni 洋中脊岩浆-构造动力模式[J]. 地球物理学报, 2014,57(9):2993-3005. |
| [53] | SANDWELL D T, SMITH W H F. Global marine gravity from retracked Geosat and ERS-1 altimetry: ridge segmentation versus spreading rate[J]. Journal of Geophysical Research: Solid Earth, 2009,114(B1). https://doi.org/10.1029/2008JB006008 |
| [54] |
LIN J, MORGAN J P. The spreading rate dependence of three-dimensional mid-ocean ridge gravity structure[J]. Geophysical Research Letters, 1992,19(1):13-16.
DOI URL |
| [55] | SEARLE R. Mid-ocean ridges[M]. London: Cambridge University Press, 2013. |
| [1] | 杨冰, 孟童, 郭华明, 连国玺, 陈帅瑶, 杨曦. 基于Kd的某酸法地浸铀矿山地下水铀运移模拟[J]. 地学前缘, 2024, 31(3): 381-391. |
| [2] | 侯玉松, 胡晓农, 吴吉春. 不同胶结度的多孔介质中溶质横向弥散的孔隙尺度模拟研究[J]. 地学前缘, 2024, 31(3): 59-67. |
| [3] | 李玉丹, 游瑜春, 曾大乾, 石志良, 顾少华, 张睿. 底水气藏水侵规律数值模拟研究:以元坝长兴组气藏为例[J]. 地学前缘, 2023, 30(6): 341-350. |
| [4] | 张允, 康志江, 马郡伟, 郑欢, 吴大卫. 深层离散裂缝油藏多尺度流固耦合数值模拟方法[J]. 地学前缘, 2023, 30(6): 365-370. |
| [5] | 孙哲, 张彬, 陈大伟, 李玉涛, 王汉勋. 花岗岩裂隙岩体油水两相渗流可视化试验及数值模拟研究[J]. 地学前缘, 2023, 30(3): 465-475. |
| [6] | 孙辉, 刘晓东. 青藏高原隆升气候效应的数值模拟研究进展概述[J]. 地学前缘, 2022, 29(5): 300-309. |
| [7] | 沈晓芳, 万玉玉, 王利刚, 苏小四, 董维红. 基于多相流数值模拟的某石油污染场地地下水中VOCs自然衰减过程识别及能力评估[J]. 地学前缘, 2021, 28(5): 90-103. |
| [8] | 安文通, 陈建平, 朱鹏飞. 基于成矿过程数值模拟的隐伏矿双向预测研究[J]. 地学前缘, 2021, 28(3): 97-111. |
| [9] | 肖凡, 王恺其. 德兴斑岩铜矿床断裂与侵入体产状对成矿的控制作用:从力-热-流三场耦合数值模拟结果分析[J]. 地学前缘, 2021, 28(3): 190-207. |
| [10] | 王殿举, 李江海, 李一赫. 下地壳流变学性质对南大西洋两岸盆地结构不对称性的控制[J]. 地学前缘, 2020, 27(3): 254-261. |
| [11] | 孔彦龙, 黄永辉, 郑天元, 陆仁超, 潘晟, 邵亥冰, 庞忠和. 地热能可持续开发利用的数值模拟软件OpenGeoSys:原理与应用[J]. 地学前缘, 2020, 27(1): 170-177. |
| [12] | 高志鹏,郭华明,屈吉鸿. 卫河流域河流地下水流系统氮素运移的数值模拟[J]. 地学前缘, 2018, 25(3): 273-284. |
| [13] | 何丽娟,许鹤华,刘琼颖. 前陆盆地构造热演化:以龙门山前陆盆地为例[J]. 地学前缘, 2017, 24(3): 127-136. |
| [14] | 施小斌,于传海,陈梅,杨小秋,赵俊峰. 南海北部陆缘热流变化特征及其影响因素分析[J]. 地学前缘, 2017, 24(3): 56-64. |
| [15] | 岳宗玉, 邸凯昌, 刘召芹, 胡文敏, 芶盛. 撞击坑数值模拟中状态方程替代原则及误差分析[J]. 地学前缘, 2014, 21(6): 204-211. |
| 阅读次数 | ||||||
|
全文 |
|
|||||
|
摘要 |
|
|||||