

地学前缘 ›› 2021, Vol. 28 ›› Issue (5): 380-412.DOI: 10.13745/j.esf.sf.2020.12.9
黄海永1,2,3(
), 徐扬1,2,4,*(
), 尹须伟1,3, 杨坤光4, 刘雨4
收稿日期:2020-04-10
修回日期:2020-09-01
出版日期:2021-09-25
发布日期:2021-10-30
通信作者:
徐扬
作者简介:黄海永(1996—),男,硕士研究生,矿物学、岩石学、矿床学专业。E-mail: huanghaiyong96@163.com
基金资助:
HUANG Haiyong1,2,3(
), XU Yang1,2,4,*(
), YIN Xuwei1,3, YANG Kunguang4, LIU Yu4
Received:2020-04-10
Revised:2020-09-01
Online:2021-09-25
Published:2021-10-30
Contact:
XU Yang
摘要:
白垩纪碰撞后花岗岩是研究大别造山带碰撞后伸展垮塌的重要载体,西大别南缘的桥店花岗斑岩脉为约束大别山碰撞后构造机制转化提供了新的约束信息。SIMS和LA-ICP-MS锆石定年结果表明,桥店花岗斑岩脉侵位年龄约为129 Ma,并具有富集的锆石Hf同位素组成(εHf(t)=-24.5-14.7)和古元古代二阶段模式年龄(2.41.9 Ga)。矿物组成上,花岗斑岩脉以富含粗粒的长石斑晶为主要特征。它们具有变化的SiO2含量(63.07%73.22%)和A/CNK值(0.871.73),同时具有高的K2O(4.51%5.47%)、低的MgO (0.42%1.82%)含量,属于高钾钙碱性花岗岩类。岩石的轻稀土元素相对重稀土元素富集,具有Eu的负异常(Eu/Eu*=0.770.92);同时富集Rb、Ba和Pb,而亏损Nb、Ta和Ti。相较于典型埃达克质岩石,桥店花岗斑岩的Sr含量(78×10-6724 ×10 -6)变化较大,Y(11.8×10-614.8×10-6)和Yb(1.09×10-61.37×10-6)含量相对较高,对应的Sr/Y(6.755.5)和(La/Yb)N(29.634.2)比值较低。以上地球化学特征,结合古元古代的残留锆石和二阶段铪模式年龄,共同反映出桥店花岗斑岩是区内古元古代下地壳物质在中-低压力条件下部分熔融的产物。与区域上碰撞后岩浆岩的对比研究表明,桥店花岗斑岩的侵位指示了西大别地壳在约129 Ma已经开始减薄,西大别白垩纪加厚下地壳的拆沉及构造机制转换的时间可能在约130 Ma前后。
中图分类号:
黄海永, 徐扬, 尹须伟, 杨坤光, 刘雨. 西大别桥店花岗斑岩脉的形成时代、岩石成因及其大地构造意义[J]. 地学前缘, 2021, 28(5): 380-412.
HUANG Haiyong, XU Yang, YIN Xuwei, YANG Kunguang, LIU Yu. Geochronology, petrogenesis and tectonic implications of the Qiaodian granite porphyry from the western Dabie Orogenic Belt, Central China[J]. Earth Science Frontiers, 2021, 28(5): 380-412.
图1 西大别造山带的大地构造位置(a)及构造单元划分地质简图(b)(据文献[23,24]修改)
Fig.1 Simplified geological map of western Dabie Orogenic Belt showing the tectonic location (a) and subdivisions (b). Modified after [23,24].
图3 桥店花岗斑岩的野外照片和显微照片 a—花岗斑岩脉侵入红安岩群片麻岩(DW223);b—花岗斑岩脉(DW223)斑晶主要为自形钾长石,次要为斜长石;c—花岗斑岩脉顺层侵入红安岩群片麻岩(DW225);d—花岗斑岩脉斑晶主要为自形钾长石及少量的石英(DW227);e—花岗斑岩脉边缘的捕虏体;f—样品DW131显微照片,可见由条纹长石和斜长石共同组成的粗大斑晶。Pt3Ha—红安岩区片麻岩;γπK1—花岗斑岩;Kfs—钾长石;Pl—斜长石;Qtz—石英。
Fig.3 Field photographs and photomicrographs of the Qiaodian granite porphyry
| 样品点号 | wB/10-6 | Th/U | 207Pb/206Pb | ±1σ | 207Pb/235U | ±1σ | 206Pb/238U | ±1σ | t207/206/ Ma | ±1σ | t207/235/ Ma | ±1σ | t206/238/ Ma | ±1σ | |
|---|---|---|---|---|---|---|---|---|---|---|---|---|---|---|---|
| Th | U | ||||||||||||||
| DW131 | |||||||||||||||
| 1 | 162 | 284 | 0.57 | 0.047 5 | 0.028 0 | 0.131 1 | 0.032 0 | 0.020 0 | 0.015 6 | 76 | 65 | 125 | 4 | 128 | 2 |
| 2 | 225 | 250 | 0.90 | 0.050 2 | 0.025 3 | 0.138 7 | 0.030 7 | 0.020 0 | 0.017 4 | 205 | 58 | 132 | 4 | 128 | 2 |
| 3 | 132 | 209 | 0.63 | 0.062 7 | 0.936 1 | 0.181 3 | 0.936 7 | 0.021 0 | 0.033 7 | 697 | 1 279 | 169 | 158 | 134 | 4 |
| 4 | 129 | 263 | 0.49 | 0.047 9 | 0.025 1 | 0.133 0 | 0.031 3 | 0.020 1 | 0.018 6 | 93 | 58 | 127 | 4 | 129 | 2 |
| 5 | 283 | 371 | 0.76 | 0.048 9 | 0.020 8 | 0.136 7 | 0.026 5 | 0.020 3 | 0.016 4 | 145 | 48 | 130 | 3 | 129 | 2 |
| 6 | 218 | 391 | 0.56 | 0.049 0 | 0.029 0 | 0.134 6 | 0.035 8 | 0.019 9 | 0.020 9 | 148 | 67 | 128 | 4 | 127 | 3 |
| 7 | 120 | 230 | 0.52 | 0.049 1 | 0.031 4 | 0.139 2 | 0.035 0 | 0.020 6 | 0.015 6 | 153 | 72 | 132 | 4 | 131 | 2 |
| 8 | 666 | 622 | 1.07 | 0.048 4 | 0.019 5 | 0.133 8 | 0.025 5 | 0.020 0 | 0.016 4 | 121 | 45 | 127 | 3 | 128 | 2 |
| 9 | 143 | 188 | 0.76 | 0.050 0 | 0.039 1 | 0.138 6 | 0.042 0 | 0.020 1 | 0.015 4 | 194 | 88 | 132 | 5 | 128 | 2 |
| 10 | 64 | 120 | 0.53 | 0.126 3 | 0.011 0 | 3.614 5 | 0.028 5 | 0.207 6 | 0.026 3 | 2 047 | 19 | 1 553 | 23 | 1 216 | 29 |
| 11 | 17 | 66 | 0.27 | 0.146 5 | 0.011 0 | 5.921 4 | 0.018 7 | 0.293 1 | 0.015 1 | 2 306 | 19 | 1 964 | 16 | 1 657 | 22 |
| 12 | 167 | 168 | 1.00 | 0.048 7 | 0.050 9 | 0.136 8 | 0.053 2 | 0.020 4 | 0.015 6 | 135 | 115 | 130 | 7 | 130 | 2 |
| 13 | 157 | 234 | 0.67 | 0.048 4 | 0.026 0 | 0.138 4 | 0.030 4 | 0.020 7 | 0.015 7 | 120 | 60 | 132 | 4 | 132 | 2 |
| 14 | 123 | 216 | 0.57 | 0.048 2 | 0.027 1 | 0.136 9 | 0.032 1 | 0.020 6 | 0.017 2 | 108 | 63 | 130 | 4 | 132 | 2 |
| 15 | 437 | 556 | 0.79 | 0.049 6 | 0.023 3 | 0.133 0 | 0.027 7 | 0.019 4 | 0.015 0 | 178 | 53 | 127 | 3 | 124 | 2 |
| 16 | 130 | 256 | 0.51 | 0.048 4 | 0.024 8 | 0.138 1 | 0.029 2 | 0.020 7 | 0.015 3 | 121 | 57 | 131 | 4 | 132 | 2 |
| 17 | 151 | 168 | 0.90 | 0.049 6 | 0.038 7 | 0.135 9 | 0.044 0 | 0.019 9 | 0.021 1 | 178 | 88 | 129 | 5 | 127 | 3 |
| 18 | 136 | 268 | 0.51 | 0.050 0 | 0.024 3 | 0.139 1 | 0.028 7 | 0.020 2 | 0.015 4 | 193 | 55 | 132 | 4 | 129 | 2 |
| 19 | 842 | 1 103 | 0.76 | 0.048 3 | 0.018 6 | 0.140 0 | 0.024 2 | 0.021 0 | 0.015 4 | 113 | 43 | 133 | 3 | 134 | 2 |
| 20 | 117 | 162 | 0.72 | 0.047 7 | 0.037 8 | 0.137 0 | 0.041 0 | 0.020 8 | 0.015 9 | 86 | 87 | 130 | 5 | 133 | 2 |
| DW223 | |||||||||||||||
| 1 | 129 | 122 | 1.06 | 0.071 8 | 0.006 2 | 0.217 0 | 0.016 3 | 0.022 9 | 0.000 5 | 981 | 178 | 199 | 14 | 146 | 3 |
| 2 | 102 | 131 | 0.78 | 0.041 8 | 0.003 1 | 0.116 9 | 0.008 5 | 0.020 3 | 0.000 4 | — | — | 112 | 8 | 130 | 23 |
| 3 | 111 | 121 | 0.91 | 0.053 9 | 0.006 2 | 0.127 7 | 0.014 0 | 0.018 1 | 0.000 9 | 369 | 261 | 122 | 13 | 116 | 5 |
| 4 | 286 | 293 | 0.98 | 0.049 8 | 0.004 4 | 0.133 5 | 0.008 7 | 0.019 1 | 0.000 4 | 183 | 206 | 127 | 8 | 122 | 3 |
| 5 | 213 | 225 | 0.95 | 0.045 5 | 0.002 6 | 0.124 9 | 0.007 0 | 0.020 0 | 0.000 4 | — | — | 120 | 6 | 128 | 2 |
| 6 | 66 | 92 | 0.72 | 0.054 0 | 0.005 5 | 0.136 1 | 0.013 1 | 0.019 0 | 0.000 6 | 372 | 233 | 130 | 12 | 121 | 4 |
| 7 | 131 | 147 | 0.89 | 0.050 9 | 0.003 6 | 0.134 6 | 0.009 1 | 0.019 4 | 0.000 4 | 239 | 165 | 128 | 8 | 124 | 3 |
| 8 | 118 | 145 | 0.81 | 0.051 6 | 0.003 8 | 0.144 5 | 0.010 0 | 0.020 5 | 0.000 5 | 333 | 170 | 137 | 9 | 131 | 3 |
| 9 | 547 | 548 | 1.00 | 0.048 2 | 0.001 8 | 0.137 5 | 0.005 1 | 0.020 5 | 0.000 3 | 109 | 87 | 131 | 5 | 131 | 2 |
| 10 | 6 782 | 2 370 | 2.86 | 0.046 0 | 0.001 8 | 0.116 9 | 0.004 6 | 0.018 2 | 0.000 3 | — | — | 112 | 4 | 117 | 2 |
| 11 | 158 | 192 | 0.82 | 0.046 5 | 0.002 7 | 0.130 0 | 0.007 4 | 0.020 4 | 0.000 3 | 33 | 133 | 124 | 7 | 130 | 2 |
| 12 | 757 | 740 | 1.02 | 0.048 6 | 0.001 6 | 0.133 6 | 0.004 7 | 0.019 9 | 0.000 3 | 128 | 75 | 127 | 4 | 127 | 2 |
| 13 | 469 | 439 | 1.07 | 0.051 5 | 0.002 3 | 0.144 2 | 0.005 5 | 0.020 2 | 0.000 3 | 261 | 106 | 137 | 5 | 129 | 2 |
| 14 | 117 | 157 | 0.74 | 0.054 5 | 0.003 3 | 0.140 6 | 0.007 9 | 0.019 0 | 0.000 4 | 391 | 134 | 134 | 7 | 122 | 3 |
| 15 | 121 | 134 | 0.90 | 0.051 4 | 0.004 5 | 0.132 6 | 0.010 2 | 0.019 6 | 0.000 5 | 257 | 206 | 126 | 9 | 125 | 3 |
| 16 | 373 | 313 | 1.19 | 0.045 7 | 0.003 0 | 0.125 6 | 0.007 0 | 0.019 7 | 0.000 4 | — | — | 120 | 6 | 126 | 2 |
| 17 | 138 | 165 | 0.84 | 0.046 8 | 0.003 0 | 0.125 2 | 0.007 7 | 0.020 0 | 0.000 4 | 39 | 148 | 120 | 7 | 128 | 3 |
| 18 | 135 | 173 | 0.78 | 0.045 5 | 0.003 2 | 0.125 3 | 0.008 6 | 0.020 3 | 0.000 4 | — | — | 120 | 8 | 129 | 3 |
| 19 | 104 | 118 | 0.88 | 0.051 2 | 0.006 1 | 0.129 0 | 0.012 4 | 0.019 2 | 0.000 7 | 250 | 256 | 123 | 11 | 123 | 4 |
| 20 | 137 | 234 | 0.58 | 0.053 2 | 0.004 5 | 0.143 4 | 0.009 8 | 0.020 4 | 0.000 6 | 345 | 193 | 136 | 9 | 130 | 4 |
| 21 | 106 | 216 | 0.49 | 0.051 6 | 0.003 3 | 0.136 7 | 0.007 5 | 0.020 0 | 0.000 4 | 333 | 144 | 130 | 7 | 128 | 2 |
| 22 | 70 | 99 | 0.70 | 0.059 1 | 0.008 4 | 0.146 4 | 0.013 8 | 0.020 7 | 0.000 6 | 569 | 310 | 139 | 12 | 132 | 4 |
| 23 | 107 | 120 | 0.89 | 0.050 6 | 0.006 4 | 0.132 3 | 0.012 5 | 0.020 3 | 0.000 7 | 220 | 280 | 126 | 11 | 129 | 4 |
| 24 | 113 | 150 | 0.76 | 0.051 9 | 0.005 1 | 0.136 0 | 0.012 3 | 0.018 9 | 0.000 6 | 280 | 232 | 129 | 11 | 121 | 4 |
| 25 | 89 | 125 | 0.71 | 0.047 4 | 0.004 7 | 0.121 4 | 0.011 8 | 0.019 1 | 0.000 5 | 78 | 209 | 116 | 11 | 122 | 3 |
| 26 | 268 | 168 | 1.59 | 0.116 4 | 0.009 5 | 0.389 2 | 0.036 8 | 0.022 8 | 0.000 5 | 1 902 | 148 | 334 | 27 | 145 | 3 |
| 27 | 739 | 1 251 | 0.59 | 0.051 5 | 0.001 7 | 0.147 3 | 0.005 1 | 0.020 6 | 0.000 3 | 265 | 76 | 140 | 5 | 131 | 2 |
| 28 | 426 | 458 | 0.93 | 0.048 4 | 0.002 6 | 0.135 8 | 0.007 0 | 0.020 6 | 0.000 4 | 120 | 122 | 129 | 6 | 131 | 2 |
| 29 | 485 | 442 | 1.10 | 0.049 3 | 0.003 1 | 0.129 8 | 0.006 1 | 0.019 1 | 0.000 3 | 165 | 144 | 124 | 5 | 122 | 2 |
| 30 | 3 328 | 7 382 | 0.45 | 0.062 3 | 0.001 5 | 0.188 7 | 0.004 3 | 0.021 9 | 0.000 3 | 683 | 56 | 176 | 4 | 139 | 2 |
| 31 | 144 | 188 | 0.76 | 0.047 8 | 0.002 9 | 0.131 3 | 0.007 8 | 0.020 1 | 0.000 4 | 87 | 146 | 125 | 7 | 128 | 3 |
| 32 | 135 | 177 | 0.76 | 0.052 3 | 0.004 2 | 0.142 9 | 0.010 9 | 0.020 5 | 0.000 5 | 298 | 183 | 136 | 10 | 131 | 3 |
表1 西大别桥店花岗斑岩SIMS和LA-ICP-MS锆石U-Pb定年结果
Table 1 SIMS and LA-ICP-MS zircon U-Pb dating results for the Qiaodian granite porphyry from the western Dabie Orogenic Belt
| 样品点号 | wB/10-6 | Th/U | 207Pb/206Pb | ±1σ | 207Pb/235U | ±1σ | 206Pb/238U | ±1σ | t207/206/ Ma | ±1σ | t207/235/ Ma | ±1σ | t206/238/ Ma | ±1σ | |
|---|---|---|---|---|---|---|---|---|---|---|---|---|---|---|---|
| Th | U | ||||||||||||||
| DW131 | |||||||||||||||
| 1 | 162 | 284 | 0.57 | 0.047 5 | 0.028 0 | 0.131 1 | 0.032 0 | 0.020 0 | 0.015 6 | 76 | 65 | 125 | 4 | 128 | 2 |
| 2 | 225 | 250 | 0.90 | 0.050 2 | 0.025 3 | 0.138 7 | 0.030 7 | 0.020 0 | 0.017 4 | 205 | 58 | 132 | 4 | 128 | 2 |
| 3 | 132 | 209 | 0.63 | 0.062 7 | 0.936 1 | 0.181 3 | 0.936 7 | 0.021 0 | 0.033 7 | 697 | 1 279 | 169 | 158 | 134 | 4 |
| 4 | 129 | 263 | 0.49 | 0.047 9 | 0.025 1 | 0.133 0 | 0.031 3 | 0.020 1 | 0.018 6 | 93 | 58 | 127 | 4 | 129 | 2 |
| 5 | 283 | 371 | 0.76 | 0.048 9 | 0.020 8 | 0.136 7 | 0.026 5 | 0.020 3 | 0.016 4 | 145 | 48 | 130 | 3 | 129 | 2 |
| 6 | 218 | 391 | 0.56 | 0.049 0 | 0.029 0 | 0.134 6 | 0.035 8 | 0.019 9 | 0.020 9 | 148 | 67 | 128 | 4 | 127 | 3 |
| 7 | 120 | 230 | 0.52 | 0.049 1 | 0.031 4 | 0.139 2 | 0.035 0 | 0.020 6 | 0.015 6 | 153 | 72 | 132 | 4 | 131 | 2 |
| 8 | 666 | 622 | 1.07 | 0.048 4 | 0.019 5 | 0.133 8 | 0.025 5 | 0.020 0 | 0.016 4 | 121 | 45 | 127 | 3 | 128 | 2 |
| 9 | 143 | 188 | 0.76 | 0.050 0 | 0.039 1 | 0.138 6 | 0.042 0 | 0.020 1 | 0.015 4 | 194 | 88 | 132 | 5 | 128 | 2 |
| 10 | 64 | 120 | 0.53 | 0.126 3 | 0.011 0 | 3.614 5 | 0.028 5 | 0.207 6 | 0.026 3 | 2 047 | 19 | 1 553 | 23 | 1 216 | 29 |
| 11 | 17 | 66 | 0.27 | 0.146 5 | 0.011 0 | 5.921 4 | 0.018 7 | 0.293 1 | 0.015 1 | 2 306 | 19 | 1 964 | 16 | 1 657 | 22 |
| 12 | 167 | 168 | 1.00 | 0.048 7 | 0.050 9 | 0.136 8 | 0.053 2 | 0.020 4 | 0.015 6 | 135 | 115 | 130 | 7 | 130 | 2 |
| 13 | 157 | 234 | 0.67 | 0.048 4 | 0.026 0 | 0.138 4 | 0.030 4 | 0.020 7 | 0.015 7 | 120 | 60 | 132 | 4 | 132 | 2 |
| 14 | 123 | 216 | 0.57 | 0.048 2 | 0.027 1 | 0.136 9 | 0.032 1 | 0.020 6 | 0.017 2 | 108 | 63 | 130 | 4 | 132 | 2 |
| 15 | 437 | 556 | 0.79 | 0.049 6 | 0.023 3 | 0.133 0 | 0.027 7 | 0.019 4 | 0.015 0 | 178 | 53 | 127 | 3 | 124 | 2 |
| 16 | 130 | 256 | 0.51 | 0.048 4 | 0.024 8 | 0.138 1 | 0.029 2 | 0.020 7 | 0.015 3 | 121 | 57 | 131 | 4 | 132 | 2 |
| 17 | 151 | 168 | 0.90 | 0.049 6 | 0.038 7 | 0.135 9 | 0.044 0 | 0.019 9 | 0.021 1 | 178 | 88 | 129 | 5 | 127 | 3 |
| 18 | 136 | 268 | 0.51 | 0.050 0 | 0.024 3 | 0.139 1 | 0.028 7 | 0.020 2 | 0.015 4 | 193 | 55 | 132 | 4 | 129 | 2 |
| 19 | 842 | 1 103 | 0.76 | 0.048 3 | 0.018 6 | 0.140 0 | 0.024 2 | 0.021 0 | 0.015 4 | 113 | 43 | 133 | 3 | 134 | 2 |
| 20 | 117 | 162 | 0.72 | 0.047 7 | 0.037 8 | 0.137 0 | 0.041 0 | 0.020 8 | 0.015 9 | 86 | 87 | 130 | 5 | 133 | 2 |
| DW223 | |||||||||||||||
| 1 | 129 | 122 | 1.06 | 0.071 8 | 0.006 2 | 0.217 0 | 0.016 3 | 0.022 9 | 0.000 5 | 981 | 178 | 199 | 14 | 146 | 3 |
| 2 | 102 | 131 | 0.78 | 0.041 8 | 0.003 1 | 0.116 9 | 0.008 5 | 0.020 3 | 0.000 4 | — | — | 112 | 8 | 130 | 23 |
| 3 | 111 | 121 | 0.91 | 0.053 9 | 0.006 2 | 0.127 7 | 0.014 0 | 0.018 1 | 0.000 9 | 369 | 261 | 122 | 13 | 116 | 5 |
| 4 | 286 | 293 | 0.98 | 0.049 8 | 0.004 4 | 0.133 5 | 0.008 7 | 0.019 1 | 0.000 4 | 183 | 206 | 127 | 8 | 122 | 3 |
| 5 | 213 | 225 | 0.95 | 0.045 5 | 0.002 6 | 0.124 9 | 0.007 0 | 0.020 0 | 0.000 4 | — | — | 120 | 6 | 128 | 2 |
| 6 | 66 | 92 | 0.72 | 0.054 0 | 0.005 5 | 0.136 1 | 0.013 1 | 0.019 0 | 0.000 6 | 372 | 233 | 130 | 12 | 121 | 4 |
| 7 | 131 | 147 | 0.89 | 0.050 9 | 0.003 6 | 0.134 6 | 0.009 1 | 0.019 4 | 0.000 4 | 239 | 165 | 128 | 8 | 124 | 3 |
| 8 | 118 | 145 | 0.81 | 0.051 6 | 0.003 8 | 0.144 5 | 0.010 0 | 0.020 5 | 0.000 5 | 333 | 170 | 137 | 9 | 131 | 3 |
| 9 | 547 | 548 | 1.00 | 0.048 2 | 0.001 8 | 0.137 5 | 0.005 1 | 0.020 5 | 0.000 3 | 109 | 87 | 131 | 5 | 131 | 2 |
| 10 | 6 782 | 2 370 | 2.86 | 0.046 0 | 0.001 8 | 0.116 9 | 0.004 6 | 0.018 2 | 0.000 3 | — | — | 112 | 4 | 117 | 2 |
| 11 | 158 | 192 | 0.82 | 0.046 5 | 0.002 7 | 0.130 0 | 0.007 4 | 0.020 4 | 0.000 3 | 33 | 133 | 124 | 7 | 130 | 2 |
| 12 | 757 | 740 | 1.02 | 0.048 6 | 0.001 6 | 0.133 6 | 0.004 7 | 0.019 9 | 0.000 3 | 128 | 75 | 127 | 4 | 127 | 2 |
| 13 | 469 | 439 | 1.07 | 0.051 5 | 0.002 3 | 0.144 2 | 0.005 5 | 0.020 2 | 0.000 3 | 261 | 106 | 137 | 5 | 129 | 2 |
| 14 | 117 | 157 | 0.74 | 0.054 5 | 0.003 3 | 0.140 6 | 0.007 9 | 0.019 0 | 0.000 4 | 391 | 134 | 134 | 7 | 122 | 3 |
| 15 | 121 | 134 | 0.90 | 0.051 4 | 0.004 5 | 0.132 6 | 0.010 2 | 0.019 6 | 0.000 5 | 257 | 206 | 126 | 9 | 125 | 3 |
| 16 | 373 | 313 | 1.19 | 0.045 7 | 0.003 0 | 0.125 6 | 0.007 0 | 0.019 7 | 0.000 4 | — | — | 120 | 6 | 126 | 2 |
| 17 | 138 | 165 | 0.84 | 0.046 8 | 0.003 0 | 0.125 2 | 0.007 7 | 0.020 0 | 0.000 4 | 39 | 148 | 120 | 7 | 128 | 3 |
| 18 | 135 | 173 | 0.78 | 0.045 5 | 0.003 2 | 0.125 3 | 0.008 6 | 0.020 3 | 0.000 4 | — | — | 120 | 8 | 129 | 3 |
| 19 | 104 | 118 | 0.88 | 0.051 2 | 0.006 1 | 0.129 0 | 0.012 4 | 0.019 2 | 0.000 7 | 250 | 256 | 123 | 11 | 123 | 4 |
| 20 | 137 | 234 | 0.58 | 0.053 2 | 0.004 5 | 0.143 4 | 0.009 8 | 0.020 4 | 0.000 6 | 345 | 193 | 136 | 9 | 130 | 4 |
| 21 | 106 | 216 | 0.49 | 0.051 6 | 0.003 3 | 0.136 7 | 0.007 5 | 0.020 0 | 0.000 4 | 333 | 144 | 130 | 7 | 128 | 2 |
| 22 | 70 | 99 | 0.70 | 0.059 1 | 0.008 4 | 0.146 4 | 0.013 8 | 0.020 7 | 0.000 6 | 569 | 310 | 139 | 12 | 132 | 4 |
| 23 | 107 | 120 | 0.89 | 0.050 6 | 0.006 4 | 0.132 3 | 0.012 5 | 0.020 3 | 0.000 7 | 220 | 280 | 126 | 11 | 129 | 4 |
| 24 | 113 | 150 | 0.76 | 0.051 9 | 0.005 1 | 0.136 0 | 0.012 3 | 0.018 9 | 0.000 6 | 280 | 232 | 129 | 11 | 121 | 4 |
| 25 | 89 | 125 | 0.71 | 0.047 4 | 0.004 7 | 0.121 4 | 0.011 8 | 0.019 1 | 0.000 5 | 78 | 209 | 116 | 11 | 122 | 3 |
| 26 | 268 | 168 | 1.59 | 0.116 4 | 0.009 5 | 0.389 2 | 0.036 8 | 0.022 8 | 0.000 5 | 1 902 | 148 | 334 | 27 | 145 | 3 |
| 27 | 739 | 1 251 | 0.59 | 0.051 5 | 0.001 7 | 0.147 3 | 0.005 1 | 0.020 6 | 0.000 3 | 265 | 76 | 140 | 5 | 131 | 2 |
| 28 | 426 | 458 | 0.93 | 0.048 4 | 0.002 6 | 0.135 8 | 0.007 0 | 0.020 6 | 0.000 4 | 120 | 122 | 129 | 6 | 131 | 2 |
| 29 | 485 | 442 | 1.10 | 0.049 3 | 0.003 1 | 0.129 8 | 0.006 1 | 0.019 1 | 0.000 3 | 165 | 144 | 124 | 5 | 122 | 2 |
| 30 | 3 328 | 7 382 | 0.45 | 0.062 3 | 0.001 5 | 0.188 7 | 0.004 3 | 0.021 9 | 0.000 3 | 683 | 56 | 176 | 4 | 139 | 2 |
| 31 | 144 | 188 | 0.76 | 0.047 8 | 0.002 9 | 0.131 3 | 0.007 8 | 0.020 1 | 0.000 4 | 87 | 146 | 125 | 7 | 128 | 3 |
| 32 | 135 | 177 | 0.76 | 0.052 3 | 0.004 2 | 0.142 9 | 0.010 9 | 0.020 5 | 0.000 5 | 298 | 183 | 136 | 10 | 131 | 3 |
图4 桥店花岗斑岩代表性锆石阴极发光图像特征 黄色椭圆和数值分别代表定年分析点位置及其206Pb/238U年龄值(单位为Ma),蓝色椭圆和数值分别为Hf同位素分析点位置及其εHf(t)值。
Fig.4 Cathodoluminescence image characteristics of representative zircon grains from the Qiaodian granite porphyry
图5 桥店花岗斑岩锆石U-Pb年龄谐和图(a,c)及其εHf(t)值柱状图(b,d) a、b中DW131的第10和11点为残留锆石。
Fig.5 Zircon U-Pb concordia diagrams (a, c) and histograms of εHf(t) values (b, d) for the Qiaodian granite porphyry
| 样品点号 | 176Hf/177Hf | ±1σ | 176Lu/177Hf | 176Yb/177Hf | 年龄t/ Ma | (176Hf/177Hf)i | εHf(t) | ±1σ | TDM1/ Ma | ±1σ | fLu/Hf | TDM2/ Ma | ±1σ |
|---|---|---|---|---|---|---|---|---|---|---|---|---|---|
| DW131 | |||||||||||||
| 1 | 0.282 142 | 0.000 009 | 0.000 937 | 0.026 043 | 129 | 0.282 140 | -19.5 | 0.3 | 1 561 | 24 | -0.97 | 2 129 | 34 |
| 2 | 0.282 153 | 0.000 009 | 0.000 845 | 0.023 407 | 129 | 0.282 151 | -19.1 | 0.3 | 1 542 | 25 | -0.97 | 2 108 | 35 |
| 3 | 0.282 151 | 0.000 009 | 0.001 404 | 0.039 814 | 129 | 0.282 148 | -19.3 | 0.3 | 1 568 | 25 | -0.96 | 2 114 | 34 |
| 4 | 0.282 162 | 0.000 009 | 0.001 325 | 0.037 288 | 129 | 0.282 158 | -18.9 | 0.3 | 1 550 | 26 | -0.96 | 2 094 | 36 |
| 5 | 0.282 164 | 0.000 010 | 0.001 371 | 0.038 419 | 129 | 0.282 161 | -18.8 | 0.4 | 1 548 | 28 | -0.96 | 2 088 | 39 |
| 6 | 0.282 198 | 0.000 009 | 0.001 488 | 0.042 519 | 129 | 0.282 195 | -17.6 | 0.3 | 1 505 | 25 | -0.96 | 2 023 | 34 |
| 7 | 0.282 155 | 0.000 008 | 0.001 321 | 0.036 973 | 129 | 0.282 152 | -19.1 | 0.3 | 1 559 | 23 | -0.96 | 2 107 | 32 |
| 8 | 0.282 163 | 0.000 009 | 0.001 093 | 0.030 340 | 129 | 0.282 160 | -18.8 | 0.3 | 1 539 | 24 | -0.97 | 2 090 | 33 |
| 9 | 0.282 142 | 0.000 009 | 0.001 044 | 0.029 918 | 129 | 0.282 140 | -19.5 | 0.3 | 1 565 | 25 | -0.97 | 2 130 | 35 |
| 10 | 0.281 566 | 0.000 010 | 0.000 752 | 0.020 481 | 2 047 | 0.281 537 | 2.1 | 0.4 | 2 343 | 28 | -0.98 | 2 463 | 39 |
| 11 | 0.282 150 | 0.000 009 | 0.000 951 | 0.028 114 | 2 306 | 0.282 108 | 28.3 | 0.3 | 1 551 | 25 | -0.97 | 1 251 | 35 |
| 12 | 0.282 179 | 0.000 010 | 0.000 860 | 0.024 147 | 129 | 0.282 177 | -18.2 | 0.3 | 1 506 | 27 | -0.97 | 2 057 | 38 |
| 13 | 0.282 191 | 0.000 010 | 0.001 065 | 0.030 559 | 129 | 0.282 189 | -17.8 | 0.3 | 1 498 | 27 | -0.97 | 2 035 | 37 |
| 15 | 0.282 279 | 0.000 009 | 0.001 352 | 0.038 037 | 129 | 0.282 276 | -14.7 | 0.3 | 1 385 | 25 | -0.96 | 1 865 | 35 |
| 16 | 0.282 271 | 0.000 008 | 0.001 300 | 0.035 203 | 129 | 0.282 268 | -15.0 | 0.3 | 1 395 | 22 | -0.96 | 1 881 | 31 |
| 17 | 0.282 167 | 0.000 009 | 0.000 920 | 0.027 095 | 129 | 0.282 165 | -18.6 | 0.3 | 1 525 | 24 | -0.97 | 2 081 | 33 |
| DW223 | |||||||||||||
| 1 | 0.282 142 | 0.000 010 | 0.000 556 | 0.019 207 | 128 | 0.282 140 | -19.5 | 0.3 | 1 546 | 26 | -0.98 | 2 130 | 37 |
| 2 | 0.282 123 | 0.000 009 | 0.000 772 | 0.028 102 | 128 | 0.282 121 | -20.2 | 0.3 | 1 581 | 24 | -0.98 | 2 168 | 34 |
| 3 | 0.282 115 | 0.000 015 | 0.001 524 | 0.050 106 | 128 | 0.282 111 | -20.6 | 0.5 | 1 624 | 42 | -0.95 | 2 185 | 58 |
| 4 | 0.282 067 | 0.000 024 | 0.001 027 | 0.039 545 | 128 | 0.282 064 | -22.2 | 0.9 | 1 670 | 67 | -0.97 | 2 277 | 94 |
| 5 | 0.282 129 | 0.000 029 | 0.001 015 | 0.037 633 | 128 | 0.282 126 | -20.0 | 1.0 | 1 583 | 81 | -0.97 | 2 157 | 113 |
| 6 | 0.282 236 | 0.000 426 | 0.000 661 | 0.028 500 | 128 | 0.282 234 | -16.2 | 15.1 | 1 420 | 1 177 | -0.98 | 1 947 | 1 657 |
| 7 | 0.276 354 | 0.005 555 | 0.000 920 | 0.087 575 | 128 | 0.276 352 | -224.3 | 196.5 | 9 046 | 13 409 | -0.97 | 12 594 | 18 745 |
| 8 | 0.282 087 | 0.000 015 | 0.000 730 | 0.025 867 | 128 | 0.282 086 | -21.5 | 0.5 | 1 628 | 40 | -0.98 | 2 236 | 57 |
| 9 | 0.282 003 | 0.000 012 | 0.000 663 | 0.022 499 | 128 | 0.282 001 | -24.5 | 0.4 | 1 741 | 32 | -0.98 | 2 399 | 46 |
| 10 | 0.282 132 | 0.000 011 | 0.000 594 | 0.021 509 | 128 | 0.282 131 | -19.9 | 0.4 | 1 561 | 31 | -0.98 | 2 148 | 44 |
| 11 | 0.282 096 | 0.000 009 | 0.000 990 | 0.036 949 | 128 | 0.282 094 | -21.2 | 0.3 | 1 627 | 24 | -0.97 | 2 220 | 34 |
| 12 | 0.282 076 | 0.000 010 | 0.001 346 | 0.051 359 | 128 | 0.282 073 | -21.9 | 0.4 | 1 671 | 29 | -0.96 | 2 261 | 39 |
| 13 | 0.282 096 | 0.000 010 | 0.000 601 | 0.022 104 | 128 | 0.282 094 | -21.2 | 0.3 | 1 611 | 27 | -0.98 | 2 219 | 38 |
| 14 | 0.282 091 | 0.000 014 | 0.001 394 | 0.045 250 | 128 | 0.282 087 | -21.4 | 0.5 | 1 652 | 39 | -0.96 | 2 232 | 54 |
| 15 | 0.282 088 | 0.000 015 | 0.000 983 | 0.035 545 | 128 | 0.282 086 | -21.5 | 0.5 | 1 638 | 41 | -0.97 | 2 235 | 57 |
| 16 | 0.282 069 | 0.000 013 | 0.001 128 | 0.041 753 | 128 | 0.282 066 | -22.1 | 0.4 | 1 671 | 35 | -0.97 | 2 272 | 49 |
| 17 | 0.282 108 | 0.000 009 | 0.000 685 | 0.024 523 | 128 | 0.282 107 | -20.7 | 0.3 | 1 597 | 24 | -0.98 | 2 195 | 34 |
| 18 | 0.282 086 | 0.000 011 | 0.000 401 | 0.013 957 | 128 | 0.282 085 | -21.5 | 0.4 | 1 617 | 29 | -0.99 | 2 238 | 42 |
| 19 | 0.282 089 | 0.000 010 | 0.000 870 | 0.030 801 | 128 | 0.282 087 | -21.4 | 0.4 | 1 632 | 28 | -0.97 | 2 233 | 39 |
| 20 | 0.282 126 | 0.000 013 | 0.001 046 | 0.038 928 | 128 | 0.282 123 | -20.1 | 0.5 | 1 588 | 36 | -0.97 | 2 162 | 50 |
| 21 | 0.282 073 | 0.000 014 | 0.000 674 | 0.023 078 | 128 | 0.282 071 | -22.0 | 0.5 | 1 646 | 38 | -0.98 | 2 264 | 54 |
| 22 | 0.282 112 | 0.000 014 | 0.000 593 | 0.020 506 | 128 | 0.282 110 | -20.6 | 0.5 | 1 589 | 38 | -0.98 | 2 188 | 54 |
| 23 | 0.282 094 | 0.000 010 | 0.000 516 | 0.018 015 | 128 | 0.282 093 | -21.2 | 0.4 | 1 610 | 27 | -0.98 | 2 221 | 39 |
| 25 | 0.282 089 | 0.000 011 | 0.000 769 | 0.027 362 | 128 | 0.282 087 | -21.4 | 0.4 | 1 628 | 32 | -0.98 | 2 233 | 45 |
| 26 | 0.282 230 | 0.000 016 | 0.001 219 | 0.043 431 | 128 | 0.282 227 | -16.5 | 0.6 | 1 450 | 46 | -0.96 | 1 961 | 64 |
| 28 | 0.282 131 | 0.000 009 | 0.001 050 | 0.036 584 | 128 | 0.282 128 | -20.0 | 0.3 | 1 582 | 24 | -0.97 | 2 153 | 33 |
| 31 | 0.282 072 | 0.000 010 | 0.000 682 | 0.024 457 | 128 | 0.282 070 | -22.0 | 0.3 | 1 647 | 27 | -0.98 | 2 265 | 38 |
表2 西大别桥店花岗斑岩锆石Lu-Hf同位素组成分析结果
Table 2 Analytical results of zircon Lu-Hf isotopic composition of the Qiaodian granite porphyry from the western Dabie Orogenic Belt
| 样品点号 | 176Hf/177Hf | ±1σ | 176Lu/177Hf | 176Yb/177Hf | 年龄t/ Ma | (176Hf/177Hf)i | εHf(t) | ±1σ | TDM1/ Ma | ±1σ | fLu/Hf | TDM2/ Ma | ±1σ |
|---|---|---|---|---|---|---|---|---|---|---|---|---|---|
| DW131 | |||||||||||||
| 1 | 0.282 142 | 0.000 009 | 0.000 937 | 0.026 043 | 129 | 0.282 140 | -19.5 | 0.3 | 1 561 | 24 | -0.97 | 2 129 | 34 |
| 2 | 0.282 153 | 0.000 009 | 0.000 845 | 0.023 407 | 129 | 0.282 151 | -19.1 | 0.3 | 1 542 | 25 | -0.97 | 2 108 | 35 |
| 3 | 0.282 151 | 0.000 009 | 0.001 404 | 0.039 814 | 129 | 0.282 148 | -19.3 | 0.3 | 1 568 | 25 | -0.96 | 2 114 | 34 |
| 4 | 0.282 162 | 0.000 009 | 0.001 325 | 0.037 288 | 129 | 0.282 158 | -18.9 | 0.3 | 1 550 | 26 | -0.96 | 2 094 | 36 |
| 5 | 0.282 164 | 0.000 010 | 0.001 371 | 0.038 419 | 129 | 0.282 161 | -18.8 | 0.4 | 1 548 | 28 | -0.96 | 2 088 | 39 |
| 6 | 0.282 198 | 0.000 009 | 0.001 488 | 0.042 519 | 129 | 0.282 195 | -17.6 | 0.3 | 1 505 | 25 | -0.96 | 2 023 | 34 |
| 7 | 0.282 155 | 0.000 008 | 0.001 321 | 0.036 973 | 129 | 0.282 152 | -19.1 | 0.3 | 1 559 | 23 | -0.96 | 2 107 | 32 |
| 8 | 0.282 163 | 0.000 009 | 0.001 093 | 0.030 340 | 129 | 0.282 160 | -18.8 | 0.3 | 1 539 | 24 | -0.97 | 2 090 | 33 |
| 9 | 0.282 142 | 0.000 009 | 0.001 044 | 0.029 918 | 129 | 0.282 140 | -19.5 | 0.3 | 1 565 | 25 | -0.97 | 2 130 | 35 |
| 10 | 0.281 566 | 0.000 010 | 0.000 752 | 0.020 481 | 2 047 | 0.281 537 | 2.1 | 0.4 | 2 343 | 28 | -0.98 | 2 463 | 39 |
| 11 | 0.282 150 | 0.000 009 | 0.000 951 | 0.028 114 | 2 306 | 0.282 108 | 28.3 | 0.3 | 1 551 | 25 | -0.97 | 1 251 | 35 |
| 12 | 0.282 179 | 0.000 010 | 0.000 860 | 0.024 147 | 129 | 0.282 177 | -18.2 | 0.3 | 1 506 | 27 | -0.97 | 2 057 | 38 |
| 13 | 0.282 191 | 0.000 010 | 0.001 065 | 0.030 559 | 129 | 0.282 189 | -17.8 | 0.3 | 1 498 | 27 | -0.97 | 2 035 | 37 |
| 15 | 0.282 279 | 0.000 009 | 0.001 352 | 0.038 037 | 129 | 0.282 276 | -14.7 | 0.3 | 1 385 | 25 | -0.96 | 1 865 | 35 |
| 16 | 0.282 271 | 0.000 008 | 0.001 300 | 0.035 203 | 129 | 0.282 268 | -15.0 | 0.3 | 1 395 | 22 | -0.96 | 1 881 | 31 |
| 17 | 0.282 167 | 0.000 009 | 0.000 920 | 0.027 095 | 129 | 0.282 165 | -18.6 | 0.3 | 1 525 | 24 | -0.97 | 2 081 | 33 |
| DW223 | |||||||||||||
| 1 | 0.282 142 | 0.000 010 | 0.000 556 | 0.019 207 | 128 | 0.282 140 | -19.5 | 0.3 | 1 546 | 26 | -0.98 | 2 130 | 37 |
| 2 | 0.282 123 | 0.000 009 | 0.000 772 | 0.028 102 | 128 | 0.282 121 | -20.2 | 0.3 | 1 581 | 24 | -0.98 | 2 168 | 34 |
| 3 | 0.282 115 | 0.000 015 | 0.001 524 | 0.050 106 | 128 | 0.282 111 | -20.6 | 0.5 | 1 624 | 42 | -0.95 | 2 185 | 58 |
| 4 | 0.282 067 | 0.000 024 | 0.001 027 | 0.039 545 | 128 | 0.282 064 | -22.2 | 0.9 | 1 670 | 67 | -0.97 | 2 277 | 94 |
| 5 | 0.282 129 | 0.000 029 | 0.001 015 | 0.037 633 | 128 | 0.282 126 | -20.0 | 1.0 | 1 583 | 81 | -0.97 | 2 157 | 113 |
| 6 | 0.282 236 | 0.000 426 | 0.000 661 | 0.028 500 | 128 | 0.282 234 | -16.2 | 15.1 | 1 420 | 1 177 | -0.98 | 1 947 | 1 657 |
| 7 | 0.276 354 | 0.005 555 | 0.000 920 | 0.087 575 | 128 | 0.276 352 | -224.3 | 196.5 | 9 046 | 13 409 | -0.97 | 12 594 | 18 745 |
| 8 | 0.282 087 | 0.000 015 | 0.000 730 | 0.025 867 | 128 | 0.282 086 | -21.5 | 0.5 | 1 628 | 40 | -0.98 | 2 236 | 57 |
| 9 | 0.282 003 | 0.000 012 | 0.000 663 | 0.022 499 | 128 | 0.282 001 | -24.5 | 0.4 | 1 741 | 32 | -0.98 | 2 399 | 46 |
| 10 | 0.282 132 | 0.000 011 | 0.000 594 | 0.021 509 | 128 | 0.282 131 | -19.9 | 0.4 | 1 561 | 31 | -0.98 | 2 148 | 44 |
| 11 | 0.282 096 | 0.000 009 | 0.000 990 | 0.036 949 | 128 | 0.282 094 | -21.2 | 0.3 | 1 627 | 24 | -0.97 | 2 220 | 34 |
| 12 | 0.282 076 | 0.000 010 | 0.001 346 | 0.051 359 | 128 | 0.282 073 | -21.9 | 0.4 | 1 671 | 29 | -0.96 | 2 261 | 39 |
| 13 | 0.282 096 | 0.000 010 | 0.000 601 | 0.022 104 | 128 | 0.282 094 | -21.2 | 0.3 | 1 611 | 27 | -0.98 | 2 219 | 38 |
| 14 | 0.282 091 | 0.000 014 | 0.001 394 | 0.045 250 | 128 | 0.282 087 | -21.4 | 0.5 | 1 652 | 39 | -0.96 | 2 232 | 54 |
| 15 | 0.282 088 | 0.000 015 | 0.000 983 | 0.035 545 | 128 | 0.282 086 | -21.5 | 0.5 | 1 638 | 41 | -0.97 | 2 235 | 57 |
| 16 | 0.282 069 | 0.000 013 | 0.001 128 | 0.041 753 | 128 | 0.282 066 | -22.1 | 0.4 | 1 671 | 35 | -0.97 | 2 272 | 49 |
| 17 | 0.282 108 | 0.000 009 | 0.000 685 | 0.024 523 | 128 | 0.282 107 | -20.7 | 0.3 | 1 597 | 24 | -0.98 | 2 195 | 34 |
| 18 | 0.282 086 | 0.000 011 | 0.000 401 | 0.013 957 | 128 | 0.282 085 | -21.5 | 0.4 | 1 617 | 29 | -0.99 | 2 238 | 42 |
| 19 | 0.282 089 | 0.000 010 | 0.000 870 | 0.030 801 | 128 | 0.282 087 | -21.4 | 0.4 | 1 632 | 28 | -0.97 | 2 233 | 39 |
| 20 | 0.282 126 | 0.000 013 | 0.001 046 | 0.038 928 | 128 | 0.282 123 | -20.1 | 0.5 | 1 588 | 36 | -0.97 | 2 162 | 50 |
| 21 | 0.282 073 | 0.000 014 | 0.000 674 | 0.023 078 | 128 | 0.282 071 | -22.0 | 0.5 | 1 646 | 38 | -0.98 | 2 264 | 54 |
| 22 | 0.282 112 | 0.000 014 | 0.000 593 | 0.020 506 | 128 | 0.282 110 | -20.6 | 0.5 | 1 589 | 38 | -0.98 | 2 188 | 54 |
| 23 | 0.282 094 | 0.000 010 | 0.000 516 | 0.018 015 | 128 | 0.282 093 | -21.2 | 0.4 | 1 610 | 27 | -0.98 | 2 221 | 39 |
| 25 | 0.282 089 | 0.000 011 | 0.000 769 | 0.027 362 | 128 | 0.282 087 | -21.4 | 0.4 | 1 628 | 32 | -0.98 | 2 233 | 45 |
| 26 | 0.282 230 | 0.000 016 | 0.001 219 | 0.043 431 | 128 | 0.282 227 | -16.5 | 0.6 | 1 450 | 46 | -0.96 | 1 961 | 64 |
| 28 | 0.282 131 | 0.000 009 | 0.001 050 | 0.036 584 | 128 | 0.282 128 | -20.0 | 0.3 | 1 582 | 24 | -0.97 | 2 153 | 33 |
| 31 | 0.282 072 | 0.000 010 | 0.000 682 | 0.024 457 | 128 | 0.282 070 | -22.0 | 0.3 | 1 647 | 27 | -0.98 | 2 265 | 38 |
| 样品 | 组分含量/% | Mg# | A/CNK | A/NK | ||||||||||||||||||||||||||||||||||||||||||||||||||||||
|---|---|---|---|---|---|---|---|---|---|---|---|---|---|---|---|---|---|---|---|---|---|---|---|---|---|---|---|---|---|---|---|---|---|---|---|---|---|---|---|---|---|---|---|---|---|---|---|---|---|---|---|---|---|---|---|---|---|---|
| SiO2 | TiO2 | Al2O3 | Fe2O3 | FeO | MnO | MgO | CaO | Na2O | K2O | P2O5 | H2O | CO2 | LOI | Total | ||||||||||||||||||||||||||||||||||||||||||||
| DW113 | 63.73 | 0.51 | 14.19 | 1.29 | 2.02 | 0.05 | 1.75 | 2.90 | 3.16 | 4.58 | 0.32 | 1.11 | 3.8 | 5.30 | 99.39 | 50 | 0.92 | 1.40 | ||||||||||||||||||||||||||||||||||||||||
| DW114 | 63.07 | 0.52 | 13.95 | 1.50 | 1.92 | 0.06 | 1.82 | 3.36 | 3.01 | 4.54 | 0.34 | 1.21 | 4.01 | 5.89 | 99.32 | 50 | 0.87 | 1.41 | ||||||||||||||||||||||||||||||||||||||||
| DW223 | 66.66 | 0.49 | 14.63 | 2.90 | 0.43 | 0.05 | 0.47 | 2.70 | 2.88 | 5.03 | 0.28 | 1.54 | 1.34 | 3.47 | 99.39 | 22 | 0.97 | 1.44 | ||||||||||||||||||||||||||||||||||||||||
| DW224 | 62.32 | 0.53 | 14.13 | 0.68 | 2.77 | 0.06 | 1.84 | 3.32 | 2.58 | 4.69 | 0.32 | 1.54 | 4.83 | 6.10 | 99.60 | 49 | 0.92 | 1.51 | ||||||||||||||||||||||||||||||||||||||||
| DW225 | 69.93 | 0.42 | 14.72 | 2.09 | 0.55 | 0.05 | 0.42 | 0.87 | 3.27 | 5.47 | 0.21 | 1.24 | 0.39 | 1.61 | 99.63 | 24 | 1.14 | 1.30 | ||||||||||||||||||||||||||||||||||||||||
| DW226 | 73.22 | 0.27 | 14.38 | 1.95 | 0.23 | 0.02 | 0.57 | 0.16 | 1.41 | 5.26 | 0.12 | 1.97 | 0.06 | 2.03 | 99.62 | 34 | 1.73 | 1.79 | ||||||||||||||||||||||||||||||||||||||||
| DW227 | 66.55 | 0.51 | 14.42 | 2.18 | 1.03 | 0.05 | 0.87 | 2.49 | 3.25 | 4.51 | 0.25 | 1.52 | 1.75 | 3.64 | 99.38 | 34 | 0.98 | 1.41 | ||||||||||||||||||||||||||||||||||||||||
| DW228 | 66.60 | 0.42 | 14.1 | 1.13 | 1.45 | 0.04 | 1.19 | 2.29 | 3.71 | 4.58 | 0.20 | 0.90 | 2.77 | 4.06 | 99.40 | 46 | 0.92 | 1.27 | ||||||||||||||||||||||||||||||||||||||||
| DW229 | 69.61 | 0.45 | 14.58 | 2.26 | 0.6 | 0.05 | 0.59 | 1.07 | 3.11 | 5.03 | 0.23 | 1.46 | 0.62 | 2.04 | 99.66 | 29 | 1.16 | 1.38 | ||||||||||||||||||||||||||||||||||||||||
| 样品 | 元素含量/10-6 | |||||||||||||||||||||||||||||||||||||||||||||||||||||||||
| Sc | V | Cr | Co | Ni | Cu | Zn | Ga | Rb | Sr | Y | Zr | Nb | Cs | Ba | La | Ce | Pr | Nd | Sm | |||||||||||||||||||||||||||||||||||||||
| DW113 | 7.99 | 60.0 | 57.9 | 9.91 | 35.3 | 18.6 | 61.7 | 19.1 | 65.8 | 724 | 13.1 | 224 | 10.9 | 6.55 | 1578 | 57.4 | 105 | 11.8 | 41.4 | 6.37 | ||||||||||||||||||||||||||||||||||||||
| DW114 | 7.43 | 61.2 | 55.3 | 9.87 | 32.1 | 8.50 | 56.9 | 19.2 | 85.1 | 628 | 12.8 | 229 | 10.6 | 8.34 | 1909 | 55.0 | 101 | 11.3 | 39.8 | 6.15 | ||||||||||||||||||||||||||||||||||||||
| DW223 | 6.51 | 55.6 | 38.6 | 8.91 | 26.1 | 5.60 | 49.6 | 19.4 | 74.0 | 268 | 13.7 | 225 | 12.2 | 7.64 | 1858 | 58.9 | 106 | 11.8 | 41.3 | 6.18 | ||||||||||||||||||||||||||||||||||||||
| DW224 | 7.29 | 58.8 | 51.9 | 9.38 | 32.1 | 5.90 | 54.1 | 18.4 | 83.4 | 454 | 13.4 | 224 | 11.8 | 8.00 | 1508 | 57.6 | 104 | 11.7 | 40.8 | 6.20 | ||||||||||||||||||||||||||||||||||||||
| DW225 | 5.13 | 44.3 | 31.9 | 6.12 | 17.3 | 18.9 | 47.3 | 19.1 | 84.2 | 293 | 13.3 | 205 | 12.6 | 5.31 | 1439 | 55.7 | 100 | 10.7 | 36.4 | 5.51 | ||||||||||||||||||||||||||||||||||||||
| DW226 | 3.88 | 21.7 | 9.60 | 2.55 | 3.2 | 16.2 | 39.7 | 20.1 | 157.9 | 78.5 | 11.8 | 185 | 16.6 | 9.62 | 1917 | 45.0 | 78.3 | 9.71 | 33.1 | 4.66 | ||||||||||||||||||||||||||||||||||||||
| DW227 | 6.47 | 53.0 | 40.1 | 8.74 | 25.3 | 23.5 | 50.3 | 19.6 | 98.5 | 261 | 14.0 | 197 | 11.3 | 4.46 | 1507 | 56.1 | 102 | 11.2 | 38.6 | 6.03 | ||||||||||||||||||||||||||||||||||||||
| DW228 | 5.17 | 42.2 | 24.0 | 6.16 | 16.8 | 11.0 | 39.3 | 17.8 | 82.2 | 421 | 12.6 | 193 | 10.4 | 3.31 | 1605 | 52.8 | 93.7 | 10.2 | 34.7 | 5.40 | ||||||||||||||||||||||||||||||||||||||
| DW229 | 5.34 | 49.7 | 29.4 | 7.26 | 20.0 | 11.4 | 49.8 | 19.6 | 90.4 | 242 | 14.8 | 210 | 11.9 | 4.6 | 1327 | 60.3 | 107 | 11.2 | 38.2 | 5.94 | ||||||||||||||||||||||||||||||||||||||
| 样品 | 元素含量/10-6 | (La/Yb)N | Eu/Eu* | |||||||||||||||||||||||||||||||||||||||||||||||||||||||
| Eu | Gd | Tb | Dy | Ho | Er | Tm | Yb | Lu | Hf | Ta | Pb | Th | U | Pb | Th | U | ΣREE | |||||||||||||||||||||||||||||||||||||||||
| DW113 | 1.67 | 4.46 | 0.57 | 2.71 | 0.49 | 1.29 | 0.19 | 1.24 | 0.18 | 5.10 | 0.79 | 20.0 | 13.0 | 2.41 | 20.0 | 13.0 | 2.41 | 235 | 33.1 | 0.91 | ||||||||||||||||||||||||||||||||||||||
| DW114 | 1.60 | 4.45 | 0.56 | 2.57 | 0.46 | 1.22 | 0.18 | 1.21 | 0.17 | 5.27 | 0.75 | 19.5 | 13.1 | 2.38 | 19.5 | 13.1 | 2.38 | 226 | 32.6 | 0.89 | ||||||||||||||||||||||||||||||||||||||
| DW223 | 1.57 | 4.44 | 0.57 | 2.70 | 0.48 | 1.28 | 0.19 | 1.23 | 0.18 | 5.18 | 0.88 | 15.1 | 13.9 | 2.42 | 15.1 | 13.9 | 2.42 | 237 | 34.2 | 0.87 | ||||||||||||||||||||||||||||||||||||||
| DW224 | 1.65 | 4.38 | 0.58 | 2.64 | 0.48 | 1.28 | 0.19 | 1.22 | 0.18 | 5.10 | 0.83 | 24.5 | 12.9 | 2.25 | 24.5 | 12.9 | 2.25 | 233 | 33.9 | 0.92 | ||||||||||||||||||||||||||||||||||||||
| DW225 | 1.35 | 4.02 | 0.54 | 2.61 | 0.48 | 1.28 | 0.19 | 1.27 | 0.18 | 4.54 | 1.20 | 27.1 | 14.6 | 2.23 | 27.1 | 14.6 | 2.23 | 220 | 31.4 | 0.84 | ||||||||||||||||||||||||||||||||||||||
| DW226 | 1.03 | 3.23 | 0.45 | 2.24 | 0.40 | 1.08 | 0.16 | 1.09 | 0.16 | 3.97 | 1.40 | 28.3 | 15.3 | 3.76 | 28.3 | 15.3 | 3.76 | 181 | 29.6 | 0.77 | ||||||||||||||||||||||||||||||||||||||
| DW227 | 1.49 | 4.43 | 0.59 | 2.84 | 0.50 | 1.30 | 0.20 | 1.26 | 0.19 | 4.54 | 0.88 | 15.7 | 13.9 | 2.46 | 15.7 | 13.9 | 2.46 | 227 | 32.0 | 0.84 | ||||||||||||||||||||||||||||||||||||||
| DW228 | 1.30 | 3.89 | 0.51 | 2.47 | 0.44 | 1.17 | 0.18 | 1.20 | 0.17 | 4.54 | 0.88 | 19.7 | 13.6 | 2.46 | 19.7 | 13.6 | 2.46 | 208 | 31.6 | 0.82 | ||||||||||||||||||||||||||||||||||||||
| DW229 | 1.39 | 4.30 | 0.58 | 2.81 | 0.52 | 1.35 | 0.21 | 1.37 | 0.20 | 4.86 | 1.01 | 20.8 | 15.6 | 2.55 | 20.8 | 15.6 | 2.55 | 235 | 31.6 | 0.80 | ||||||||||||||||||||||||||||||||||||||
表3 西大别桥店花岗斑岩全岩主量和微量元素含量分析结果
Table 3 Analytical results of major and trace elemental contents of the Qiaodian granite porphyry from the western Dabie Orogenic Belt
| 样品 | 组分含量/% | Mg# | A/CNK | A/NK | ||||||||||||||||||||||||||||||||||||||||||||||||||||||
|---|---|---|---|---|---|---|---|---|---|---|---|---|---|---|---|---|---|---|---|---|---|---|---|---|---|---|---|---|---|---|---|---|---|---|---|---|---|---|---|---|---|---|---|---|---|---|---|---|---|---|---|---|---|---|---|---|---|---|
| SiO2 | TiO2 | Al2O3 | Fe2O3 | FeO | MnO | MgO | CaO | Na2O | K2O | P2O5 | H2O | CO2 | LOI | Total | ||||||||||||||||||||||||||||||||||||||||||||
| DW113 | 63.73 | 0.51 | 14.19 | 1.29 | 2.02 | 0.05 | 1.75 | 2.90 | 3.16 | 4.58 | 0.32 | 1.11 | 3.8 | 5.30 | 99.39 | 50 | 0.92 | 1.40 | ||||||||||||||||||||||||||||||||||||||||
| DW114 | 63.07 | 0.52 | 13.95 | 1.50 | 1.92 | 0.06 | 1.82 | 3.36 | 3.01 | 4.54 | 0.34 | 1.21 | 4.01 | 5.89 | 99.32 | 50 | 0.87 | 1.41 | ||||||||||||||||||||||||||||||||||||||||
| DW223 | 66.66 | 0.49 | 14.63 | 2.90 | 0.43 | 0.05 | 0.47 | 2.70 | 2.88 | 5.03 | 0.28 | 1.54 | 1.34 | 3.47 | 99.39 | 22 | 0.97 | 1.44 | ||||||||||||||||||||||||||||||||||||||||
| DW224 | 62.32 | 0.53 | 14.13 | 0.68 | 2.77 | 0.06 | 1.84 | 3.32 | 2.58 | 4.69 | 0.32 | 1.54 | 4.83 | 6.10 | 99.60 | 49 | 0.92 | 1.51 | ||||||||||||||||||||||||||||||||||||||||
| DW225 | 69.93 | 0.42 | 14.72 | 2.09 | 0.55 | 0.05 | 0.42 | 0.87 | 3.27 | 5.47 | 0.21 | 1.24 | 0.39 | 1.61 | 99.63 | 24 | 1.14 | 1.30 | ||||||||||||||||||||||||||||||||||||||||
| DW226 | 73.22 | 0.27 | 14.38 | 1.95 | 0.23 | 0.02 | 0.57 | 0.16 | 1.41 | 5.26 | 0.12 | 1.97 | 0.06 | 2.03 | 99.62 | 34 | 1.73 | 1.79 | ||||||||||||||||||||||||||||||||||||||||
| DW227 | 66.55 | 0.51 | 14.42 | 2.18 | 1.03 | 0.05 | 0.87 | 2.49 | 3.25 | 4.51 | 0.25 | 1.52 | 1.75 | 3.64 | 99.38 | 34 | 0.98 | 1.41 | ||||||||||||||||||||||||||||||||||||||||
| DW228 | 66.60 | 0.42 | 14.1 | 1.13 | 1.45 | 0.04 | 1.19 | 2.29 | 3.71 | 4.58 | 0.20 | 0.90 | 2.77 | 4.06 | 99.40 | 46 | 0.92 | 1.27 | ||||||||||||||||||||||||||||||||||||||||
| DW229 | 69.61 | 0.45 | 14.58 | 2.26 | 0.6 | 0.05 | 0.59 | 1.07 | 3.11 | 5.03 | 0.23 | 1.46 | 0.62 | 2.04 | 99.66 | 29 | 1.16 | 1.38 | ||||||||||||||||||||||||||||||||||||||||
| 样品 | 元素含量/10-6 | |||||||||||||||||||||||||||||||||||||||||||||||||||||||||
| Sc | V | Cr | Co | Ni | Cu | Zn | Ga | Rb | Sr | Y | Zr | Nb | Cs | Ba | La | Ce | Pr | Nd | Sm | |||||||||||||||||||||||||||||||||||||||
| DW113 | 7.99 | 60.0 | 57.9 | 9.91 | 35.3 | 18.6 | 61.7 | 19.1 | 65.8 | 724 | 13.1 | 224 | 10.9 | 6.55 | 1578 | 57.4 | 105 | 11.8 | 41.4 | 6.37 | ||||||||||||||||||||||||||||||||||||||
| DW114 | 7.43 | 61.2 | 55.3 | 9.87 | 32.1 | 8.50 | 56.9 | 19.2 | 85.1 | 628 | 12.8 | 229 | 10.6 | 8.34 | 1909 | 55.0 | 101 | 11.3 | 39.8 | 6.15 | ||||||||||||||||||||||||||||||||||||||
| DW223 | 6.51 | 55.6 | 38.6 | 8.91 | 26.1 | 5.60 | 49.6 | 19.4 | 74.0 | 268 | 13.7 | 225 | 12.2 | 7.64 | 1858 | 58.9 | 106 | 11.8 | 41.3 | 6.18 | ||||||||||||||||||||||||||||||||||||||
| DW224 | 7.29 | 58.8 | 51.9 | 9.38 | 32.1 | 5.90 | 54.1 | 18.4 | 83.4 | 454 | 13.4 | 224 | 11.8 | 8.00 | 1508 | 57.6 | 104 | 11.7 | 40.8 | 6.20 | ||||||||||||||||||||||||||||||||||||||
| DW225 | 5.13 | 44.3 | 31.9 | 6.12 | 17.3 | 18.9 | 47.3 | 19.1 | 84.2 | 293 | 13.3 | 205 | 12.6 | 5.31 | 1439 | 55.7 | 100 | 10.7 | 36.4 | 5.51 | ||||||||||||||||||||||||||||||||||||||
| DW226 | 3.88 | 21.7 | 9.60 | 2.55 | 3.2 | 16.2 | 39.7 | 20.1 | 157.9 | 78.5 | 11.8 | 185 | 16.6 | 9.62 | 1917 | 45.0 | 78.3 | 9.71 | 33.1 | 4.66 | ||||||||||||||||||||||||||||||||||||||
| DW227 | 6.47 | 53.0 | 40.1 | 8.74 | 25.3 | 23.5 | 50.3 | 19.6 | 98.5 | 261 | 14.0 | 197 | 11.3 | 4.46 | 1507 | 56.1 | 102 | 11.2 | 38.6 | 6.03 | ||||||||||||||||||||||||||||||||||||||
| DW228 | 5.17 | 42.2 | 24.0 | 6.16 | 16.8 | 11.0 | 39.3 | 17.8 | 82.2 | 421 | 12.6 | 193 | 10.4 | 3.31 | 1605 | 52.8 | 93.7 | 10.2 | 34.7 | 5.40 | ||||||||||||||||||||||||||||||||||||||
| DW229 | 5.34 | 49.7 | 29.4 | 7.26 | 20.0 | 11.4 | 49.8 | 19.6 | 90.4 | 242 | 14.8 | 210 | 11.9 | 4.6 | 1327 | 60.3 | 107 | 11.2 | 38.2 | 5.94 | ||||||||||||||||||||||||||||||||||||||
| 样品 | 元素含量/10-6 | (La/Yb)N | Eu/Eu* | |||||||||||||||||||||||||||||||||||||||||||||||||||||||
| Eu | Gd | Tb | Dy | Ho | Er | Tm | Yb | Lu | Hf | Ta | Pb | Th | U | Pb | Th | U | ΣREE | |||||||||||||||||||||||||||||||||||||||||
| DW113 | 1.67 | 4.46 | 0.57 | 2.71 | 0.49 | 1.29 | 0.19 | 1.24 | 0.18 | 5.10 | 0.79 | 20.0 | 13.0 | 2.41 | 20.0 | 13.0 | 2.41 | 235 | 33.1 | 0.91 | ||||||||||||||||||||||||||||||||||||||
| DW114 | 1.60 | 4.45 | 0.56 | 2.57 | 0.46 | 1.22 | 0.18 | 1.21 | 0.17 | 5.27 | 0.75 | 19.5 | 13.1 | 2.38 | 19.5 | 13.1 | 2.38 | 226 | 32.6 | 0.89 | ||||||||||||||||||||||||||||||||||||||
| DW223 | 1.57 | 4.44 | 0.57 | 2.70 | 0.48 | 1.28 | 0.19 | 1.23 | 0.18 | 5.18 | 0.88 | 15.1 | 13.9 | 2.42 | 15.1 | 13.9 | 2.42 | 237 | 34.2 | 0.87 | ||||||||||||||||||||||||||||||||||||||
| DW224 | 1.65 | 4.38 | 0.58 | 2.64 | 0.48 | 1.28 | 0.19 | 1.22 | 0.18 | 5.10 | 0.83 | 24.5 | 12.9 | 2.25 | 24.5 | 12.9 | 2.25 | 233 | 33.9 | 0.92 | ||||||||||||||||||||||||||||||||||||||
| DW225 | 1.35 | 4.02 | 0.54 | 2.61 | 0.48 | 1.28 | 0.19 | 1.27 | 0.18 | 4.54 | 1.20 | 27.1 | 14.6 | 2.23 | 27.1 | 14.6 | 2.23 | 220 | 31.4 | 0.84 | ||||||||||||||||||||||||||||||||||||||
| DW226 | 1.03 | 3.23 | 0.45 | 2.24 | 0.40 | 1.08 | 0.16 | 1.09 | 0.16 | 3.97 | 1.40 | 28.3 | 15.3 | 3.76 | 28.3 | 15.3 | 3.76 | 181 | 29.6 | 0.77 | ||||||||||||||||||||||||||||||||||||||
| DW227 | 1.49 | 4.43 | 0.59 | 2.84 | 0.50 | 1.30 | 0.20 | 1.26 | 0.19 | 4.54 | 0.88 | 15.7 | 13.9 | 2.46 | 15.7 | 13.9 | 2.46 | 227 | 32.0 | 0.84 | ||||||||||||||||||||||||||||||||||||||
| DW228 | 1.30 | 3.89 | 0.51 | 2.47 | 0.44 | 1.17 | 0.18 | 1.20 | 0.17 | 4.54 | 0.88 | 19.7 | 13.6 | 2.46 | 19.7 | 13.6 | 2.46 | 208 | 31.6 | 0.82 | ||||||||||||||||||||||||||||||||||||||
| DW229 | 1.39 | 4.30 | 0.58 | 2.81 | 0.52 | 1.35 | 0.21 | 1.37 | 0.20 | 4.86 | 1.01 | 20.8 | 15.6 | 2.55 | 20.8 | 15.6 | 2.55 | 235 | 31.6 | 0.80 | ||||||||||||||||||||||||||||||||||||||
图6 桥店花岗斑岩的岩石分类图解(据文献[30-35,40,42-43,57-59]) a—A/NK-A/CNK图解;b—(K2O+Na2O-CaO)-SiO2图解;c—K2O-SiO2图解;d—碱-硅(TAS)图解;e—TFeO/(TFeO+MgO)-SiO2图解。
Fig.6 Rock classification diagrams for the Qiaodian granite porphyry. Adapted from [30-35,40,42-43,57-59].
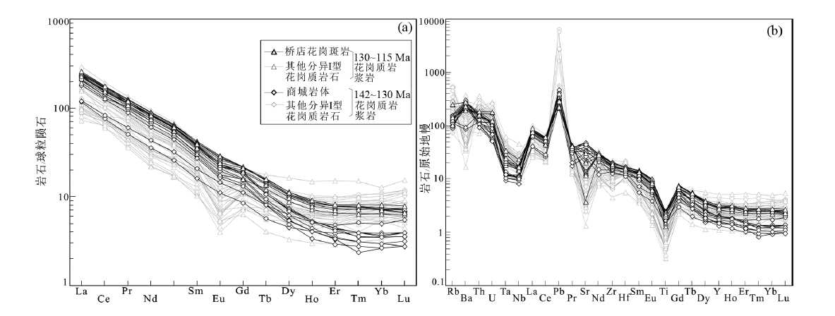
图7 桥店花岗斑岩球粒陨石标准化稀土元素配分模式图和原始地幔标准化微量元素蛛网图(球粒陨石和原始地幔标准化值据文献[60])
Fig.7 Chondrite-normalized REE patterns and primitive mantle-normalized trace element spider diagrams for the Qiaodian granite porphyry (chondrite and primitive mantle normalized values adapted from [60])
![]() |
表4 西大别后碰撞花岗质岩浆岩锆石年龄、Hf-Nd同位素以及元素组成统计表
Table 4 Summarized zircon ages, Hf-Nd isotope and element compositions of the western Dabie post- collisional granitoids
![]() |
图8 西大别碰撞后花岗质岩浆岩锆石U-Pb年龄与锆石εHf(t) (a)、全岩εNd(t) (b)关系图解(球粒陨石和亏损地幔的Hf同位素演化线引自文献[61,62,63])
Fig.8 Plots of zircon U-Pb age vs. εHf(t) (a) and zircon U-Pb age vs. whole-rock εNd(t) (b) for the West Dabie post-collisional granitoids (chondrite and depleted mantle Hf isotopic evolution lines adapted from [61,62,63])
图9 西大别碰撞后花岗质岩浆岩主量、微量元素含量及其比值与SiO2含量相关图解(低镁埃达克质岩和普通花岗岩的演化趋势线引自文献[21])
Fig.9 Harker diagrams illustrating the correlations between the major and trace elemental contents or their ratios and SiO2 content for the West Dabie post-collisional granitoids (evolution trend line of low Mg adakitic rocks and ordinary granites adapted from [21])
图10 Nb/Ta-Zr/Hf变异图(a)、(K2O+Na2O)/CaO-(Zr+Nb+Ce+Y)图解(b)、TFeO/MgO-(Zr+Nb+Ce+Y)图解(c)和Zr-10 000Ga/Al图解(d)(据文献[64,66])
Fig.10 Plots of Nb/Ta vs. Zr/Hf (a), (K2O+Na2O)/CaO vs. (Zr+Nb+Ce+Y) (b),TFeO/MgO vs. (Zr+Nb+Ce+Y) (c), and Zr vs. 10000 Ga/Al (d). Adapted from [64,66].
图11 西大别碰撞后花岗质岩浆岩的(La/Yb)N(a)、Sr/Y(b)、(Dy/Yb)N(c)和Sr/CaO(d)与其形成年龄的演化图(据文献[21]修改)
Fig.11 Variation of (La/Yb)N (a), Sr/Y (b), (Dy/Yb)N (c) and Sr/CaO (d) with formation age of the West Dabie post-collisional granitoids. Modified after [21].
图12 西大别碰撞后花岗质岩浆岩的微量元素判别图(据文献[21,80]修改)
Fig.12 Trace element discrimination diagrams for the West Dabie post-collisional granitoids. Modified after [21, 80].
| [1] |
KAY R W, KAY S M. Delamination and delamination magmatism[J]. Tectonophysics, 1993, 219(1/2/3):177-189.
DOI URL |
| [2] |
LI S G, HE Y S, WANG S J. Process and mechanism of mountain-root removal of the Dabie Orogen: constraints from geochronology and geochemistry of post-collisional igneous rocks[J]. Chinese Science Bulletin, 2013, 58(35):4411-4417.
DOI URL |
| [3] | 张国伟, 张本仁, 袁学诚, 等. 秦岭造山带与大陆动力学[M]. 北京: 科学出版社, 2001: 1-87. |
| [4] |
LI S G, HUANG F, LI H. Post-collisional lithosphere delamination of the Dabie-Sulu orogen[J]. Chinese Science Bulletin, 2002, 47(3):259-263.
DOI URL |
| [5] | 马昌前, 杨坤光, 明厚利, 等. 大别山中生代地壳从挤压转向伸展的时间: 花岗岩的证据[J]. 中国科学: D辑, 2003, 33(9):817-827. |
| [6] |
XU S T, SU W, LIU Y C, et al. Diamond from the Dabie Shan metamorphic rocks and its implication for tectonic setting[J]. Science, 1992, 256(5053):80-82.
DOI URL |
| [7] | 从柏林, 王清晨. 大别山—苏鲁超高压变质带研究的最新进展[J]. 科学通报, 1999, 44(11):1127-1141. |
| [8] | GAO S, ZHANG B R, JIN Z M. Lower crustal delamination in the Qinling-Dabie orogenic belt[J]. Science in China (Series D: Earth Sciences), 1999, 42(4):423-433. |
| [9] |
JAHN B M, WU F Y, LO C H, et al. Crust-mantle interaction induced by deep subduction of the continental crust:geochemical and Sr-Nd isotopic evidence from post-collisional mafic-ultramafic intrusions of the northern Dabie complex, central China[J]. Chemical Geology, 1999, 157(1/2):119-146.
DOI URL |
| [10] |
YUAN X C, KLEMPERER S L, TENG W B, et al. Crustal structure and exhumation of the Dabie Shan ultrahigh-pressure orogen, Eastern China, from seismic reflection profiling[J]. Geology, 2003, 31(5):435.
DOI URL |
| [11] | 何永胜. 大别造山带碰撞后花岗质岩浆作用地球化学: 对去山根过程及山根结构的制约[D]. 合肥: 中国科学技术大学, 2011. |
| [12] | 邓新. 北大别天堂寨花岗岩侵位机制及其动力学过程[D]. 武汉: 中国地质大学(武汉), 2013. |
| [13] |
GUO F, NAKAMURU E, FAN W M, et al. Generation of Palaeocene adakitic andesites by magma mixing: Yanji area, NE China[J]. Journal of Petrology, 2007, 48(4):661-692.
DOI URL |
| [14] |
WANG Q, WYMAN D A, XU J F, et al. Early Cretaceous adakitic granites in the Northern Dabie Complex, central China: implications for partial melting and delamination of thickened lower crust[J]. Geochimica et Cosmochimica Acta, 2007, 71(10):2609-2636.
DOI URL |
| [15] |
XU H J, MA C Q, YE K. Early Cretaceous granitoids and their implications for the collapse of the Dabie orogen, Eastern China: SHRIMP zircon U-Pb dating and geochemistry[J]. Chemical Geology, 2007, 240(3/4):238-259.
DOI URL |
| [16] |
XU H J, MA C Q, SONG Y R, et al. Early Cretaceous intermediate-mafic dykes in the Dabie orogen, Eastern China:petrogenesis and implications for crust-mantle interaction[J]. Lithos, 2012, 154:83-99.
DOI URL |
| [17] |
HUANG F, LI S G, DONG F, et al. High-Mg adakitic rocks in the Dabie orogen, central China:implications for foundering mechanism of lower continental crust[J]. Chemical Geology, 2008, 255(1/2):1-13.
DOI URL |
| [18] |
ZHANG S B, ZHENG Y F, ZHAO Z F, et al. Origin of TTG-like rocks from anatexis of ancient lower crust:geochemical evidence from Neoproterozoic granitoids in South China[J]. Lithos, 2009, 113(3/4):347-368.
DOI URL |
| [19] |
LI J W, ZHAO X F, ZHOU M F, et al. Late Mesozoic magmatism from the Daye region, Eastern China: U-Pb ages, petrogenesis, and geodynamic implications[J]. Contributions to Mineralogy and Petrology, 2009, 157(3):383-409.
DOI URL |
| [20] |
MOYEN J F. High Sr/Y and La/Yb ratios:the meaning of the “adakitic signature”[J]. Lithos, 2009, 112(3/4):556-574.
DOI URL |
| [21] |
HE Y S, LI S G, HOEFS J, et al. Post-collisional granitoids from the Dabie orogen:new evidence for partial melting of a thickened continental crust[J]. Geochimica et Cosmochimica Acta, 2011, 75(13):3815-3838.
DOI URL |
| [22] | HE Y S, LI S G, HOEFS J, et al. Sr-Nd-Pb isotopic compositions of Early Cretaceous granitoids from the Dabie orogen: constraints on the recycled lower continental crust[J]. Lithos, 2013, 156/157/158/159:204-217. |
| [23] |
WU Y B, ZHENG Y F. Tectonic evolution of a composite collision orogen:an overview on the Qinling-Tongbai-Hong’an-Dabie-Sulu orogenic belt in central China[J]. Gondwana Research, 2013, 23(4):1402-1428.
DOI URL |
| [24] |
LIU X C, LI S Z, JAHN B M. Tectonic evolution of the Tongbai-Hong’an orogen in central China:from oceanic subduction/accretion to continent-continent collision[J]. Science China: Earth Sciences, 2015, 58(9):1477-1496.
DOI URL |
| [25] | 陈道公, 汪相, 李彬贤, 等. 北大别辉石岩成因: 锆石微区年龄和化学组成[J]. 科学通报, 2001, 46(7):586-590. |
| [26] | WANG J H, DENG S X. Emplacement age for the mafic-ultramafic plutons in the northern Dabie Mts.(Hubei):zircon U-Pb, Sm-Nd and 40Ar/39Ar dating[J]. Science in China Series D: Earth Sciences, 2002, 45(1):1-12. |
| [27] |
WANG Y J, FAN W M, PENG T P, et al. Nature of the Mesozoic lithospheric mantle and tectonic decoupling beneath the Dabie orogen, central China:evidence from 40Ar/39Ar geochronology, elemental and Sr-Nd-Pb isotopic compositions of Early Cretaceous mafic igneous rocks[J]. Chemical Geology, 2005, 220(3/4):165-189.
DOI URL |
| [28] |
HUANG F, LI S G, DONG F, et al. Recycling of deeply subducted continental crust in the Dabie Mountains, central China[J]. Lithos, 2007, 96(1/2):151-169.
DOI URL |
| [29] |
ZHAO Z F, ZHENG Y F, WEI C S, et al. Zircon U-Pb age, element and C-O isotope geochemistry of post-collisional mafic-ultramafic rocks from the Dabie orogen in east-central China[J]. Lithos, 2005, 83(1/2):1-28.
DOI URL |
| [30] |
GAO Y, MAO J W, YE H S, et al. Geochronology, geochemistry and Sr-Nd-Pb isotopic constraints on the origin of the Qian’echong porphyry Mo deposit, Dabie orogen, East China[J]. Journal of Asian Earth Sciences, 2014, 85:163-177.
DOI URL |
| [31] |
CHEN W, XU Z W, LU X C, et al. Petrogenesis of the Bao’anzhai granite and associated Mo mineralization, western Dabie orogen, east-central China:constraints from zircon U-Pb and molybdenite Re-Os dating, whole-rock geochemistry, and Sr-Nd-Pb-Hf isotopes[J]. International Geology Review, 2013, 55(10):1220-1238.
DOI URL |
| [32] |
CHEN W, XU Z W, QIU W H, et al. Petrogenesis of the Yaochong granite and Mo deposit, Western Dabie orogen, eastern-central China:constraints from zircon U-Pb and molybdenite Re-Os ages, whole-rock geochemistry and Sr-Nd-Pb-Hf isotopes[J]. Journal of Asian Earth Sciences, 2015, 103:198-211.
DOI URL |
| [33] |
CHEN W, XU Z W, CHEN M H, et al. Multiple sources for the origin of the Early Cretaceous Xinxian granitic batholith and its tectonic implications for the western Dabie orogen, Eastern China[J]. Mineralogy and Petrology, 2016, 110(1):29-41.
DOI URL |
| [34] | 高昕宇, 赵太平, 施小斌, 等. 大别山北麓早白垩世商城和达权店岩体的地球化学特征与成因[J]. 地球化学, 2013, 42(4):307-339. |
| [35] | 朱江, 吴昌雄, 彭三国, 等. 西大别山早白垩世谭冲和陈冲花岗岩体U-Pb年龄、地球化学和Sr-Nd-Hf同位素特征: 对岩石成因和下地壳拆沉时限的约束[J]. 地质学报, 2019, 93(7):1671-1686. |
| [36] |
ZHENG Y F. Metamorphic chemical geodynamics in continental subduction zones[J]. Chemical Geology, 2012, 328:5-48.
DOI URL |
| [37] |
ZHANG G W, GUO A L, WANG Y J, et al. Tectonics of South China continent and its implications[J]. Science China: Earth Sciences, 2013, 56(11):1804-1828.
DOI URL |
| [38] | 徐扬. 扬子北缘随应地块及邻区新元古代900780 Ma岩浆事件及其构造意义[D]. 武汉: 中国地质大学(武汉), 2017. |
| [39] | 湖北地质调查院. 中华人民共和国1∶50 000小河镇幅矿产图[CM]. 武汉: 湖北地质调查院, 2018. |
| [40] | 陈伟, 徐兆文, 李红超, 等. 河南新县花岗岩岩基的岩石成因、来源及对西大别构造演化的启示[J]. 地质学报, 2013, 87(10):1510-1524. |
| [41] | 高阳, 叶会寿, 李永峰, 等. 大别山千鹅冲钼矿区花岗岩的SHRIMP锆石U-Pb年龄、Hf同位素组成及微量元素特征[J]. 岩石学报, 2014, 30(1):49-63. |
| [42] | 万俊, 吴波, 郭盼, 等. 西大别造山带夏店岩体锆石U-Pb年代学、地球化学特征及其A型花岗岩的厘定[J]. 岩石矿物学杂志, 2017, 36(5):633-645. |
| [43] | 朱江, 陕亮, 吴越, 等. 大别山北麓白石坡银矿区花岗斑岩锆石U-Pb年龄、地球化学和Sr-Nd-Hf同位素组成及其地质意义[J]. 地学前缘, 2019, 26(5):317-329. |
| [44] |
DAI L Q, ZHAO Z F, ZHENG Y F, et al. Zircon Hf-O isotope evidence for crust-mantle interaction during continental deep subduction[J]. Earth and Planetary Science Letters, 2011, 308(1/2):229-244.
DOI URL |
| [45] | LI X H, LIU Y, LI Q L, et al. Precise determination of Phanerozoic zircon Pb/Pb age by multicollector SIMS without external standardization[J]. Geochemistry, Geophysics, Geosystems, 2009, 10(4):Q04010. |
| [46] |
SLÁMA J, KOŠLER J, CONDON D J, et al. Plešovice zircon: a new natural reference material for U-Pb and Hf isotopic microanalysis[J]. Chemical Geology, 2008, 249(1/2):1-35.
DOI URL |
| [47] | WIEDENBECK M, ALLÉ P, CORFU F, et al. Three natural zircon standards for U-Th-Pb, Lu-Hf, trace element and REE analyses[J]. Geostandards Newsletter, 1995, 19(1):1-23. |
| [48] |
LI Q L, LI X H, LIU Y, et al. Precise U-Pb and Pb-Pb dating of Phanerozoic baddeleyite by SIMS with oxygen flooding technique[J]. Journal of Analytical Atomic Spectrometry, 2010, 25(7):1107.
DOI URL |
| [49] |
STACEY J S, KRAMERS J D. Approximation of terrestrial lead isotope evolution by a two-stage model[J]. Earth and Planetary Science Letters, 1975, 26(2):207-221.
DOI URL |
| [50] |
ZONG K Q, KLEMD R, YUAN Y, et al. The assembly of Rodinia: the correlation of early Neoproterozoic (ca. 900 Ma) high-grade metamorphism and continental arc formation in the southern Beishan Orogen, southern Central Asian Orogenic Belt (CAOB)[J]. Precambrian Research, 2017, 290:32-48.
DOI URL |
| [51] |
HU Z C, ZHANG W, LIU Y S, et al. “Wave” signal-smoothing and mercury-removing device for laser ablation quadrupole and multiple collector ICPMS analysis: application to lead isotope analysis[J]. Analytical Chemistry, 2015, 87(2):1152-1157.
DOI URL |
| [52] |
LIU Y S, GAO S, HU Z C, et al. Continental and oceanic crust recycling-induced melt-peridotite interactions in the trans-North China orogen: U-Pb dating, Hf isotopes and trace elements in zircons from mantle xenoliths[J]. Journal of Petrology, 2010, 51(1/2):537-571.
DOI URL |
| [53] |
LIU Y S, HU Z C, GAO S, et al. In situ analysis of major and trace elements of anhydrous minerals by LA-ICP-MS without applying an internal standard[J]. Chemical Geology, 2008, 257(1/2):34-43.
DOI URL |
| [54] | LUDWIG K R. User’s manual for Isoplot 3.00: a geochronological toolkit for microsoft excel[M]. Berkeley: Berkeley Geochronology Center, 2003: 1-74. |
| [55] |
HU Z C, LIU Y S, GAO S, et al. Improved in situ Hf isotope ratio analysis of zircon using newly designed X skimmer cone and jet sample cone in combination with the addition of nitrogen by laser ablation multiple collector ICP-MS[J]. Journal of Analytical Atomic Spectrometry, 2012, 27(9):1391.
DOI URL |
| [56] |
HU Z C, LIU Y S, GAO S, et al. A “wire” signal smoothing device for laser ablation inductively coupled plasma mass spectrometry analysis[J]. Spectrochimica Acta Part B: Atomic Spectroscopy, 2012, 78:50-57.
DOI URL |
| [57] |
FROST B R, BARNES C G, COLLINS W J, et al. A geochemical classification for granitic rocks[J]. Journal of Petrology, 2001, 42(11):2033-2048.
DOI URL |
| [58] | 朱江, 吴昌雄, 彭三国, 等. 大别山皇城山银矿区及外围陈棚组火山岩U-Pb年代学、地球化学和成矿构造背景[J]. 地球科学, 2018, 43(7):2404-2419. |
| [59] | 杨梅珍, 曾键年, 任爱琴, 等. 大别山北缘西段双桥中生代火山岩地球化学及锆石U-Pb同位素年代学[J]. 岩石矿物学杂志, 2012, 31(2):133-144. |
| [60] |
SUN S S, MCDONOUGH W F. Chemical and isotopic systematics of oceanic basalts: implications for mantle composition and processes[J]. Geological Society Special Publication, 1989, 42(1):313-345.
DOI URL |
| [61] | XU Y, POLAT A, DENG X, et al. The 1.97 Ga dioritic block in the Hong’an Terrane, central China: syn-collisional alkaline magmatism at the northern margin of the Yangtze Block[J]. Precambrian Research, 2020, 342:105713. |
| [62] |
BLICHERT-TOFT J, ALBARÈDE F . The Lu-Hf isotope geochemistry of chondrites and the evolution of the mantle-crust system[J]. Earth and Planetary Science Letters, 1997, 148(1/2):243-258.
DOI URL |
| [63] |
GRIFFIN W L, PEARSON N J, BELOUSOVA E A, et al. Comment: Hf-isotope heterogeneity in zircon 91500[J]. Chemical Geology, 2006, 233(3/4):358-363.
DOI URL |
| [64] |
WU F Y, LIU X C, JI W Q, et al. Highly fractionated granites: recognition and research[J]. Science China: Earth Sciences, 2017, 60(7):1201-1219.
DOI URL |
| [65] |
BALLOUARD C, POUJOL M, BOULVAIS P, et al. Nb-Ta fractionation in peraluminous granites: a marker of the magmatic-hydrothermal transition[J]. Geology, 2016, 44(3):231-234.
DOI URL |
| [66] |
WHALEN J B, CURRIE K L, CHAPPELL B W. A-type granites: geochemical characteristics, discrimination and petrogenesis[J]. Contributions to Mineralogy and Petrology, 1987, 95(4):407-419.
DOI URL |
| [67] | 吴福元, 李献华, 杨进辉, 等. 花岗岩成因研究的若干问题[J]. 岩石学报, 2007, 23(6):1217-1238. |
| [68] |
EBY G N. Chemical subdivision of the A-type granitoids: petrogenetic and tectonic implications[J]. Geology, 1992, 20(7):641.
DOI URL |
| [69] | PÉREZ-SOBA C, VILLASECA C. Petrogenesis of highly fractionated I-type peraluminous granites: La Pedriza pluton (Spanish Central System)[J]. Geologica Acta, 2010, 8(2):131-149. |
| [70] |
BREITER K, GARDENOVÁ N, KANICKY V, et al. Gallium and germanium geochemistry during magmatic fractionation and post-magmatic alteration in different types of granitoids: a case study from the Bohemian Massif (Czech Republic)[J]. Geologica Carpathica, 2013, 64(3):171-180.
DOI URL |
| [71] | 张旗, 潘国强, 李承东, 等. 花岗岩构造环境问题: 关于花岗岩研究的思考之三[J]. 岩石学报, 2007, 23(11):2683-2698. |
| [72] |
GAO P, ZHENG Y F, ZHAO Z F . Distinction between S-type and peraluminous I-type granites: zircon versus whole-rock geochemistry[J]. Lithos, 2016, 258/259:77-91.
DOI URL |
| [73] |
CLEMENS J D, STEVENS G, FARINA F. The enigmatic sources of I-type granites: the peritectic connexion[J]. Lithos, 2011, 126(3/4):174-181.
DOI URL |
| [74] |
GREEN T H, WATSON E B. Crystallization of apatite in natural magmas under high pressure, hydrous conditions, with particular reference to ‘Orogenic’ rock series[J]. Contributions to Mineralogy and Petrology, 1982, 79(1):96-105.
DOI URL |
| [75] |
HARRISON T M, WATSON E B. The behavior of apatite during crustal anatexis: equilibrium and kinetic considerations[J]. Geochimica et Cosmochimica Acta, 1984, 48(7):1467-1477.
DOI URL |
| [76] |
WOLF M B, LONDON D. Apatite dissolution into peraluminous haplogranitic melts: an experimental study of solubilities and mechanisms[J]. Geochimica et Cosmochimica Acta, 1994, 58(19):4127-4145.
DOI URL |
| [77] |
DEFANT M J, DRUMMOND M S. Derivation of some modern arc magmas by melting of young subducted lithosphere[J]. Nature, 1990, 347(6294):662-665.
DOI URL |
| [78] |
GAO S, RUDNICK R L, YUAN H L, et al. Recycling lower continental crust in the North China Craton[J]. Nature, 2004, 432(7019):892-897.
DOI URL |
| [79] |
ZHANG C, MA C Q, HOLTZ F. Origin of high-Mg adakitic magmatic enclaves from the Meichuan pluton, southern Dabie orogen (central China): implications for delamination of the lower continental crust and melt-mantle interaction[J]. Lithos, 2010, 119(3/4):467-484.
DOI URL |
| [80] | RUDNICK R L, GAO S. Composition of the continental crust[M]//Treatise on geochemistry. Amsterdam: Elsevier, 2003: 1-64. |
| [81] | PERTERMANN M, HIRSCHMANN M M, HAMETNER K, et al. Experimental determination of trace element partitioning between garnet and silica-rich liquid during anhydrous partial melting of MORB-like eclogite[J]. Geochemistry, Geophysics, Geosystems, 2004, 5(5): Q05A01. |
| [82] |
XIONG X L, ADAM J, GREEN T H. Rutile stability and rutile/melt HFSE partitioning during partial melting of hydrous basalt: implications for TTG genesis[J]. Chemical Geology, 2005, 218(3/4):339-359.
DOI URL |
| [83] |
ZHAO Z F, ZHENG Y F, WEI C S, et al. Post-collisional granitoids from the Dabie orogen in China: zircon U-Pb age, element and O isotope evidence for recycling of subducted continental crust[J]. Lithos, 2006, 93(3):248-272.
DOI URL |
| [1] | 王璐琳, 刘晓鸿, 张志光. 香港世界地质公园东平洲平洲组新发现火山岩的锆石U-Pb测年、地球化学及地质意义[J]. 地学前缘, 2023, 30(2): 239-258. |
| [2] | 汪筱林, 李阳, 裘锐, 蒋顺兴, 张鑫俊, 陈鹤, 王俊霞, 程心. 中国早白垩世翼龙动物群及其多样性对比[J]. 地学前缘, 2020, 27(6): 347-364. |
| [3] | 姬书安, 张笠夫. 内蒙古鄂尔多斯地区早白垩世新的翼龙类化石[J]. 地学前缘, 2020, 27(6): 365-370. |
| [4] | 陈政宇, 柳永清, 江小均, 孔志岗, 高万里, 钱涛, 旷红伟, 许欢. 柴达木旺尕秀煤矿东南晚侏罗世—早白垩世风成砂古风向及古地理意义[J]. 地学前缘, 2020, 27(4): 82-97. |
| [5] | 蒲万峰,仲新,徐永斌,王舒恒,汪宏涛. 西秦岭甘肃夏河县腾布—日周早白垩世玄武岩年代学、地球化学及构造意义[J]. 地学前缘, 2019, 26(5): 304-316. |
| [6] | 欧波,魏启荣,许欢,王健,张敏,徐长君,金磊. 西藏南木林县格张地区早白垩世火山岩岩石成因[J]. 地学前缘, 2018, 25(6): 165-181. |
| [7] | 邵帅,邓晋福,刘翠,赵院冬,段培新,许逢明,狄永军. 黑龙江黑河地区早白垩世火山岩岩石地球化学特征及其构造环境意义[J]. 地学前缘, 2018, 25(3): 215-229. |
| [8] | 高莲凤,周巍,张盈,冷春鹏,张振国,姚纪明,崔岳,万晓樵. 藏南贡嘎晚侏罗世—早白垩世海相地层地球化学特征与古海洋环境演化[J]. 地学前缘, 2017, 24(1): 195-204. |
| [9] | 丁一, 喻学惠, 莫宣学, 李小伟, 黄雄飞, 韦萍, 和文言. 青藏高原东北缘红墙玄武岩的年代学、地球化学特征及成因初探[J]. 地学前缘, 2013, 20(3): 180-191. |
| [10] | 孔维琼,刘翠,邓晋福,许立权,陶继雄,罗照华,赵国春. 内蒙古二连浩特地区乌花敖包钼矿区火成岩特征和LA-ICP-MS锆石年代学研究[J]. 地学前缘, 2012, 19(5): 125-135. |
| [11] | 戴霜,刘学,赵杰,张明震,刘俊伟,孔立,朱强,黄永波. 陆地沉积物对大洋缺氧事件的响应:六盘山群黑色页岩地球化学特征及其意义[J]. 地学前缘, 2012, 19(4): 255-259. |
| [12] | 汤文豪,张志诚,李建锋,晨辰,李可. 阿尔金断裂东端白垩纪火山岩地球化学特征及其地质意义[J]. 地学前缘, 2012, 19(4): 51-62. |
| [13] | 许欢,柳永清,刘燕学,旷红伟. 阴山—燕山地区晚侏罗世—早白垩世土城子组地层、沉积特征及盆地构造属性分析[J]. 地学前缘, 2011, 18(4): 88-106. |
| [14] | 彭楠,旷红伟,柳永清. 北祁连—酒西地区早白垩世盆地沉积特征与古地理演化[J]. 地学前缘, 2011, 18(4): 77-87. |
| [15] | 钟福平,钟建华,王毅,由伟丰,杨伟利,郑孟林. 银根—额济纳旗盆地苏红图坳陷早白垩世火山岩对阿尔金断裂研究的科学意义[J]. 地学前缘, 2011, 18(3): 233-240. |
| 阅读次数 | ||||||
|
全文 |
|
|||||
|
摘要 |
|
|||||