地学前缘 ›› 2026, Vol. 33 ›› Issue (1): 50-62.DOI: 10.13745/j.esf.sf.2025.10.14

• 地下水-关键带相互作用与修复 • 上一篇    下一篇

子牙河流域植被净初级生产力时空演变及影响因素分析

张永成1,2,3(), 陈康1,2,3,*(), 桂英佳1,2,3, 张笑晨1,2,3   

  1. 1.河北省水资源可持续利用与产业结构优化协同创新中心, 河北 石家庄 052161
    2.河北地质大学 水资源与环境学院, 河北 石家庄 052161
    3.河北省水资源可持续利用与开发重点实验室, 河北 石家庄 052161
  • 收稿日期:2025-08-19 修回日期:2025-10-12 出版日期:2026-01-25 发布日期:2025-11-10
  • 通信作者: *陈 康(1982—),男,博士,教授,主要研究方向为地下水环境。E-mail: chenkang@hgu.edu.cn
  • 作者简介:张永成(2001—),男,硕士研究生,主要研究方向为地下水环境。E⁃mail: 2809913928@qq.com
  • 基金资助:
    地球深部探测与矿产资源勘查国家科技重大专项(2024ZD1000404);河北省水资源可持续利用与产业结构优化协同创新中心开放基金(XTCX202401);中国地质调查局地质调查项目(DD20160238);河北省教育厅高等教育教学改革研究与实践项目(2020GJJG224)

Exploring the spatio-temporal evolution and driving mechanisms of vegetation net primary productivity in the Ziya River Basin

ZHANG Yongcheng1,2,3(), CHEN Kang1,2,3,*(), GUI Yingjia1,2,3, ZHANG Xiaochen1,2,3   

  1. 1. Hebei Province Collaborative Innovation Center for Sustainable Utilization of Water Resources and Optimization of Industrial Structure, Shijiazhuang 052161, China
    2. School of Water Resources and Environment, Hebei GEO University, Shijiazhuang 052161, China
    3. Hebei Province Key Laboratory of Sustained Utilization and Development of Water Resources, Shijiazhuang 052161, China
  • Received:2025-08-19 Revised:2025-10-12 Online:2026-01-25 Published:2025-11-10

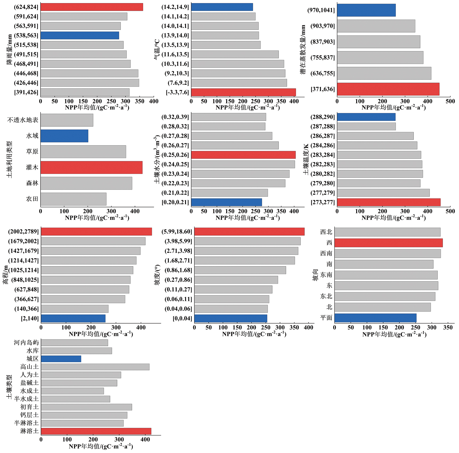
摘要: 探究子牙河流域植被净初级生产力(NPP)的时空演变规律及其驱动因素,厘清该区域的碳平衡状况,对促进生态环境可持续发展具有重要意义。基于2001—2023年MODIS NPP数据,综合考虑气候、土壤、地形、人类活动等因子,采用Theil-Sen趋势分析、Mann-Kendall显著性检验、Hurst指数等方法分析植被NPP的时空变化特征,使用参数最优地理探测器模型定量探测不同因子及其交互作用对植被NPP变化的影响。结果表明:(1)研究期内子牙河流域NPP年均值在224.86~371.21 gC·m-2·a-1波动,多年NPP值呈增加趋势,增速为4.53 gC·m-2·a-1。(2)NPP年均值高于400 gC·m-2·a-1的区域主要集中在流域西部山区,NPP年均值低于300 gC·m-2·a-1的区域主要分布于流域东部平原区。(3)研究期内年NPP变化以极显著上升和不显著上升为主,面积占比分别为67.21%和18.25%。呈下降趋势的区域面积占比为2.03%,零星分布于各城区周围,这与城市化进程加快有关。未来植被NPP变化以反持续性为主,反持续性上升面积占比为88.30%。(4)土壤温度、气温、高程、潜在蒸散发是植被NPP空间分异的主要影响因子,同时,具有双因子交互作用增强的特性,交互作用更好的解释了植被NPP的空间分异。研究结果有利于完善子牙河流域植被净初级生产力变化特征及其影响机制,可为该区域的固碳减排和生态保护提供科学参考。

关键词: 净初级生产力(NPP), 时空演变, 地理探测器模型, 子牙河流域

Abstract:

Understanding the spatio-temporal evolution and driving mechanisms of vegetation net primary productivity (NPP) in the Ziya River Basin is crucial for elucidating the regional carbon budget and promoting the sustainable development of its ecological environment. Based on MODIS NPP data from 2001 to 2022, this study comprehensively analyzed the effects of climate, soil, topography, and human activities. We utilized the Theil-Sen median trend analysis, Mann-Kendall significance test, and Hurst exponent method to examine the spatio-temporal variation characteristics of vegetation NPP. Furthermore, the optimal parameters-based geographical detector (OPGD) model was applied to quantitatively assess the impact of various factors and their interactions on vegetation NPP dynamics. The results showed that: (1) During the study period, the annual mean NPP in the basin fluctuated between 224.86 and 371.21 gC·m-2·a-1, exhibiting a significant increasing trend with a rate of 4.53 gC·m-2·a-1. (2) Spatially, areas with an annual average NPP higher than 400 gC·m-2·a-1 were primarily concentrated in the western mountainous regions, whereas areas with NPP lower than 300 gC·m-2·a-1 were mainly distributed in the eastern plains. (3) Over the study period, the changes in annual NPP were predominantly characterized by extremely significant and significant increases, accounting for 67.21% and 18.25% of the total area, respectively. In contrast, only 2.03% of the area showed a decreasing trend, which was sporadically distributed around urban districts and was associated with accelerated urbanization. Predictions based on the Hurst index suggest that future vegetation NPP changes are likely to be predominantly opposite to the past trend, with 88.30% of the area expected to experience a reversal from the previous increasing trajectory. (4) Soil temperature, air temperature, elevation, and potential evapotranspiration were identified as the primary factors influencing vegetation NPP. The interactions between these factors exhibited synergistic effects, yielding a greater explanatory power for the variation in vegetation NPP than any single factor alone. These findings contribute to a deeper understanding of the characteristics and driving mechanisms of vegetation NPP in the Ziya River Basin and provide a scientific basis for regional carbon sequestration, emission reduction, and ecological conservation efforts.

Key words: net primary productivity (NPP), spatio-temporal evolution, geographical detector model, Ziya River Basin

中图分类号: