

地学前缘 ›› 2024, Vol. 31 ›› Issue (6): 158-172.DOI: 10.13745/j.esf.sf.2024.7.16
王婉丽1,2(
), 段雅娟1, 张薇1,2, 朱喜1,2, 马峰1,2, 王贵玲1,2,*(
)
收稿日期:2024-01-05
修回日期:2024-04-25
出版日期:2024-11-25
发布日期:2024-11-25
通信作者:
*王贵玲(1964—),男,博士,研究员,博士生导师,主要从事地下水资源与地热研究工作。E-mail: guilingw@163.com
作者简介:王婉丽(1985—),女,博士,硕士生导师,主要从事地热资源勘查和评价方面研究工作。E-mail: wanliwang2010@163.com
基金资助:
WANG Wanli1,2(
), DUAN Yajuan1, ZHANG Wei1,2, ZHU Xi1,2, MA Feng1,2, WANG Guiling1,2,*(
)
Received:2024-01-05
Revised:2024-04-25
Online:2024-11-25
Published:2024-11-25
摘要:
浅层地热能潜力巨大,其合理利用可极大促进城市节能减排和绿色发展。城市尺度浅层地热能利用除与地质条件密切相关外,还受城市规划影响。本文以雄安新区起步区控制性规划为基础,通过综述城市尺度浅层地热能开发利用的主要控制因素,制定空间适宜性评价和指引导则的工作流程。充分考虑地质因素、资源因素和社会生态因素对浅层地热能开发的制约,结合地温测量、热物性测试、现场热响应试验等室内和现场测试数据,对雄安新区起步区已规划的30个的管控单元进行单要素分析,开展浅层地热能开发综合评价并制定开发指引导则。结果显示,地温场条件、水文地质条件、热传导性能、热容量、供暖制冷面积、城市规划和地面沉降是影响雄安新区浅层地热能利用的直接因素。研究区浅层地热能开发适宜性好的单元占43%,主要分布在北部A、B、C和D单元,以可利用区为主,综合导热能力高,单位供暖制冷面积大,具有比较适宜的浅层地热能赋存条件;适宜性中等单元占33%,主要分布在E单元和其他单元的零星区域,其特点为综合导热能力中等,单位供暖制冷面积和热容量偏小;适宜性差单元占23%,主要集中在南部F单元,该区域水系丰富,受空间规划的影响,开发利用受到制约。研究成果为雄安新区起步区的浅层地热能资源利用和开发提供了支撑,也为城市尺度下浅层地热能资源的规范性评价提供参考依据。
中图分类号:
王婉丽, 段雅娟, 张薇, 朱喜, 马峰, 王贵玲. 基于管控单元的城市尺度浅层地热能开发控制因素及指引导则:以雄安新区起步区为例[J]. 地学前缘, 2024, 31(6): 158-172.
WANG Wanli, DUAN Yajuan, ZHANG Wei, ZHU Xi, MA Feng, WANG Guiling. Control factors and guidelines for urban-scale shallow geothermal energy development based on control units: An example from Xiong’an[J]. Earth Science Frontiers, 2024, 31(6): 158-172.
| 钻孔编号 | 位置 | 孔深/m | 取样测试/件 | 热响应试验周期/h | 温度监测 |
|---|---|---|---|---|---|
| GQC01 | 容城县大河镇大河村 | 100 | 23 | 187 | √ |
| GQC02 | 安新县大王镇尹庄村 | 120 | 18 | 190 | √ |
| GQC03 | 安新县大王镇小王村 | 150 | 25 | 187 | √ |
| GQC04 | 安新县大王镇南六村 | 100 | 20 | 213 | √ |
| GQC05 | 容城县南张镇西牛村 | 120 | 23 | 170 | |
| GQC06 | 容城县小里镇新庄窠村 | 120 | 27 | 138 |
表1 钻孔综合信息表
Table 1 Basic information on the field experiment
| 钻孔编号 | 位置 | 孔深/m | 取样测试/件 | 热响应试验周期/h | 温度监测 |
|---|---|---|---|---|---|
| GQC01 | 容城县大河镇大河村 | 100 | 23 | 187 | √ |
| GQC02 | 安新县大王镇尹庄村 | 120 | 18 | 190 | √ |
| GQC03 | 安新县大王镇小王村 | 150 | 25 | 187 | √ |
| GQC04 | 安新县大王镇南六村 | 100 | 20 | 213 | √ |
| GQC05 | 容城县南张镇西牛村 | 120 | 23 | 170 | |
| GQC06 | 容城县小里镇新庄窠村 | 120 | 27 | 138 |
| 钻孔编号 | 初始地温工况 | 取热工况 | 排热工况1 | 排热工况2 | |||
|---|---|---|---|---|---|---|---|
| 试验时长/h | 试验时长/h | 温度/℃ | 试验时长/h | 温度/℃ | 试验时长/h | 温度/℃ | |
| GQC01 | 21 | 45 | 8.3 | 45 | 25.4 | 45 | 29.9 |
| GQC02 | 21 | 45 | 8.7 | 45 | 28.5 | 45 | 31.3 |
| GQC03 | 21 | 45 | 9.3 | 45 | 28.7 | 45 | 31.1 |
| GQC04 | 21 | 45 | 8.9 | 45 | 28.2 | 45 | 31.1 |
| GQC05 | 21 | 45 | 8.7 | 45 | 19.0 | 45 | 28.2 |
| GQC06 | 21 | 45 | 7.3 | 24 | 23.5 | 19 | 28.7 |
表2 现场热响应试验数据表
Table 2 Measurement data from thermal response tests (TRT)
| 钻孔编号 | 初始地温工况 | 取热工况 | 排热工况1 | 排热工况2 | |||
|---|---|---|---|---|---|---|---|
| 试验时长/h | 试验时长/h | 温度/℃ | 试验时长/h | 温度/℃ | 试验时长/h | 温度/℃ | |
| GQC01 | 21 | 45 | 8.3 | 45 | 25.4 | 45 | 29.9 |
| GQC02 | 21 | 45 | 8.7 | 45 | 28.5 | 45 | 31.3 |
| GQC03 | 21 | 45 | 9.3 | 45 | 28.7 | 45 | 31.1 |
| GQC04 | 21 | 45 | 8.9 | 45 | 28.2 | 45 | 31.1 |
| GQC05 | 21 | 45 | 8.7 | 45 | 19.0 | 45 | 28.2 |
| GQC06 | 21 | 45 | 7.3 | 24 | 23.5 | 19 | 28.7 |
| 负荷类别 | 建筑物负荷/(W·m-2) |
|---|---|
| 冷负荷 | 131.0 |
| 热负荷 | 78.5 |
表3 不同建筑冷热负荷取值一览表
Table 3 Cooling and heating loads for buildings
| 负荷类别 | 建筑物负荷/(W·m-2) |
|---|---|
| 冷负荷 | 131.0 |
| 热负荷 | 78.5 |
| 因素 | 指标 | 重要性 | 数据来源 |
|---|---|---|---|
| 地质因素 | 地温场条件 | 决定了浅层地热可交换的基础温度 | 通过地温监测数据获取,表层地温受气温影响,本次实测 |
| 水文地质条件 | 影响浅层地热能赋存的条件,包括地层、岩性、地下水的径流等 | 通过进行水文地质调查,对岩土体进行钻探取样,数据来源于实测及文献和资料的收集 | |
| 综合导热能力 | 反映岩土体与地埋管的热交换能力 | 通过开展热响应试验获取,本次实测 | |
| 资源因素 | 热容量 | 反映了浅层地热能的开发利用潜力 | 通过室内测试获得相关参数数据,采用体积法进行评价,本次实测 |
| 供暖制冷面积 | 反映了浅层地热能的实际可利用能力 | 利用热响应试验数据获取基本参数,结合建筑物冷热负荷计算,本次实测计算 | |
| 社会生态 因素 | 规划分区 | 决定浅层地热能的可利用区域 | 结合生态空间、城镇空间和地下空间的规划用途方面的要素 |
| 地面沉降率 | 影响地埋管的长期使用 | 通过InSAR技术获取地面变形速率,数据来源于文献和资料收集 |
表4 本文使用数据集和方法
Table 4 Controlling factors used in the current study
| 因素 | 指标 | 重要性 | 数据来源 |
|---|---|---|---|
| 地质因素 | 地温场条件 | 决定了浅层地热可交换的基础温度 | 通过地温监测数据获取,表层地温受气温影响,本次实测 |
| 水文地质条件 | 影响浅层地热能赋存的条件,包括地层、岩性、地下水的径流等 | 通过进行水文地质调查,对岩土体进行钻探取样,数据来源于实测及文献和资料的收集 | |
| 综合导热能力 | 反映岩土体与地埋管的热交换能力 | 通过开展热响应试验获取,本次实测 | |
| 资源因素 | 热容量 | 反映了浅层地热能的开发利用潜力 | 通过室内测试获得相关参数数据,采用体积法进行评价,本次实测 |
| 供暖制冷面积 | 反映了浅层地热能的实际可利用能力 | 利用热响应试验数据获取基本参数,结合建筑物冷热负荷计算,本次实测计算 | |
| 社会生态 因素 | 规划分区 | 决定浅层地热能的可利用区域 | 结合生态空间、城镇空间和地下空间的规划用途方面的要素 |
| 地面沉降率 | 影响地埋管的长期使用 | 通过InSAR技术获取地面变形速率,数据来源于文献和资料收集 |
| 钻孔编号 | 初始地温/℃ | 换热量(Q)与流体进出口平均温度(Tf)关系式 | 综合热导率/(W·m-1·K-1) |
|---|---|---|---|
| GQC01 | 16.90 | Q=4.200 9Tf-71.478 (R2=0.999 1) | 1.72 |
| GQC02 | 16.78 | Q=3.463Tf-57.531 (R2=0.998 2) | 1.55 |
| GQC03 | 17.72 | Q=3.922Tf-65.493 (R2=0.995 3) | 1.65 |
| GQC04 | 15.66 | Q=3.993Tf-62.942 (R2=0.999 9) | 1.65 |
| GQC05 | 16.11 | Q=5.069Tf-78.665 (R2=0.996 6) | 1.80 |
| GQC06 | 14.93 | Q=4.167Tf-60.189 (R2=0.997 3) | 1.62 |
表5 热响应试验成果一览表
Table 5 TRT Results
| 钻孔编号 | 初始地温/℃ | 换热量(Q)与流体进出口平均温度(Tf)关系式 | 综合热导率/(W·m-1·K-1) |
|---|---|---|---|
| GQC01 | 16.90 | Q=4.200 9Tf-71.478 (R2=0.999 1) | 1.72 |
| GQC02 | 16.78 | Q=3.463Tf-57.531 (R2=0.998 2) | 1.55 |
| GQC03 | 17.72 | Q=3.922Tf-65.493 (R2=0.995 3) | 1.65 |
| GQC04 | 15.66 | Q=3.993Tf-62.942 (R2=0.999 9) | 1.65 |
| GQC05 | 16.11 | Q=5.069Tf-78.665 (R2=0.996 6) | 1.80 |
| GQC06 | 14.93 | Q=4.167Tf-60.189 (R2=0.997 3) | 1.62 |
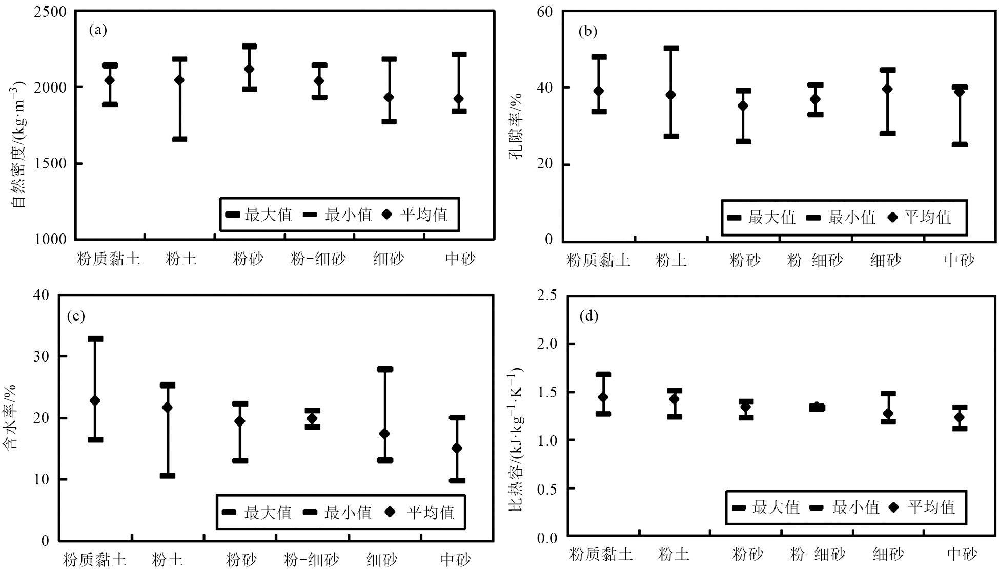
图7 岩土体基本物理性质和热物理性质参数统计图 a—自然密度;b—孔隙率;c—含水率;d—比热容。
Fig.7 Physical and thermophysical parameters for different sediment types. (a) Natural density. (b) Porosity. (c) Moisture content. (d) Specific heat capacity.
| [1] | 韩再生, 冉伟彦, 佟红兵, 等. 浅层地热能勘查评价[J]. 中国地质, 2007, 34(6): 1115-1121. |
| [2] |
王贵玲, 刘彦广, 朱喜, 等. 中国地热资源现状及发展趋势[J]. 地学前缘, 2020, 27(1): 1-9.
DOI |
| [3] | 王贵玲, 蔺文静. 我国主要水热型地热系统形成机制与成因模式[J]. 地质学报, 2020, 94(7): 1923-1937. |
| [4] | 王贵玲, 蔺文静, 刘峰, 等. 地热系统深部热能聚敛理论及勘查实践[J]. 地质学报, 2023, 97(3): 639-660. |
| [5] | MARVUGLIA A, HAVINGA L, HEIDRICH O, et al. Advances and challenges in assessing urban sustainability: an advanced bibliometric review[J]. Renewable and Sustainable Energy Reviews, 2020, 124: 109788. |
| [6] | LUND J W, TOTH A N. Direct utilization of geothermal energy 2020 worldwide review[J]. Geothermics, 2021, 90: 101915. |
| [7] | LUO J, ZHANG Q, LIANG C M, et al. An overview of the recent development of the Ground Source Heat Pump (GSHP) system in China[J]. Renewable Energy, 2023, 210: 269-279. |
| [8] | 谢克昌, 严晓辉, 高丹. 新形势下京津冀能源高质量发展的思考与建议[J]. 宏观经济管理, 2022(1): 40-44, 51. |
| [9] | LIN W J, WANG G L, GAN H N, et al. Heat source model for Enhanced Geothermal Systems (EGS) under different geological conditions in China[J]. Gondwana Research, 2023, 122: 243-259. |
| [10] | 朱喜, 王贵玲, 马峰, 等. 雄安新区地热资源潜力评价[J]. 地球科学, 2023(3): 1093-1106. |
| [11] | 吴爱民, 马峰, 王贵玲, 等. 雄安新区深部岩溶热储探测与高产能地热井参数研究[J]. 地球学报, 2018, 39(5): 523-532. |
| [12] | RAMOS-ESCUDERO A, GARCÍA-CASCALES M S, CUEVAS J M, et al. Spatial analysis of indicators affecting the exploitation of shallow geothermal energy at European scale[J]. Renewable Energy, 2021, 167: 266-281. |
| [13] | 周阳, 穆根胥, 刘建强, 等. 基于层次分析法的关中盆地主要城市浅层地热能适宜性分区特征研究[J]. 节能, 2017, 36(2): 24-27, 2. |
| [14] | YUAN R, WANG G, LIU F, et al. Evaluation of shallow geothermal energy resources in the Beijing-Tianjin-Hebei Plain based on land use[J]. Groundwater Science and Engineering, 2021, 9(2): 129-139. |
| [15] | 王婉丽, 王贵玲, 朱喜, 等. 中国省会城市浅层地热能开发利用条件及潜力评价[J]. 中国地质, 2017, 44(6): 1062-1073. |
| [16] | 邓凤强, 裴鹏. 复杂地质条件下浅层地热能场地开发适宜性评价[J]. 建筑节能(中英文), 2022(12): 111-118. |
| [17] | 李强, 张继, 陈思宏, 等. 成都市浅层地热能资源调查与评价[J]. 沉积与特提斯地质, 2023, 43(2): 271-282. |
| [18] | 朱巍. 城市浅层地热能开发利用适宜性区划及可持续开发利用模式研究: 以大连市主城区为例[D]. 长春: 吉林大学, 2021. |
| [19] | 丁美青. 安徽省六安市城区浅层地热能开发利用适宜性评价[J]. 城市地质, 2023, 18(1): 55-61. |
| [20] | 卢玮, 尚永升, 申云飞. 浅层地热能地下换热系统适宜性评价与优化设计: 以郑州市浅层地热能示范工程为例[J]. 钻探工程, 2022, 49(3): 146-153. |
| [21] | 时国凯, 姚文江, 王宽彪. 淮安城市规划区浅层地热能开发利用适宜性分区及潜力评价[J]. 城市地质, 2022, 17(2): 210-220. |
| [22] | ZHU X, ZHANG Q L, WANG W L, et al. Study on the influencing factors of rock-soil thermophysical parameters in shallow geothermal energy[J]. Journal of Groundwater Science and Engineering, 2015, 3(3): 256-267. |
| [23] |
马震, 黄庆彬, 林良俊, 等. 雄安新区多要素城市地质调查实践与应用[J]. 华北地质, 2022, 45(1): 58-68.
DOI |
| [24] | 中共河北雄安新区工作委员会. 河北雄安新区起步区控制性规划[EB/OL]. (2020-01-15)[2022-01-15]. http://www.xiongan.gov.cn/2020-01/15/c_1210440042.htm. |
| [25] | 马震, 夏雨波, 李海涛, 等. 雄安新区自然资源与环境-生态地质条件分析[J]. 中国地质, 2021, 48(3): 677-696. |
| [26] | 李海涛, 凤蔚, 王凯霖, 等. 雄安新区地下水资源概况、特征及可开采潜力[J]. 中国地质, 2021, 48(4): 1112-1126. |
| [27] | 张兆吉, 费宇红. 华北平原地下水可持续利用图集[CM]. 北京: 中国地图出版社, 2009. |
| [28] | 李静, 张帅, 刘亚兰, 等. 合肥市浅层地温场分布特征及影响因素分析[J]. 上海国土资源, 2021, 42(3): 33-37. |
| [29] | 王婉丽, 王贵玲, 刘春雷, 等. 华北平原主要城市浅层岩土综合导热能力研究: 基于现场热响应试验分析[J]. 地质学报, 2020, 94(7): 2089-2095. |
| [30] | SPITLER J D, GEHLIN S E A. Thermal response testing for ground source heat pump systems-an historical review[J]. Renewable and Sustainable Energy Reviews, 2015, 50: 1125-1137. |
| [31] | WANG H J, QI C Y, DU H P, et al. Improved method and case study of thermal response test for borehole heat exchangers of ground source heat pump system[J]. Renewable Energy, 2010, 35(3): 727-733. |
| [32] | INGERAOLL L R, PLASS H J. Theory of the ground pipe heat source for the heat pump[J]. ASHRAE Transactions, 1948(47): 339-348. |
| [33] | 中华人民共和国国土资源部. 浅层地热能勘查评价规范: DZ/T 0225—2009[S]. 北京: 中国标准出版社, 2009. |
| [34] | 许苗娟, 姜媛, 谢振华, 等. 基于层次分析法的北京市平原区水源热泵适宜性分区研究[J]. 城市地质, 2009, 4(1): 18-21, 10. |
| [35] | 上海市规划和自然资源局. 上海市浅层地热能开发利用详细分区指引导则(宝山区)[EB/OL]. (2021-08-04)[2022-08-04]. https://hd.ghzyj.sh.gov.cn/dzkc/qcdrnkdly208/202108/t20210804_1026065.html. |
| [36] | 马峰, 王贵玲, 张薇, 等. 古潜山热储开发对地面沉降的影响机制研究[J]. 中国地质, 2021, 48(1): 40-51. |
| [37] | 冉培廉, 李少达, 戴可人, 等. 雄安新区2017—2019年地面沉降SBAS-InSAR监测与分析[J]. 河南理工大学学报(自然科学版), 2022, 41(3): 66-73. |
| [1] | 曹胜桃, 胡瑞忠, 周永章, 刘建中, 谭亲平, 高伟, 郑禄林, 郑禄璟, 宋威方. 基于大数据关联规则算法的卡林型金矿床元素富集规律及找矿方法研究[J]. 地学前缘, 2024, 31(4): 58-72. |
| [2] | 朱茂林, 刘震, 刘惠民, 张鹏飞, 赵振. 东营凹陷北带基岩风化壳储层发育特征及控制因素[J]. 地学前缘, 2024, 31(3): 324-336. |
| [3] | 张元福, 王敏, 张森, 孙世坦, 李鑫鑫, 袁晓冬, 黄云英, 张晓晗. 现代河流扇的全球分布、类型及控制因素[J]. 地学前缘, 2023, 30(4): 389-404. |
| [4] | 王宏语, 李瑞磊, 朱建峰, 张浩宇. 松辽盆地梨树断陷构造沉积学特征及发育机制[J]. 地学前缘, 2023, 30(4): 112-127. |
| [5] | 王宏语, 张峰, 杨雄兵. 塞内加尔盆地北部次盆白垩系被动大陆边缘深海扇演化特征及主控因素[J]. 地学前缘, 2021, 28(2): 362-375. |
| [6] | 张琴, 朱筱敏, 毛凌, 孙祖宇, 周琛, 苏康, 杨立干. 苏北盆地金湖凹陷古近系戴南组孔隙演化及次生孔隙成因分析[J]. 地学前缘, 2021, 28(1): 190-201. |
| [7] | 王贵玲, 刘彦广, 朱喜, 张薇. 中国地热资源现状及发展趋势[J]. 地学前缘, 2020, 27(1): 1-9. |
| [8] | 金杰华,操应长,王健,杨田,刘娟,王心怿,王淑萍. 涠西南凹陷陡坡带流一段上亚段异重流沉积新发现[J]. 地学前缘, 2019, 26(4): 250-258. |
| [9] | 刘圣乾,刘晖,姜在兴,夏中源,庞守吉,马文贤. 青海南部冻土区天然气水合物成藏控制因素[J]. 地学前缘, 2017, 24(6): 242-253. |
| [10] | 程荣, 肖永军, 林会喜, 柳忠泉, 王大华. 柴达木盆地北缘东段石炭系残留分布及控制因素[J]. 地学前缘, 2016, 23(5): 75-85. |
| [11] | 朱炎铭,王阳,陈尚斌. 页岩储层孔隙结构多尺度定性定量综合表征:以上扬子海相龙马溪组为例[J]. 地学前缘, 2016, 23(1): 154-163. |
| [12] | 陈飞, 胡光义, 范廷恩, 孙立春, 高云峰, 王晖. 渤海海域W油田新近系明化镇组河流相砂体结构特征[J]. 地学前缘, 2015, 22(2): 207-213. |
| [13] | 杨华, 钟大康, 姚泾利, 刘显阳, 马石玉, 樊林林. 鄂尔多斯盆地陇东地区延长组砂岩储层孔隙成因类型及其控制因素[J]. 地学前缘, 2013, 20(2): 69-76. |
| [14] | 许延波,颜丹平,俞天石,王翔. 雨海地区月岭分布特征及控制因素分析[J]. 地学前缘, 2012, 19(6): 60-71. |
| [15] | 姚光庆, 张建光, 姜平, 李茂. 涠西南凹陷11-7构造区流沙港组中深层有效储层下限厘定[J]. 地学前缘, 2012, 19(2): 102-109. |
| 阅读次数 | ||||||
|
全文 |
|
|||||
|
摘要 |
|
|||||