

地学前缘 ›› 2026, Vol. 33 ›› Issue (1): 354-368.DOI: 10.13745/j.esf.sf.2025.10.32
许光泉1,2(
), 杨婷婷1,2,*(
), 王传兵2,3, 程海燕2,3, 朱昌淮2,3, 周继生2,3, 贺世芳2,3
收稿日期:2025-06-20
修回日期:2025-09-05
出版日期:2026-01-25
发布日期:2025-11-10
通信作者:
*杨婷婷(1993—),女,讲师,主要从事岩溶水文地质与岩溶水文地球化学研究。E-mail:ahaqytt@126.com
作者简介:许光泉(1967—),男,教授,博士生导师,主要从事水文地质、岩溶水文地质研究。E-mail: gqxu@163.com
基金资助:
XU Guangquan1,2(
), YANG Tingting1,2,*(
), WANG Chuanbing2,3, CHENG Haiyan2,3, ZHU Changhuai2,3, ZHOU Jisheng2,3, HE Shifang2,3
Received:2025-06-20
Revised:2025-09-05
Online:2026-01-25
Published:2025-11-10
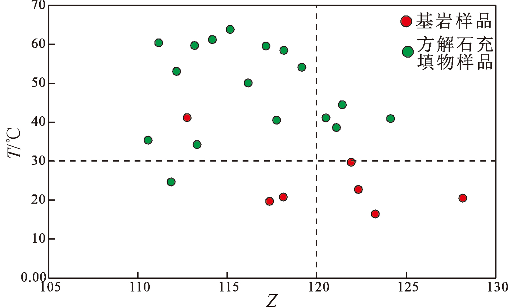
摘要: 我国华北煤田古岩溶分布规律与发育程度是控制深部岩溶流体储存与运移的关键地质因素。研究其发育特征、影响因素和成因,对于评价煤田内部岩溶的富水性和渗透性至关重要,对煤矿开采中岩溶水害防治也具有十分重要的意义。以华北煤田南部的淮南煤田奥陶系古岩溶为对象,采用野外地质调查、钻孔取心与显微鉴定、地球物理勘探、岩石地球化学等方法,系统调查与研究了奥陶系古岩溶分布、发育特征及控制因素,并结合区域沉积史、构造演化史以及古水文等,研究了奥陶系古岩溶发育特征及形成过程。结果表明,淮南煤田奥陶系古岩溶主要分为沉积岩溶、后生岩溶和构造带岩溶3种类型,以角砾岩、裂缝、孔洞、溶洞以及岩溶陷落柱等5种形态存在,多分布于距奥陶系风化壳0~50 m范围内,其内部充填物可分为岩屑物质、化学胶结物质和混合物质3类。古岩溶发育程度受碳酸盐岩岩性与结构、成岩地质作用、地质构造演化、古水文等因素控制。奥陶系古岩溶形成从碳酸盐岩沉积弱固结成岩阶段,到抬升风化剥蚀阶段,到晚燕山运动时期构造作用阶段,其形成过程中除了接受古大气淡水淋滤作用外,还与深部热液活动作用相关,不同类型的古岩溶是多期次岩溶改造作用的结果。
中图分类号:
许光泉, 杨婷婷, 王传兵, 程海燕, 朱昌淮, 周继生, 贺世芳. 淮南煤田奥陶系古岩溶发育特征及形成机理研究[J]. 地学前缘, 2026, 33(1): 354-368.
XU Guangquan, YANG Tingting, WANG Chuanbing, CHENG Haiyan, ZHU Changhuai, ZHOU Jisheng, HE Shifang. Development characteristics and formation mechanism of Ordovician paleokarst in the Huainan Coalfield[J]. Earth Science Frontiers, 2026, 33(1): 354-368.
图3 淮南煤田奥陶系不同类型角砾岩 a—白云质灰质角砾,萧县组底部(舜耕山九龙岗段);b—白云质灰质角砾,马家沟组顶部(舜耕山五层山段);c—灰质角砾岩,萧县组底部(舜耕山洞山段);d—灰质角砾岩(潘二矿P05孔);e—灰质角砾,萧县组中部角砾岩(九龙岗段); f—萧县组地下河岩溶角砾岩,磨圆度好,以次圆状为主(大通段); g—萧县组顶部灰质角砾(平山头段); h—奥陶系中部岩溶角砾,表面溶隙发育,内部含大量碎屑物质及泥质(刘庄矿T10); i—构造岩溶角砾岩(李郢子段);j—构造碎裂岩岩溶角砾,角砾间为挤压的方解石充填(泉山湖段); k—构造角砾岩,角砾间方解石充填连接(LZ4);l—构造角砾岩,内部被方解石充填(PE2孔);m—构造带岩溶角砾岩,最大砾径大于12cm,大小混杂,磨圆度差(PB5孔)
Fig.3 Different types of Ordovician breccia in Huainan Coalfield
图5 不同类型溶孔野外和显微照片 a—奥陶系,白云质灰岩,针孔状溶孔(张集矿-1孔);b—奥陶系,灰岩,晶间孔(顾北矿);c—奥陶系,灰岩,粒内溶孔,单偏光(刘庄矿);d—奥陶系,膏模孔(张集矿);e—奥陶系,鲕粒灰岩,晶内溶孔,单偏光(刘庄矿) 。
Fig.5 Field and microscopic photographs of different types of dissolved pores
图8 隐伏区岩溶陷落柱结构剖面图 a—构造岩溶带G4内NO.1KCC垂向形态;b—构造岩溶带G4内NO.2KCC垂向形态;c—构造岩溶带G4内NO.3KCC垂向形态;d—构造岩溶带G4内NO.5KCC垂向形态;e—三维地震1#与2#陷落柱立体显示图。
Fig.8 Structural profile of karst collapse columns in concealed areas
图10 古岩溶内部角砾充填和胶结特征 a—碎裂状角砾灰岩;b—垮落角砾岩,白云质灰岩;c—压溶角砾岩,灰岩;d—垮落胶结角砾岩,白云质灰岩;e—构造岩溶角砾岩,内部铁质及钙质充填; f—构造带岩溶角砾岩,内部古钙华充填;g—构造岩溶角砾岩,内部巨晶方解石呈层状结晶充填;h—构造岩溶角砾,内部铁锰结核物质充填; i—构造岩溶角砾,内部方解石、黄铁矿与煤屑混合胶结充填;j—构造岩溶角砾,内部黄铁矿及方解石混合充填。
Fig.10 Characteristics of filling and cementation of internal breccia in paleokarst
| 样品 编号 | 测试 样品 | 古岩溶 类型 | δ13CV-PDB/‰ | δ18OV-PDB/‰ | 样品 编号 | 测试 样品 | 古岩溶 类型 | δ13CV-PDB/‰ | δ18OV-PDB/‰ |
|---|---|---|---|---|---|---|---|---|---|
| M1 | CM | 同生角砾 | -3.43 | -5.84 | F8 | CFs | KCC | -6.09 | -13.13 |
| M2 | CM | 同生角砾 | -3.00 | -6.10 | F9 | CFs | KCC | -6.63 | -12.43 |
| M3 | CM | 同生角砾灰岩 | -0.73 | -5.08 | F10 | CFs | 岩溶角砾 | -0.66 | -9.73 |
| M4 | CM | 角砾灰岩 | -0.84 | -6.52 | F11 | CFs | 小溶洞发育 | -0.84 | -10.18 |
| M5 | CM | 溶洞 | -4.62 | -10.19 | F11 | CFs | 小溶洞发育 | -0.84 | -10.18 |
| M6 | CM | 基岩 | -0.65 | -6.03 | F13 | CFs | 裂缝 | -5.85 | -6.95 |
| M7 | CM | 角砾 | -0.68 | -8.00 | F14 | CFs | 溶洞 | -1.48 | -10.07 |
| F1 | CFs | 构造带孔洞 | -5.51 | -13.44 | F15 | CFs | 孔洞 | 0.49 | -10.79 |
| F2 | CFs | 构造带孔洞 | -7.84 | -12.25 | F16 | CFs | 溶洞 | -5.95 | -9.12 |
| F3 | CFs | 构造带裂缝 | -7.36 | -13.33 | F17 | CFs | 小溶洞发育 | 0.92 | -10.15 |
| F4 | CFs | 构造带孔洞 | -7.91 | -13.57 | 最大值 | 0.92 | -5.08 | ||
| F5 | CFs | 构造带裂缝 | -5.66 | -13.97 | 最小值 | -7.91 | -13.97 | ||
| F6 | CFs | 构造带孔洞 | -5.25 | -11.76 | 平均值 | -3.77 | -10.00 | ||
| F7 | CFs | KCC | -6.74 | -13.31 |
表1 淮南煤田奥陶系古岩溶样品碳、氧同位素测试结果
Table 1 Carbon and oxygen isotope test results of paleokarst samples of Ordovician in Huainan Coalfield
| 样品 编号 | 测试 样品 | 古岩溶 类型 | δ13CV-PDB/‰ | δ18OV-PDB/‰ | 样品 编号 | 测试 样品 | 古岩溶 类型 | δ13CV-PDB/‰ | δ18OV-PDB/‰ |
|---|---|---|---|---|---|---|---|---|---|
| M1 | CM | 同生角砾 | -3.43 | -5.84 | F8 | CFs | KCC | -6.09 | -13.13 |
| M2 | CM | 同生角砾 | -3.00 | -6.10 | F9 | CFs | KCC | -6.63 | -12.43 |
| M3 | CM | 同生角砾灰岩 | -0.73 | -5.08 | F10 | CFs | 岩溶角砾 | -0.66 | -9.73 |
| M4 | CM | 角砾灰岩 | -0.84 | -6.52 | F11 | CFs | 小溶洞发育 | -0.84 | -10.18 |
| M5 | CM | 溶洞 | -4.62 | -10.19 | F11 | CFs | 小溶洞发育 | -0.84 | -10.18 |
| M6 | CM | 基岩 | -0.65 | -6.03 | F13 | CFs | 裂缝 | -5.85 | -6.95 |
| M7 | CM | 角砾 | -0.68 | -8.00 | F14 | CFs | 溶洞 | -1.48 | -10.07 |
| F1 | CFs | 构造带孔洞 | -5.51 | -13.44 | F15 | CFs | 孔洞 | 0.49 | -10.79 |
| F2 | CFs | 构造带孔洞 | -7.84 | -12.25 | F16 | CFs | 溶洞 | -5.95 | -9.12 |
| F3 | CFs | 构造带裂缝 | -7.36 | -13.33 | F17 | CFs | 小溶洞发育 | 0.92 | -10.15 |
| F4 | CFs | 构造带孔洞 | -7.91 | -13.57 | 最大值 | 0.92 | -5.08 | ||
| F5 | CFs | 构造带裂缝 | -5.66 | -13.97 | 最小值 | -7.91 | -13.97 | ||
| F6 | CFs | 构造带孔洞 | -5.25 | -11.76 | 平均值 | -3.77 | -10.00 | ||
| F7 | CFs | KCC | -6.74 | -13.31 |
| 编号 | 岩性 | 地层 | 主要化学成分含量wB/% | ||||||||||
|---|---|---|---|---|---|---|---|---|---|---|---|---|---|
| CaO | MgO | SiO2 | Na2O | K2O | Al2O3 | Fe2O3 | MnO | TiO2 | P2O5 | CO2 | |||
| M8 | 灰岩 | O1x | 54.95 | 0.30 | 0.20 | 0.33 | 0.22 | 0.32 | 0.06 | 0.01 | 0.01 | 0.07 | 43.53 |
| M9 | 泥质灰岩 | O1x | 50.71 | 1.3 | 0.23 | 0.42 | 0.31 | 0.26 | 0.16 | 0.01 | 0.01 | 0.06 | 46.53 |
| M10 | 白云质灰岩 | O1x | 41.05 | 12.60 | 0.18 | 0.38 | 0.20 | 0.27 | 0.27 | 0.01 | 0.02 | 0.07 | 44.95 |
| M11 | 白云岩 | O1m | 31.38 | 20.27 | 1.07 | 0.01 | 0.04 | 0.48 | 0.31 | 0.01 | 0.02 | 0.01 | 46.40 |
| M12 | 灰质白云岩 | O1m | 34.63 | 18.06 | 0.16 | 0.40 | 0.13 | 0.22 | 0.24 | 0.01 | 0.01 | 0.08 | 46.06 |
表2 淮南地区奥陶系碳酸盐岩主要化学成分及含量
Table 2 Main chemical composition and content of Ordovician carbonate rocks in Huainan area
| 编号 | 岩性 | 地层 | 主要化学成分含量wB/% | ||||||||||
|---|---|---|---|---|---|---|---|---|---|---|---|---|---|
| CaO | MgO | SiO2 | Na2O | K2O | Al2O3 | Fe2O3 | MnO | TiO2 | P2O5 | CO2 | |||
| M8 | 灰岩 | O1x | 54.95 | 0.30 | 0.20 | 0.33 | 0.22 | 0.32 | 0.06 | 0.01 | 0.01 | 0.07 | 43.53 |
| M9 | 泥质灰岩 | O1x | 50.71 | 1.3 | 0.23 | 0.42 | 0.31 | 0.26 | 0.16 | 0.01 | 0.01 | 0.06 | 46.53 |
| M10 | 白云质灰岩 | O1x | 41.05 | 12.60 | 0.18 | 0.38 | 0.20 | 0.27 | 0.27 | 0.01 | 0.02 | 0.07 | 44.95 |
| M11 | 白云岩 | O1m | 31.38 | 20.27 | 1.07 | 0.01 | 0.04 | 0.48 | 0.31 | 0.01 | 0.02 | 0.01 | 46.40 |
| M12 | 灰质白云岩 | O1m | 34.63 | 18.06 | 0.16 | 0.40 | 0.13 | 0.22 | 0.24 | 0.01 | 0.01 | 0.08 | 46.06 |
图11 淮南煤田奥陶系碳酸盐岩成岩作用宏观和微观结构照片 a,b,g—压实,压溶作用;d,h,j—重结晶作用;c,k,l —胶结作用;e,f,i —交代作用。
Fig.11 Macroscopic and microscopic structural photos of the diagenesis of carbonate of Ordovician in Huainan Coalfield
图12 淮南煤田断层、节理统计图 a—淮南煤田断层走向;b—淮南煤田断层倾向;c—淮南煤田断层倾角;d—裸露区构造岩溶发育点节理走向;e—裸露区构造岩溶发育点节理倾向;f—裸露区构造岩溶发育点节理倾角。
Fig.12 Statistical map of fault and joint in Huainan area
| [1] | 潘文庆, 刘永福, DICKSON J A D, 等. 塔里木盆地下古生界碳酸盐岩热液岩溶的特征及地质模型[J]. 沉积学报, 2009, 27(5): 983-994. |
| [2] | 朱光有, 张水昌, 王欢欢, 等. 塔里木盆地北部深层风化壳储层的形成与分布[J]. 岩石学报, 2009, 25(10): 2384-2398. |
| [3] |
ZHANG B M, LIU J J. Classification and characteristics of karst reservoirs in China and related theories[J]. Petroleum Exploration and Development, 2009, 36(1): 12-29.
DOI URL |
| [4] |
FU Q. Characterization and discrimination of paleokarst breccias and pseudobreccias in carbonate rocks: insight from Ordovician strata in the northern Tarim Basin, China[J]. Sedimentary Geology, 2019, 382: 61-74.
DOI URL |
| [5] | 何金有, 贾承造, 邬光辉, 等. 新疆阿克苏地区震旦系风化壳古岩溶特征及其发育模式[J]. 岩石学报, 2010, 26(8): 2513-2518. |
| [6] | 尹尚先, 徐斌, 刘德民, 等. 我国华北煤田岩溶陷落柱预测研究[J]. 煤炭科学技术, 2016, 44(1): 172-177. |
| [7] | 许光泉, 张海涛, 周继生, 等. 华北煤田岩溶陷落柱及其突水研究综述及展望[J]. 中国岩溶, 2022, 41(2): 259-275. |
| [8] |
SUN W, SONG J, YANG W, et al. Distribution of carbonate rocks and variation analysis of karst water resources in China[J]. Carbonates and Evaporites, 2020, 35(4): 121.
DOI |
| [9] |
YU T, LIU H, LIU B, et al. Restoration of karst paleogeomorphology and its significance in petroleum geology: using the top of the Middle Triassic Leikoupo Formation in the northwestern Sichuan Basin as an example[J]. Journal of Petroleum Science and Engineering, 2022, 208: 109638.
DOI URL |
| [10] |
ZHOU Z, WANG X, YANG X, et al. Multi-factor evaluation of deep karst dolomite reservoir based on paleogeomorphological reconstruction, a case study from the 4th member of the Denying Formation in the central Sichuan Basin, China[J]. Frontiers in Earth Science, 2022, 10: 930269.
DOI URL |
| [11] | 梁永平, 申豪勇, 高旭波. 中国北方岩溶地下水的研究进展[J]. 地质科技通报, 2022, 41(5): 199-219. |
| [12] | 虎维岳. 华北东部深部岩溶及煤矿岩溶水害特征[J]. 煤田地质与勘探, 2010, 38(2): 23-27. |
| [13] | 王梦玉, 章至洁. 北方煤矿床充水与岩溶水系统[J]. 煤炭学报, 1991(4): 1-13. |
| [14] |
崔永谦, 汪建国, 田建章, 等. 华北地台中北部寒武系—奥陶系白云岩储层特征及主控因素[J]. 石油学报, 2018, 39(8): 890-901.
DOI |
| [15] | 张兵, 郑荣才, 王绪本, 等. 四川盆地东部黄龙组古岩溶特征与储集层分布[J]. 石油勘探与开发, 2011, 38(3): 257-267. |
| [16] |
DURINGER P, BACON A M, SAYAVONGKHAMDY T, et al. Karst development, breccias history, and mammalian assemblages in Southeast Asia: a brief review[J]. Comptes Rendus Palevol, 2012, 11(2/3):133-157.
DOI URL |
| [17] | 王宝清, 王凤琴, 魏新善, 等. 鄂尔多斯盆地东部太原组古岩溶特征[J]. 地质学报, 2006(5): 700-704,782. |
| [18] | 张军涛, 金晓辉, 李淑筠, 等. 鄂尔多斯盆地奥陶系马五段孔隙充填物类型与成因[J]. 石油与天然气地质, 2016, 37(5): 684-690. |
| [19] |
魏新善, 任军峰, 赵俊兴, 等. 鄂尔多斯盆地东部奥陶系风化壳古地貌特征嬗变及地质意义[J]. 石油学报, 2017, 38(9): 999-1009.
DOI |
| [20] | 胡修权, 施泽进, 田亚铭, 等. 川东南地区茅口组岩溶古地貌恢复及特征[J]. 地质通报, 2014, 33(6): 874-882. |
| [21] | 甘林堂. 地面钻井抽采被保护层采动区卸压瓦斯技术研究[J]. 煤炭科学技术, 2019, 47(11): 110-115. |
| [22] |
ZHANG H, XU G, ZHAN H, et al. Formation mechanisms of paleokarst and karst collapse columns of the Middle Cambrian-Lower Ordovician carbonates in Huainan Coalfield, northern China[J]. Journal of Hydrology, 2021, 601: 126634.
DOI URL |
| [23] |
LIANG Y, GAO X, ZHAO C, et al. Review: characterization, evolution, and environmental issues of karst water systems in northern China[J]. Hydrogeology Journal, 2018, 26(5): 1371-1385.
DOI |
| [24] | 甘林堂. 淮南矿区A组煤底板灰岩水防治及潘二矿突水事故原因分析[J]. 煤矿安全, 2018, 49(7): 171-174,180. |
| [25] |
ZHANG H, XU G, CHEN X, et al. Hydrogeochemical evolution of multilayer aquifers in a massive coalfield[J]. Environmental Earth Sciences, 2019, 78(24): 675.
DOI |
| [26] |
YANG T, XU G, CHEN K, et al. Characteristics and evolution of karst collapse columns in the Huainan Coalfield[J]. Science of the Total Environment, 2023, 900: 165841.
DOI URL |
| [27] |
ZHANG H, XU G, LIU M, et al. Formation environments and mechanisms of multistage paleokarst of Ordovician carbonates in Southern North China Basin[J]. Scientific Reports, 2021, 11(1): 819.
DOI PMID |
| [28] | 李定龙, 杨为民, 汪才会, 等. 皖北奥陶系古岩溶分期、分类及岩溶岩特征[J]. 淮南工业学院学报, 1999(1): 7-13. |
| [29] | 黎志豪, 许光泉, 高加林, 等. 淮南地区构造特征及其对岩溶作用的影响[J]. 煤田地质与勘探, 2018, 46(3): 121-126. |
| [30] | 程广琪, 刘登宪, 傅先杰, 等. 淮南煤田北西向断裂与岩溶陷落柱关系研究[J]. 煤炭科学技术, 2013, 41(10): 108-111. |
| [31] | 李小明, 朱丽, 李永军, 等. 淮南矿区岩溶发育特征及其富水规律[J]. 华北科技学院学报, 2010, 7(1): 8-11,22. |
| [32] | 许光泉, 何玉鹏, 张海涛, 等. 淮南潘集矿区奥陶系角砾岩发育特征及成因[J]. 安徽理工大学学报(自然科学版), 2023, 43(1): 15-25. |
| [33] | 丁同福, 汪敏华, 赵俊峰. 华北型淮南煤田大构造成因分析及构造控水研究[J]. 煤田地质与勘探, 2020, 48(4): 102-108. |
| [34] |
杨婷婷, 许光泉, 何玉鹏, 等. 安徽淮南舜耕山奥陶系古溶洞发育特征及成因[J]. 古地理学报, 2024, 26(3): 620-631.
DOI |
| [35] | 刘再华, DREYBRODT W, 李华举. 灰岩和白云岩溶解速率控制机理的比较[J]. 地球科学:中国地质大学学报, 2006(3): 411-416. |
| [36] | 田景春, 时国, 陈辉, 等. 南华北地区奥陶系古喀斯特特征及其储层前景[J]. 成都理工大学学报(自然科学版), 2009, 36(6): 598-604. |
| [37] |
XIAO D, TAN X, ZHANG D, et al. Discovery of syngenetic and eogenetic karsts in the Middle Ordovician gypsum-bearing dolomites of the eastern Ordos Basin (central China) and their heterogeneous impact on reservoir quality[J]. Marine and Petroleum Geology, 2019, 99: 190-207.
DOI URL |
| [38] | 陈世悦. 华北石炭二叠纪海平面变化对聚煤作用的控制[J]. 煤田地质与勘探, 2000(5): 8-11. |
| [39] | HACKER B R, WALLIS S R, RATSCHBACHER L, et al. High-temperature geochronology constraints on the tectonic history and architecture of the ultrahigh-pressure Dabie-Sulu Orogen[J]. Tectonics, 2006, 25(5): 2005TC001937. |
| [40] | 张国伟, 孟庆任, 于在平, 等. 秦岭造山带的造山过程及其动力学特征[J]. 中国科学(D辑:地球科学), 1996(3): 193-200. |
| [41] |
ZHU G, JIANG D, ZHANG B, et al. Destruction of the eastern North China Craton in a backarc setting: evidence from crustal deformation kinematics[J]. Gondwana Research, 2012, 22(1): 86-103.
DOI URL |
| [42] |
LIU L H, MA Y S, LIU B, et al. Hydrothermal dissolution of Ordovician carbonates rocks and its dissolution mechanism in Tarim Basin, China[J]. Carbonates and Evaporites, 2017, 32(4): 525-537.
DOI URL |
| [43] |
XIONG Y, TAN X, ZHONG S, et al. Dynamic paleokarst geochemistry within 130 Myr in the Middle Ordovician Shanganning carbonate platform, North China[J]. Palaeogeography, Palaeoclimatology, Palaeoecology, 2022, 591: 110879.
DOI URL |
| [44] |
ZHANG Y, ZHANG S, HUANG B, et al. Fluid inclusion, isotopic, and elemental geochemistry studies of cave-filling calcite in the Lower-Middle Ordovician Yingshan Formation of Tahe Oilfield, NW China: implication for karstification in non-exposed limestone[J]. Frontiers in Earth Science, 2022, 10: 842386.
DOI URL |
| [45] |
KEITH M L, WEBER J N. Carbon and oxygen isotopic composition of selected limestones and fossils[J]. Geochimica et Cosmochimica Acta, 1964, 28(10/11): 1787-1816.
DOI URL |
| [46] | 邵龙义, 窦建伟, 张鹏飞. 西南地区晚二叠世氧、碳稳定同位素的古地理意义[J]. 地球化学, 1996(6): 575-581. |
| [47] | 陆彦邦, 李勇, 王栋, 等. 两淮地区奥陶系沉积相及相模式[J]. 安徽地质, 1994(3): 48-56. |
| [48] | 张泓, 沈光隆, 何宗莲. 华北板块晚古生代古气候变化对聚煤作用的控制[J]. 地质学报, 1999(2): 131-139. |
| [49] | 申博恒, 沈树忠, 吴琼, 等. 华北板块石炭纪-二叠纪地层时间框架[J]. 中国科学:地球科学, 2022, 52(7): 1181-1212. |
| [50] |
HAN C, LIN C, LU X, et al. Petrological and geochemical constraints on fluid types and formation mechanisms of the Ordovician carbonate reservoirs in Tahe Oilfield, Tarim Basin, NW China[J]. Journal of Petroleum Science and Engineering, 2019, 178: 106-120.
DOI URL |
| [1] | 范翔, 刘桂建, 孙若愚, 孙梅. 淮南二叠纪含煤地层泥质岩地球化学特征及其地质意义[J]. 地学前缘, 2015, 22(4): 299-311. |
| 阅读次数 | ||||||
|
全文 |
|
|||||
|
摘要 |
|
|||||